-
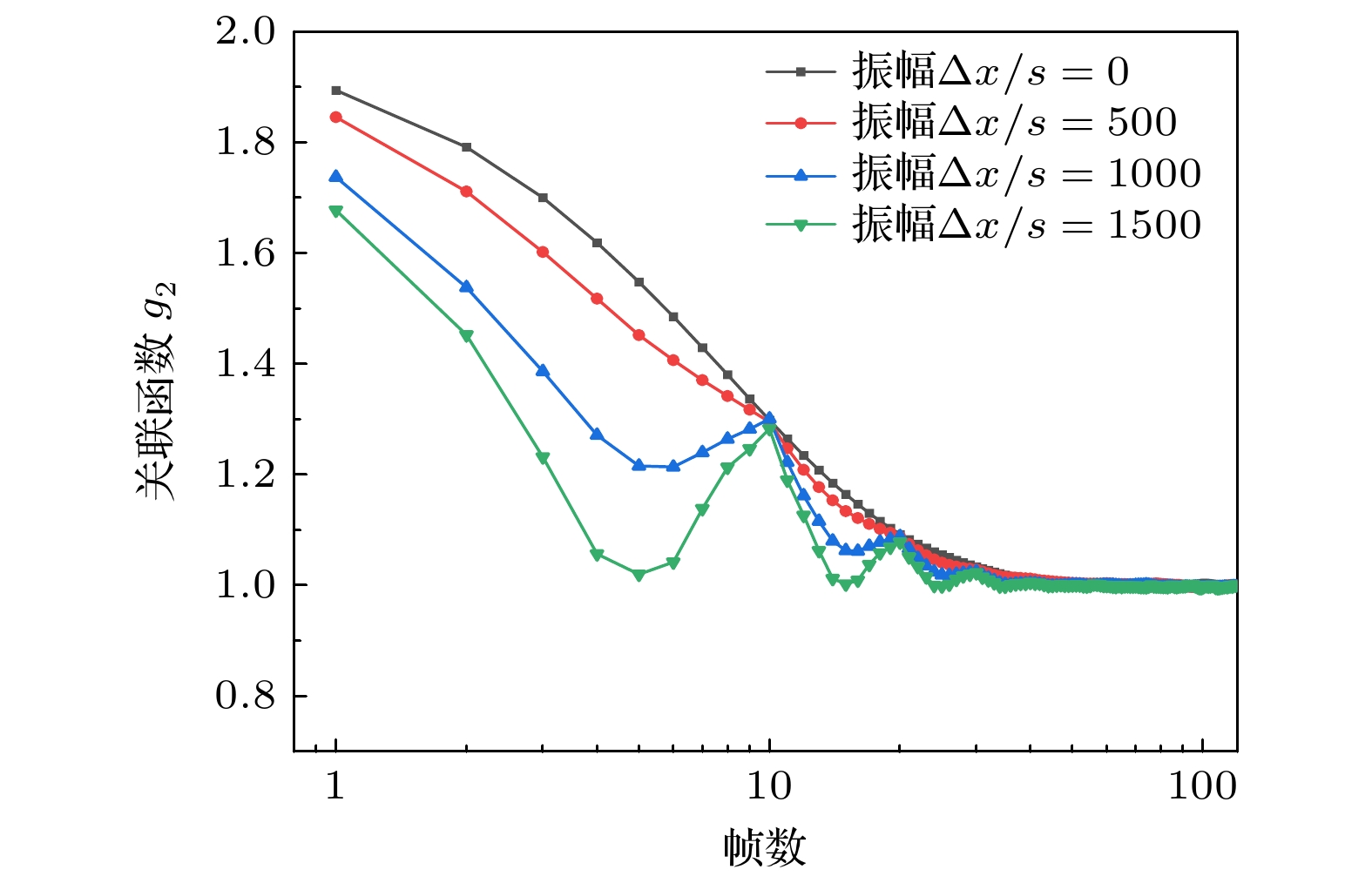
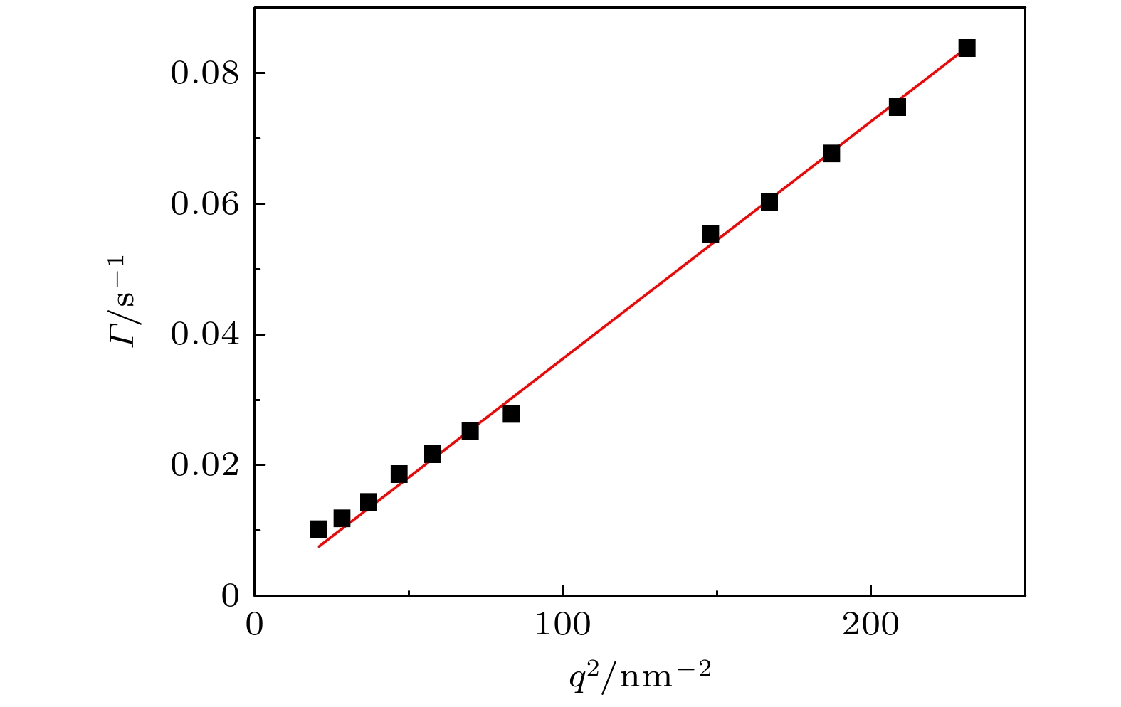
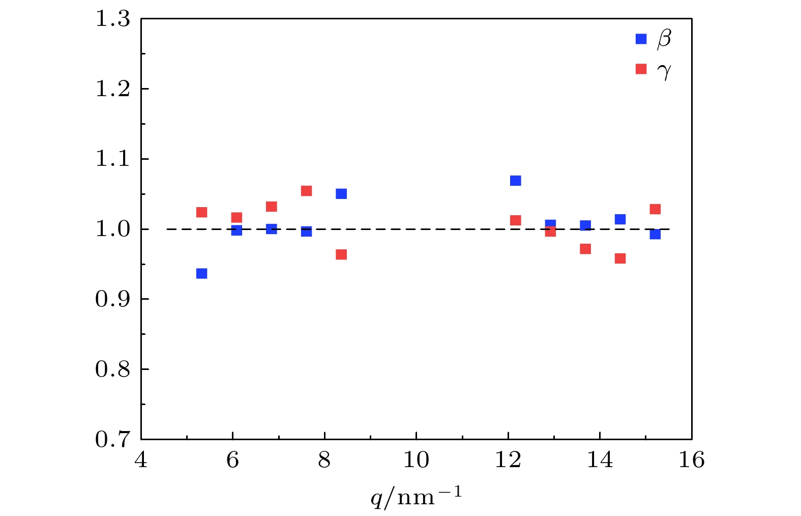
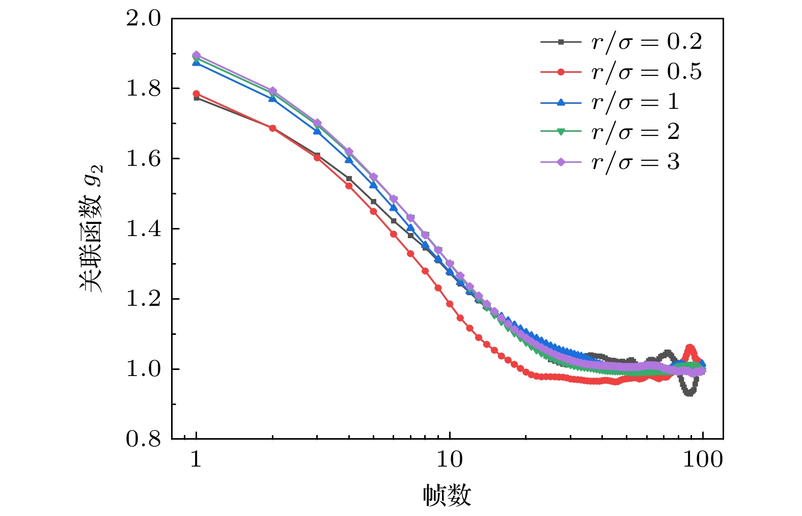
基于散斑技术的同步辐射X射线光子关联谱(XPCS)是研究材料介观尺度动态过程的重要方法, 但实验中的光源特性、光束传输及探测器响应等因素对散斑动力学信号的影响机制复杂, 难以对其中的影响因素进行单独且直接的观测. 为此, 本文旨在通过蒙特卡罗模拟开展全光路数值建模, 系统解析各因素的影响, 为实验设计与优化提供理论支撑. 研究构建了包含布朗粒子动力学、光束相干性及探测器响应的三维仿真框架, 模拟从光子发射到信号采集的全流程. 基于夫琅禾费衍射理论, 开发散斑光场生成算法, 通过原子位置动态演化与相位调制, 复现实验散斑涨落特性, 并通过Siegert关系拟合、散射矢量区域选择及粒子运动步长与温度关系验证了模拟程序的可行性. 关键参数灵敏度分析表明: 光阑孔径与光束束腰存在最优匹配条件$r/\sigma=1$, 此时相干性与光子通量达到平衡; 机械振动振幅达到运动步长1500倍时, 关联函数出现周期性振荡, 导致动力学参数提取失真; 低光强条件下泊松噪声与光强波动显著降低信噪比. 研究建立的全光路模拟框架, 揭示了光源特性、光学元件参数及噪声因素对实验结果的影响机制, 为XPCS实验参数优化提供了理论依据, 明确了噪声抑制与动力学解析的协同机制, 为该技术在更多实验场景的应用奠定了模拟基础.
X-ray photon correlation spectroscopy (XPCS) is important for probing mesoscale material dynamics by using synchrotron radiation. However, the complex influences of parameters such as light source properties, beam propagation, and detector response on speckle dynamics