Neutron capture cross sections, as important parameters for describing the probability of neutron-nucleus reactions, play a key role in multiple scientific fields. In astrophysics, neutron capture cross section data are essential elements for understanding stellar nucleosynthesis processes. In particular, in extreme environments such as supernova explosions and neutron star mergers, accurate neutron capture cross sections can reveal the secrets of heavy element formation. In the field of national security, neutron capture cross sections are crucial for the design of nuclear weapons and the security of nuclear materials. By accurately grasping the neutron capture characteristics of different nuclides, the nuclear reaction process can be optimized to ensure strategic security. In addition, in the simulation of nuclear power generation, neutron capture cross section data are the basis of reactor design and operational analysis. Through in-depth research on and precise measurements of neutron capture cross sections, the safety and efficiency of nuclear reactors can be improved, thus promoting the sustainable development of nuclear energy. At present, there is little research on the neutron capture cross sections of nuclides with half-lives of only a few years or even shorter, mainly due to the complexity of measurement techniques and the instability of the nuclides themselves. The neutron capture cross section data of these nuclides are crucial for reactor design, nuclear medicine applications, and nuclear waste treatment. Further research requires the development of more advanced detection techniques and theoretical models to accurately measure and predict their neutron capture behavior.
The surrogate-reaction method, as an effective measurement means, plays an important role in studying reaction cross sections of short-lived nuclides. Its basic idea is to indirectly obtain the reaction cross section information of short-lived nuclides by measuring the specific particles emitted by stable nuclides. Specifically, when stable nuclides are bombarded by high-energy particles, nuclear reactions will occur and specific particles will be released. By accurately measuring the energies, angles, and numbers of these particles, the cross sections of short-lived nuclides in the corresponding reaction can be inferred. This method can not only overcome the technical difficulties in directly measuring short-lived nuclides, but also improve the accuracy and reliability of the measurement results, which provides important support for nuclear physics research. In addition, the surrogate-reaction method also shows broad application prospects in the fields of nuclear technology application and nuclear data assessment.
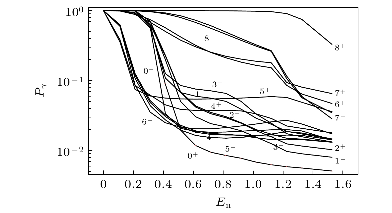
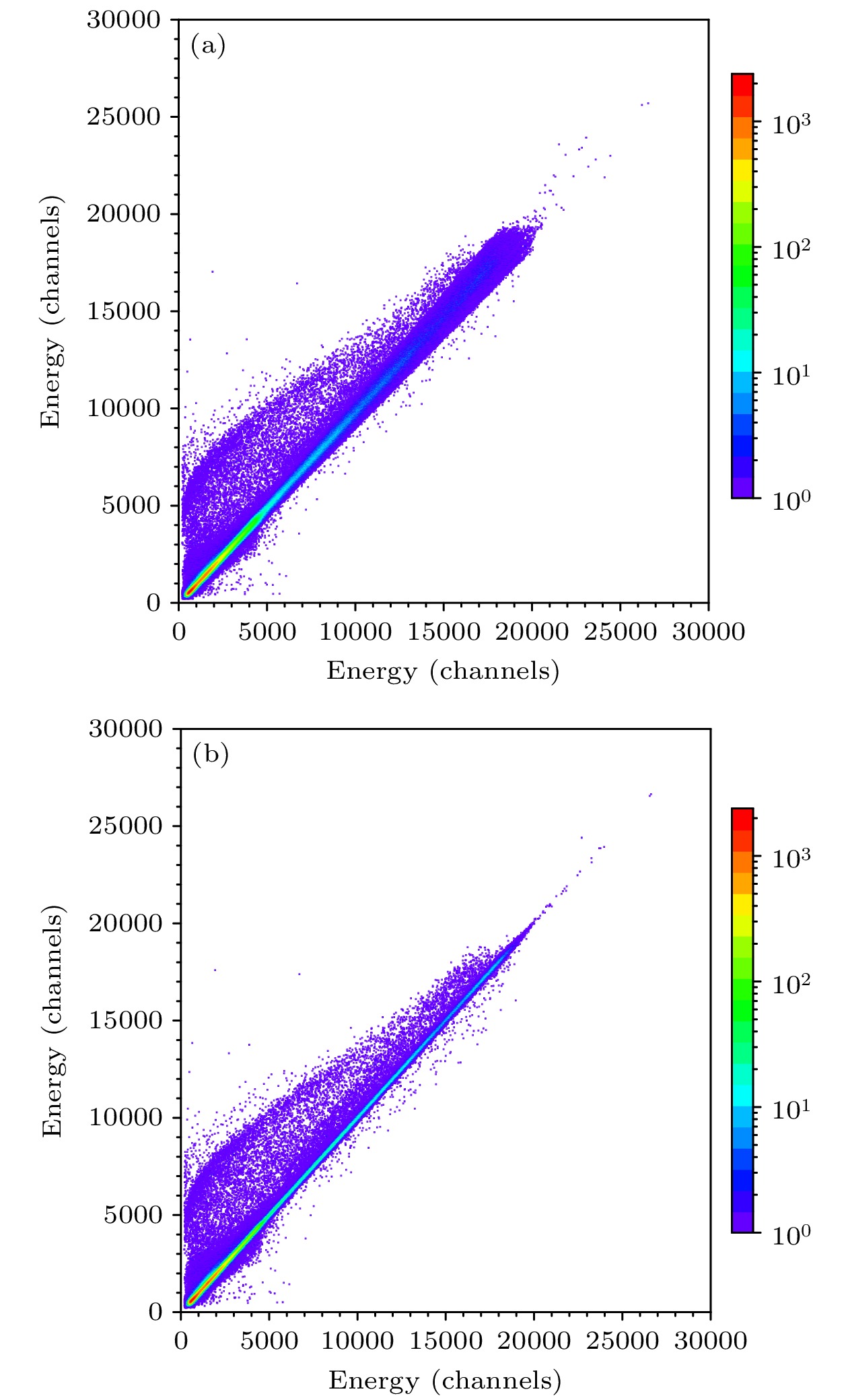
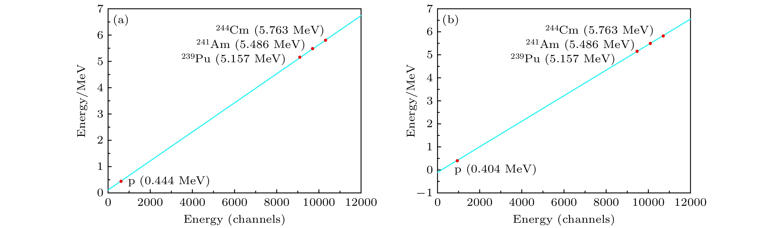
The experiment is carried out on the Beijing HI-13 tandem accelerator at the China Institute of Atomic Energy. 89Y is bombarded with 22 MeV protons, and the 85Sr(n, γ) cross section is measured through the (p, αγ) reaction. The telescope array composed of silicon strip detectors can effectively identify the reaction products. By precisely measuring parameters such as the energies and angles of particles, the array can distinguish different nuclides, thus determining the outgoing particles. Combined with the γ-ray energy spectrum analysis of the HPGe detector, the (n, γ) reaction cross section data of 85Sr under the Weisskopf-Ewing (W-E) approximation are extracted. Due to the mismatch of the Jπ population between the existing alternative reactions and direct reactions, it is necessary to compensate for this mismatch and then correct the results. In order to obtain relatively reliable results, the Jπ population calculated by TALYS is used to revise the experimental data of the (n, γ) cross section.
These results indicate that the cross section of 85Sr(n, γ) varies with neutron energy in a specific energy range, which is consistent with the trend of the existing international evaluation library data. This validates the effectiveness of cross section measurement as an alternative reaction method, thereby providing an important experimental basis for further exploring the nuclear reaction mechanism and nuclear data application. This method has reference significance for the cross section measurement of other nuclides.