-
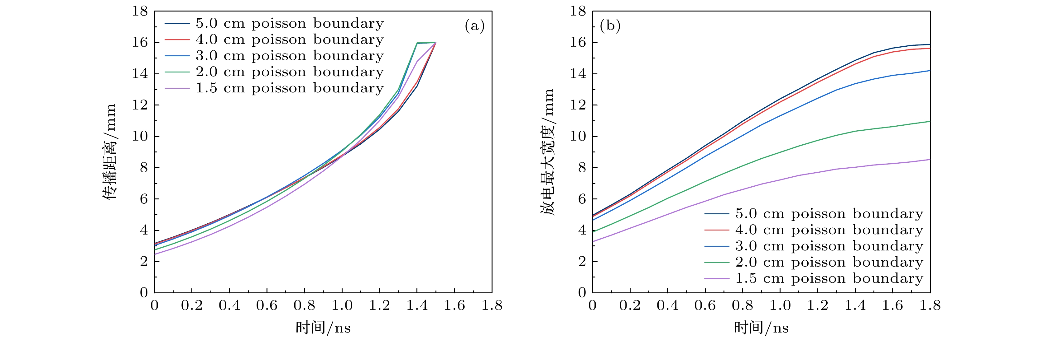
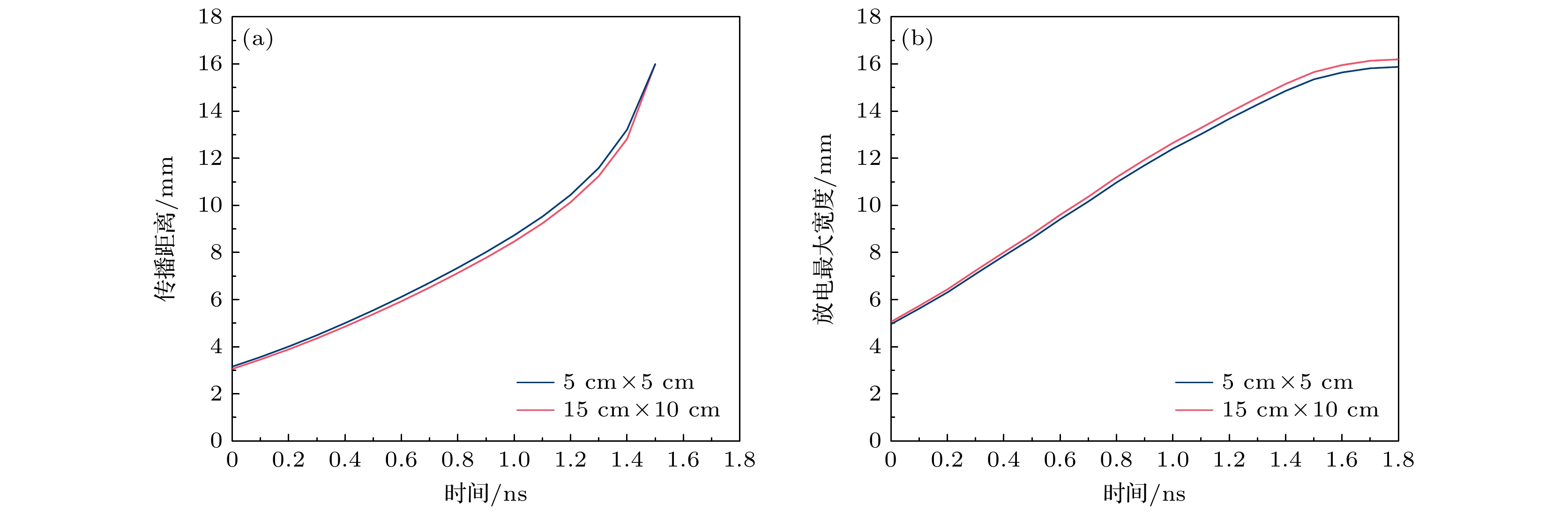
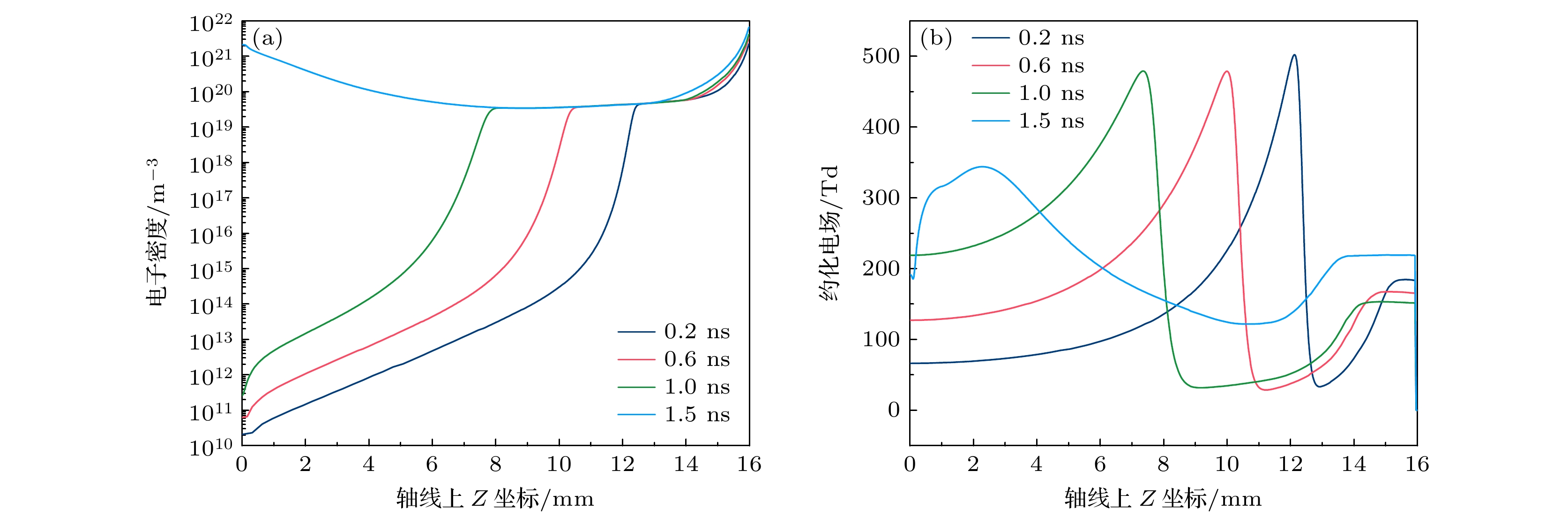
基于流体模型探讨了大气压空气中快纳秒脉冲上升沿引发的弥散放电对等离子体计算域边界与泊松方程计算域边界范围的敏感性和影响机制. 通过对比不同边界范围的仿真结果与实验数据, 尤其是位于整个矩形计算域的最上方边界(上边界)和最右侧边界(右边界): 1)当等离子体边界与泊松方程边界均采用比放电本身半径宽6倍以上的边界范围时, 放电宽度与传播速度与实验吻合度较高, 但放电到达板电极时刻仍存在流体模型所具有的普遍性延迟; 2)等离子体计算域边界的缩减仅使放电头部电场强度与电子密度产生可忽略的微弱波动, 证明其对弥散放电宏观特性影响甚微; 3)泊松方程计算域右边界范围缩减导致放电宽度显著降低, 其放电宽度-计算域比值递增, 且放电在上、下半间隙呈现非对称传播特征, 但适当缩减右边界可改善放电形貌与实验的匹配度; 4)泊松方程计算域上边界缩减会弱化放电头部电场“聚焦效应”, 导致空间电场分布均匀化, 延缓放电加速过程, 使仿真结果偏离实验更显著. 泊松方程边界范围对放电时空演化具有决定性影响, 其中计算域上边界缩减会严重损害仿真精度, 而右边界调整可权衡计算效率与结果可靠性.Diffuse discharges generated by fast rising edge of nanosecond pulses possess a larger discharge radius than classic streamer discharges. However, existing simulation studies often employ boundary ranges similar to those used for simulating streamer discharges, thus neglecting the influence of the boundary range on their characteristics. In this work, the characteristics of diffuse discharges in atmospheric-pressure air are investigated using a fluid model. The research focuses on the influences of plasma and Poisson equation boundary ranges, especially the top and right boundaries of the rectangular computational domain, on discharge evolution. The comparison between numerical simulations and experimental results reveals several key findings: When both plasma and Poisson equation boundaries are set to 5 cm×5 cm (exceeding six times the maximum discharge radius), the simulated discharge width and propagation velocity accord well with experimental measurements. However, consistent delays are observed in simulating the time required to reach the plate electrode, highlighting the inherent limitations of current fluid models in accurately simulating temporal scales. Reducing the plasma boundaries results in negligible fluctuations in electric field strength and electron density at the discharge head, indicating a minimal effect on macroscopic discharge characteristics. Narrowing the Poisson equation’s right boundary significantly reduces the discharge width while simultaneously increasing the discharge width relative to the domain size. Asymmetric propagation patterns occur between the upper and lower halves of the discharge gap. Nevertheless, appropriate reduction of the right boundary improves morphological consistency with experimental observations, thereby suggesting practical optimization strategies. Conversely, reducing the top boundary weakens the electric field “focusing effect” at the discharge head, homogenizes the spatial field distribution, and delays accelerating, thereby exacerbating deviations from experimental data. These results demonstrate that Poisson boundary conditions critically govern spatiotemporal discharge dynamics. Top boundary truncation significantly reduces the simulation accuracy, whereas adjusting the right boundary allows for a balanced optimization between computational efficiency and result reliability. This work provides theoretical guidance for selecting boundary conditions in the numerical modeling of diffuse discharges.
-
Keywords:
- nanosecond pulsed diffuse discharge /
- fluid model /
- streamer discharge /
- boundary conditions
[1] [2] [3] [4] [5] [6] [7] [8] [9] [10] [11] [12] [13] [14] [15] [16] [17] [18] [19] [20] [21] [22] [23] [24] [25] [26] [27] -
通量方向 电子 正离子 负离子 电子能量 阳极向外 0 $ \nabla n = 0 $ 0 0 阳极向内 $ \nabla n = 0 $ 0 $ \nabla n = 0 $ $ \varGamma = {\varGamma _{\text{e}}}{n_{{\varepsilon }}} $ 阴极向外 $ \nabla n = 0 $ 0 $ \nabla n = 0 $ $ \varGamma = {\varGamma _{\text{e}}}{n_{{\varepsilon }}} $ 阴极向内 0 $ \nabla n = 0 $ 0 0 反应 反应速率 文献 R1 e+N2$ \to {\text{N}}_{2}^{+} $+e+e f(σ, ε) [16] R2 e+O2$ \to {\text{O}}_{2}^{+} $+e+e f(σ, ε) [17] R3 e+O2+O2$ \to {\text{O}}_{2}^{-} $+O2 f(ε) [17] R4 e+O2$ \to $O–+O f(ε) [17] R5 $ {\text{O}}_{2}^{-} $+M $ \to $e+O2+M f(ε) [18] R6 O–+ N2$ \to $e+N2O f(ε) [18] R7 O–+ O2$ \to {\text{O}}_{2}^{-} $+O2 f(ε) [18] R8 O–+O2+M $ \to {\text{O}}_{3}^{-} $+M f(ε) [18] R9 $ {\text{N}}_{2}^{+} $+N2+M $ \to {\text{N}}_{4}^{+} $+M $5 \times 10^{-29} \times \Big(\dfrac{300}{T_{\rm gas}}\Big)^2 $ [19] R10 $ {\text{O}}_{2}^{+} $+O2+M $ \to {\text{O}}_{4}^{+} $+M $2.4 \times 10^{-30} \times \Big(\dfrac{300}{T_{\rm gas}}\Big)^3 $ [19] R11 $ {\text{N}}_{4}^{+} + {\mathrm{O}}_2 \to {\text{O}}_{2}^{+} + {\mathrm{N}}_2 + {\mathrm{N}}_2$ 2.5×10–10 [19] R12 e+$ {\text{O}}_{4}^{+}\to $O2+O2 $1.4 \times 10^{-6} \times \Big(\dfrac{300}{T_{\rm gas}}\Big)^{0.5} $ [19] R13 e+$ {\text{N}}_{4}^{+}\to $N2+N2 $2 \times 10^{-6} \times \Big(\dfrac{300}{T_{\rm gas}}\Big)^{0.5} $ [19] R14 e+N2$ \to $e+ N2(C3Πu) f(ε) [16] R15 N2(C3Πu) $ \to $N2+hv 2.38×107 [20] R16 $ {\text{N}}_{2}^{+} $+ O–$ \to $N+N+O 10–7 [19] R17 $ {\text{N}}_{2}^{+} $+$ {\text{O}}_{2}^{-}\to $N+N+O2 10–7 [19] R18 $ {\text{N}}_{2}^{+} $+$ {\text{O}}_{3}^{-}\to $N+N+O3 10–7 [19] R19 $ {\text{O}}_{2}^{+} $+ O–$ \to $O+O+O 10–7 [19] R20 $ {\text{O}}_{2}^{+} $+$ {\text{O}}_{2}^{-}\to $O+O+O2 10–7 [19] R21 $ {\text{O}}_{2}^{+} $+$ {\text{O}}_{3}^{-}\to $O+O+O3 10–7 [19] R22 $ {\text{O}}_{4}^{+} $+ O–$ \to $O2+O2+O 10–7 [19] R23 $ {\text{O}}_{4}^{+} + {\text{O}}_{2}^{-} \to {\mathrm{O}}_2 + {\mathrm{O}}_2 + {\mathrm{O}}_2 $ 10–7 [19] R24 $ {\text{O}}_{4}^{+} + {\text{O}}_{3}^{-} \to {\mathrm{O}}_2 + {\mathrm{O}}_2 + {\mathrm{O}}_3 $ 10–7 [19] R25 $ {\text{N}}_{4}^{+} $+ O–$ \to $N2+N2+O 10–7 [19] R26 $ {\text{N}}_{4}^{+} + {\text{O}}_{2}^{-}\to {\mathrm{N}}_2 + {\mathrm{N}}_2 + {\mathrm{O}}_2 $ 10–7 [19] R27 $ {\text{N}}_{4}^{+} + {\text{O}}_{3}^{-}\to {\mathrm{N}}_2 + {\mathrm{N}}_2 + {\mathrm{O}}_3 $ 10–7 [19] -
[1] [2] [3] [4] [5] [6] [7] [8] [9] [10] [11] [12] [13] [14] [15] [16] [17] [18] [19] [20] [21] [22] [23] [24] [25] [26] [27]
计量
- 文章访问数: 3505
- PDF下载量: 48
- 被引次数: 0








下载: