搜索

x
中国物理学会期刊

超低频/射频联合驱动容性耦合等离子体中二次电子效应的模拟

CSTR:32037.14.aps.74.20250341

Numerical investigation of the secondary electron effect in capacitively coupled plasmas driven by ultra-low frequency/radio frequency sources

CSTR:32037.14.aps.74.20250341
PDF
HTML
导出引用
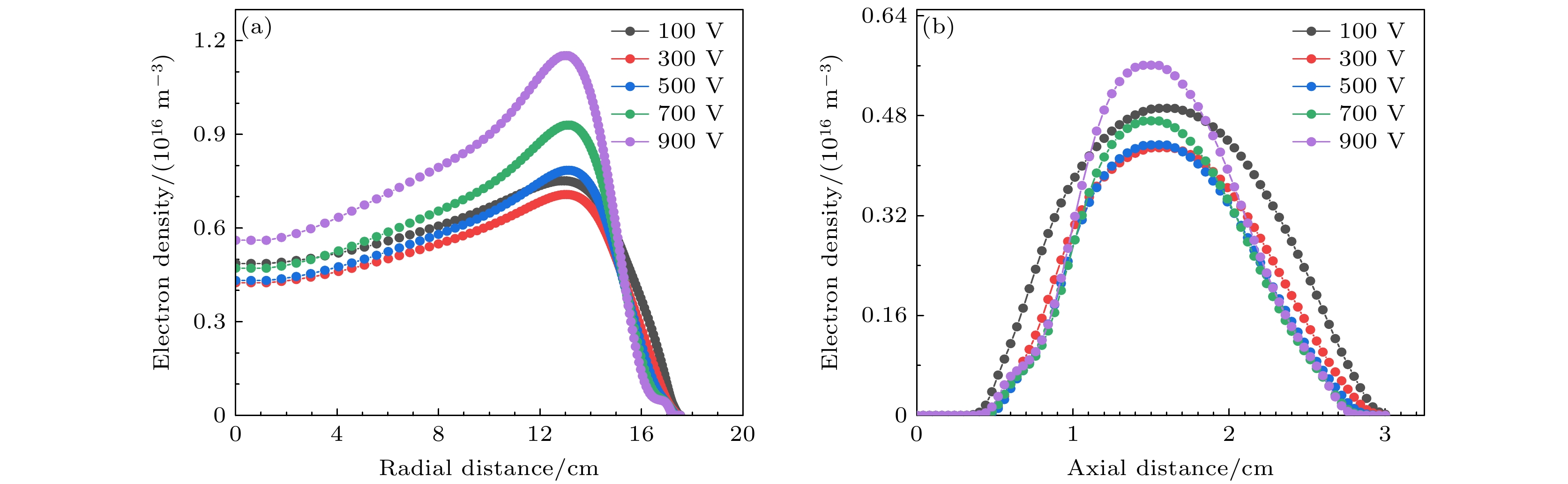
  • 采用二维流体模型, 研究了不同的超低频电压、二次电子发射系数和极板间隙下, 二次电子对双频容性耦合等离子体特性的影响, 其中超低频源频率为400 kHz. 首先, 采用依赖离子能量的二次电子发射系数, 发现电子密度随超低频电压呈现出先降低后增高的趋势. 这是由于一方面, 较高的超低频电压会压缩有效放电体积; 另一方面, 极板发射的二次电子可以获得更多的能量, 进而增强电离过程. 通过与固定的二次电子发射系数的结果相比, 发现在较低的超低频电压下, 采用依赖能量的二次电子发射系数的结果接近于固定值为0.1的情况; 随着超低频电压的增加, 当采用依赖能量的发射系数时, 密度涨幅超过固定值为0.2的结果, 说明超低频电压对二次电子效应的增强效果并不是线性的. 最后, 对比了不同极板间隙下的等离子体特性, 发现随着极板间隙从2 cm增加到4 cm, 电离率的峰值有所下降, 但电子密度显著地增加, 等离子体的径向均匀性有所改善. 此外, 随着超低频电压的升高, 极板间隙对密度的影响越显著. 本文的研究结果有助于深入地理解超低频电源参数对于二次电子效应的影响, 并为等离子体工艺的优化提供一定的指导.

    In recent years, capacitively coupled plasmas driven by ultra-low frequency source have received increasing attention, because they are beneficial to generating ions with high energy and small scattering angle, which aligns well with the current trend in high aspect ratio etching. Since the sheath becomes thicker when an ultra-low frequency source is applied, the secondary electron emission becomes significant. Indeed, these energetic secondary electrons can enhance the ionization process and even affect the discharge mode. In this work, a two-dimensional fluid model is employed to study the influence of secondary electrons on the dual-frequency capacitively coupled plasma under different ultra-low frequency voltages, secondary electron emission coefficients and inter-electrode gaps. The high frequency is fixed at 13.6 MHz, and the ultra-low frequency is fixed at 400 kHz. First, by using the ion energy dependent secondary electron emission coefficient, it is shown that the electron density first decreases and then increases with ultra-low frequency voltage rising. This is because, on the one hand, the higher ultra-low frequency voltage leads to thicker sheath, and therefore, the effective discharge volume is compressed. On the other hand, secondary electrons emitted from electrodes can obtain more energy, thus enhancing the ionization process. By comparing with the results obtained with a fixed secondary electron emission coefficient, it is found that in the low voltage range, the evolution of the electron density is similar to that with a fixed coefficient of 0.1. While, in the high voltage range, the growth of the electron density is even more pronounced than that with a fixed coefficient of 0.2, indicating that the enhancement of the secondary electron effect by ultra-low frequency voltage is non-linear. Finally, the influence of discharge gap on the plasma properties is also discussed. It is shown that with the inter-electrode gap increasing from 2 to 4 cm, the maximum ionization rate becomes lower, but the electron density rises significantly, and the plasma radial uniformity is improved. When inter-electrode gap is large, secondary electrons can completely collide with neutral species, so their influence on the electron density at high ultra-low frequency voltage is more significant. The results obtained in this study contribute to understanding the influence of ultra-low frequency source on the secondary electron effect, and provide some guidance for optimizing plasma processing.

    目录

    返回文章
    返回