are hard to directly observe. In this study, a Monte Carlo-based full optical path numerical model is developed to systematically analyze these effects, thereby aiding experimental optimization. A simulation framework integrating Brownian dynamics, beam coherence, and detector response is constructed to replicate the entire photon emission-to-detection process. A Fraunhofer diffraction-based speckle generation algorithm reproduces speckle fluctuations via atomic position evolution and phase modulation. Feasibility is validated via Siegert relation fitting ($\beta, \gamma$), $\varGamma{\text{-}}q^2$ linearity ($R^2=0.99904$), and consistency with the Einstein-Stokes law. Key parameter sensitivity analysis reveals some points below. 1) Optimal aperture matching ($r/\sigma=1$) balances coherence and photon flux; 2) Mechanical vibrations with $\Delta x/s=1500$ induce periodic oscillations in $g_2(q,\tau)$, masking intrinsic relaxation, which is validated by a 24.658-Hz pump experiment; 3) Poisson noise and intensity fluctuations degrade low-light signal-to-noise ratio, with Poisson noise causing discrete errors and classical noise inducing baseline shifts. This framework clarifies how source properties, optical parameters, and noise affect experimental results, providing guidance for XPCS optimization and a foundation for extending its applications to high-precision coherent scattering scenarios. -
Keywords:
- X-ray photon correlation spectroscopy /
- Monte Carlo simulation /
- speckle dynamics /
- full optical path simulation
[1] [2] [3] [4] [5] [6] [7] [8] [9] [10] [11] [12] [13] [14] [15] [16] [17] [18] [19] [20] [21] [22] [23] [24] [25] [26] [27] -
Distance/m Horizontal amplitude/nm Frequency/Hz Steady 723 24.378 2 1538 24.326 1 2129 24.240 0.5 2785 24.220 Steady 755 24.166 -
[1] [2] [3] [4] [5] [6] [7] [8] [9] [10] [11] [12] [13] [14] [15] [16] [17] [18] [19] [20] [21] [22] [23] [24] [25] [26] [27]
计量
- 文章访问数: 2344
- PDF下载量: 35
- 被引次数: 0








下载: