搜索

x
中国物理学会期刊

基于机器学习的扫频光学相干断层扫描成像畸变校正

CSTR:32037.14.aps.74.20250545

A machine learning approach to correct imaging distortions in swept-source optical coherence tomography

CSTR:32037.14.aps.74.20250545
PDF
HTML
导出引用
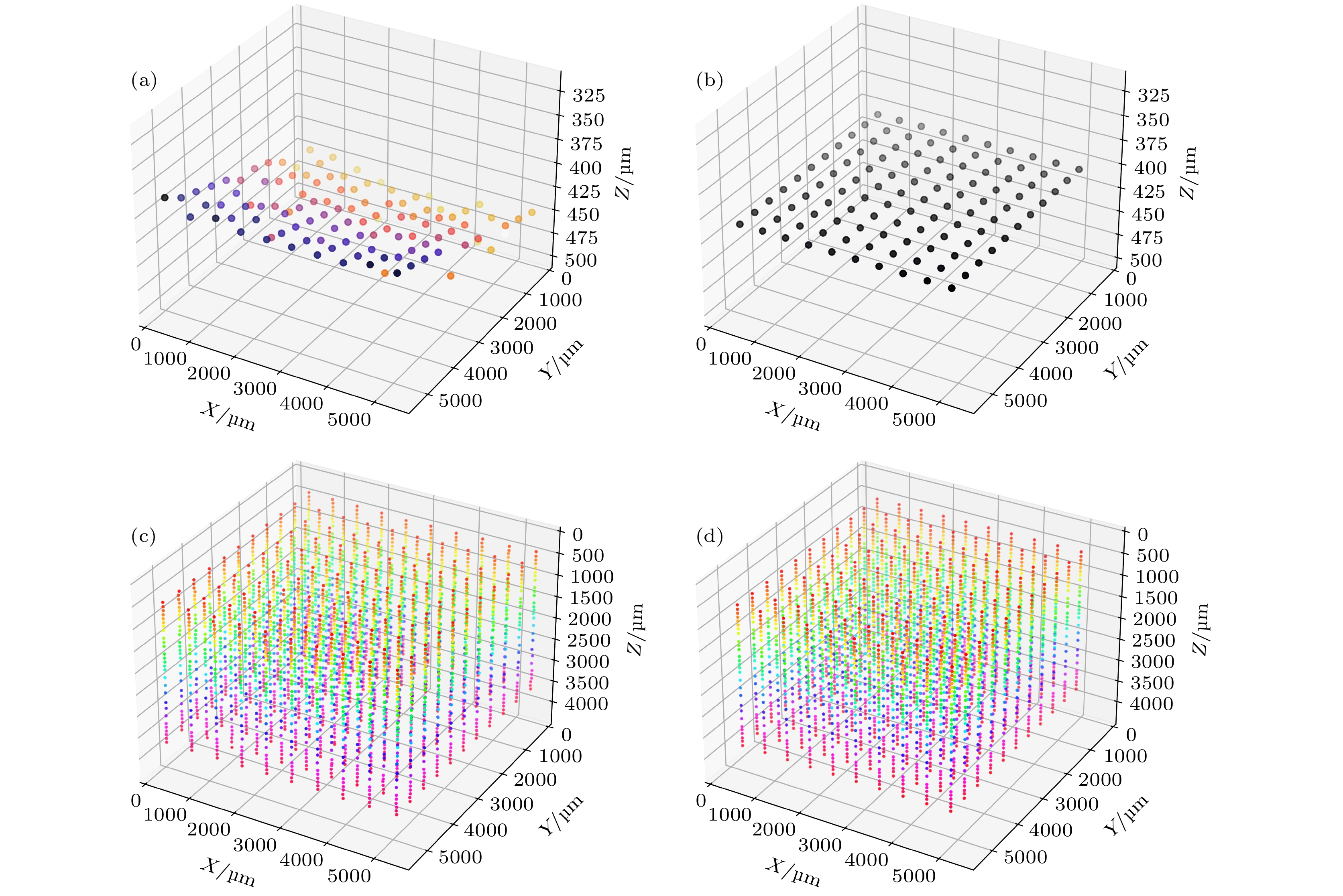
  • 光学相干断层扫描(optical coherence tomography, OCT)成像中不可避免的畸变常常导致成像空间与真实空间之间的不匹配, 影响测量的准确性. 为解决该问题, 本研究提出了一种基于机器学习的OCT图像畸变校正方法. 首先, 将带有均匀分布圆孔阵列的校准板依次在不同标记平面进行成像. 选取坐标与所有成像平面的平均坐标偏差最小的点作为参考标记点. 然后, 利用数学模型重构参考平面上所有标记点的坐标, 从而建立校准板成像空间与真实物理空间之间的映射关系. 采用多层感知机来学习这种映射关系. 利用训练完成的模型推导整个空间点的分布规律, 从而实现透镜OCT图像的畸变校正, 并求出透镜中心厚度与曲率半径. 校正后透镜曲率半径精度达到10 μm, 误差在1%以内. 中心厚度精度可达3 μm, 相对误差为0.3%.

    The inevitable distortions in optical coherence tomography (OCT) imaging often lead to mismatches between the imaging space and the real space, significantly affecting measurement accuracy. To address this issue, this study proposes a machine learning-based OCT image distortion correction method. A calibration plate with uniformly distributed circular hole arrays is sequentially imaged at different marked planes. The point showing minimal deviation between its coordinates and the mean coordinates in all imaging planes is selected as a reference marker. A mathematical model is then used to reconstruct all marker point coordinates in the reference plane, establishing a mapping relationship between the imaging space of calibration plate and the real physical space. A multilayer perceptron (MLP) is employed to learn this mapping relationship. The network architecture consists of multiple fully-connected modules, each with a linear layer and an activation function besides the output layer. The optimal model is selected based on validation set performance, and then used to analyze the spatial distribution of points. Using a swept-source OCT system, lens images are acquired and corrected through the trained model to obtain the anterior surface point cloud. Combined with ray tracing reconstruction of the posterior surface, the lens curvature radius and central thickness are calculated. The experimental results show that after correction, the lens curvature radius is measured with an accuracy of 10 μm (error < 1%), while the central thickness is determined, with an accuracy of 3 μm (relative error: 0.3%). This method shows high accuracy and reliability, providing an effective solution for improving OCT measurement accuracy.

    目录

    返回文章
    返回