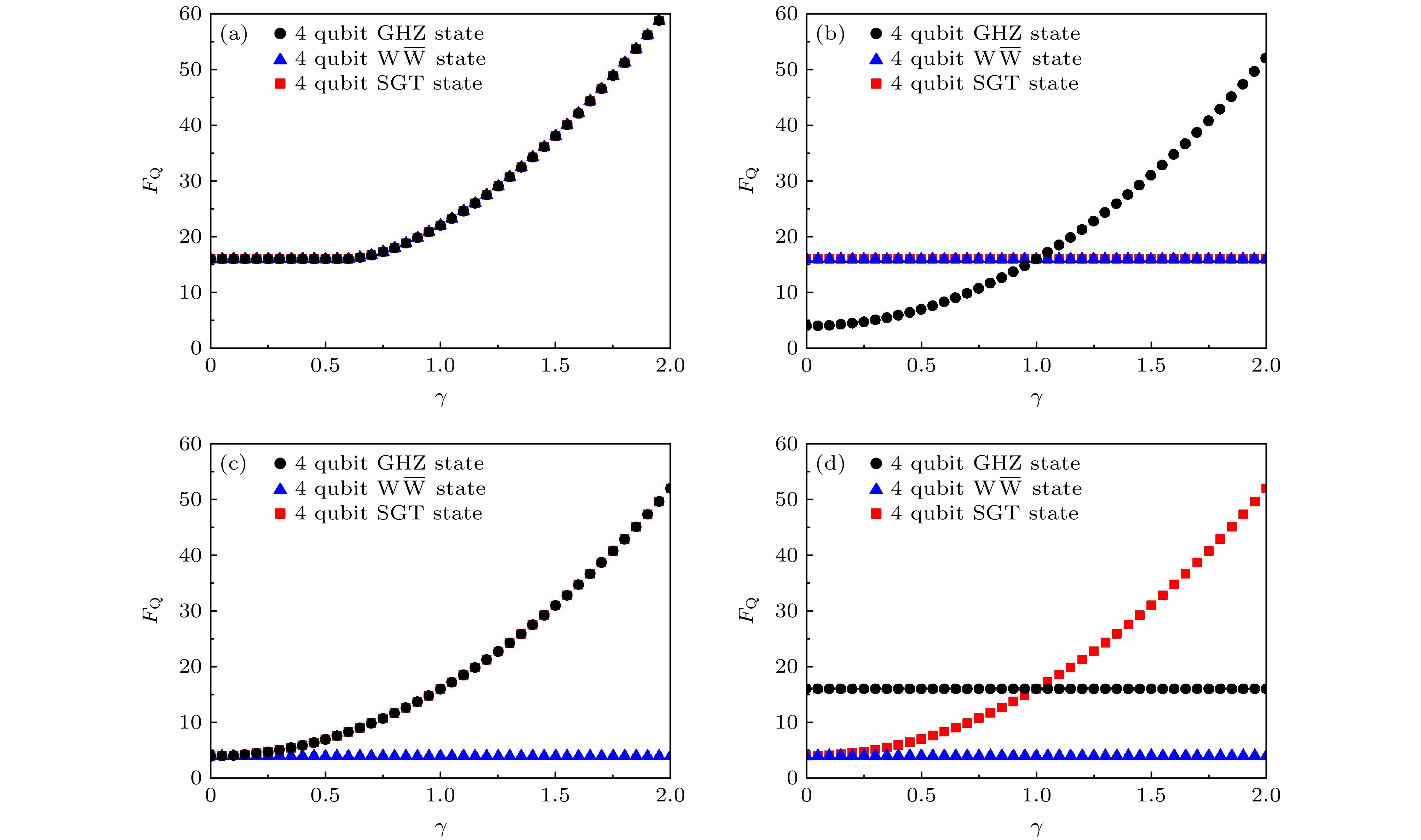
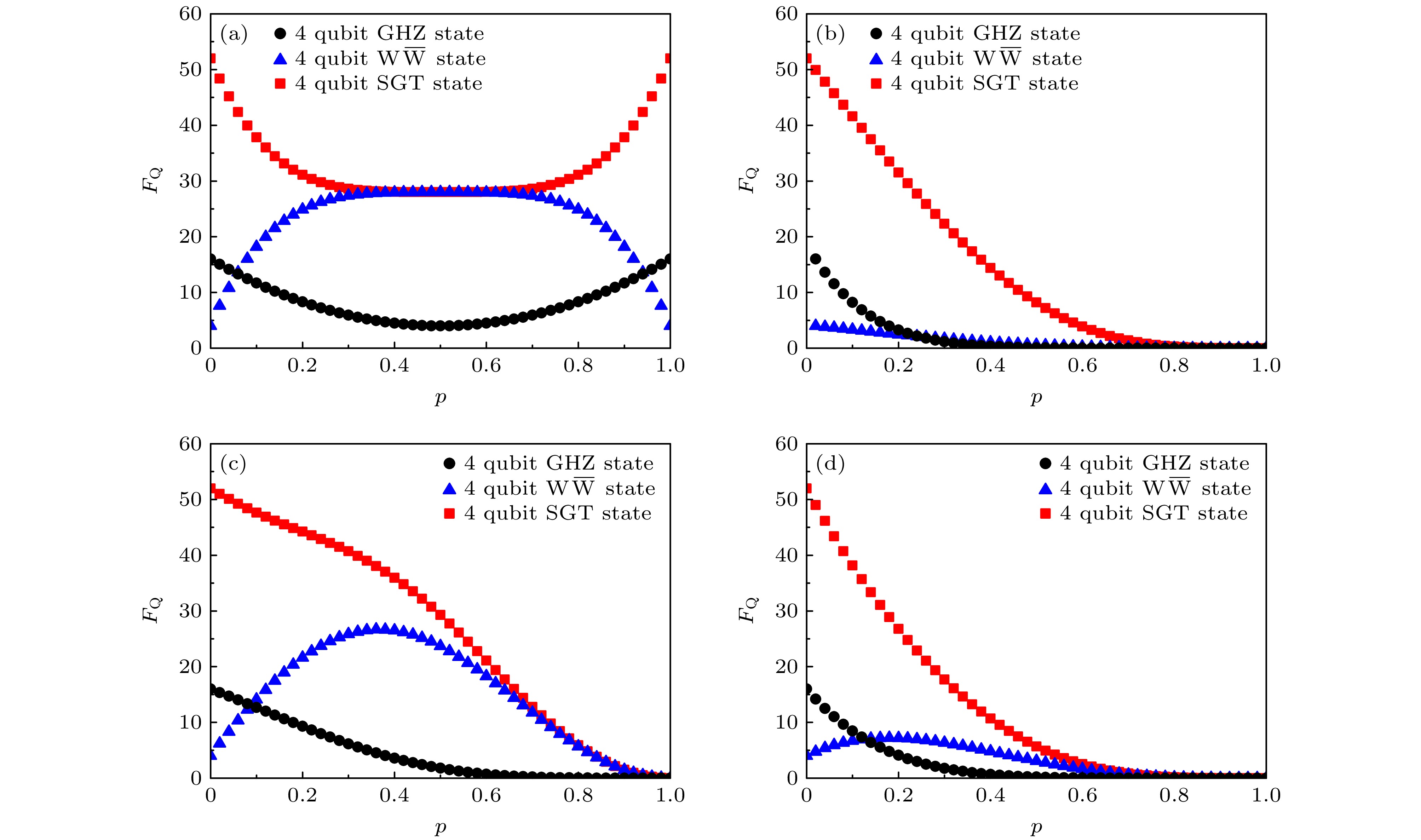
Entanglement detection and classification of different kinds of entangled states in quantum many-body systems have always been a key topic in quantum information and quantum computation. In this work, we investigate the entanglement detection and classification of three special entangled states: 4-qubit GHZ state, 4-qubit \mathrmW\overline\mathrmW state, and 4-qubit SGT state, which cannot be distinguished by the general quantum Fisher information (QFI) under the usual local operations. By utilizing the experimentally mature and controllable one-axis twisting model, along with optimized rotations and adjustable interaction strength, we successfully classify the three states by QFI. Additionally, we also study the effects of four types of environmental noise on entanglement detection, namely, bit-flip channel, amplitude-damping channel, phase-damping channel, and depolarizing channel. The results show that under local operations, the changes of the QFI from the 4-qubit GHZ state with decoherence parameter
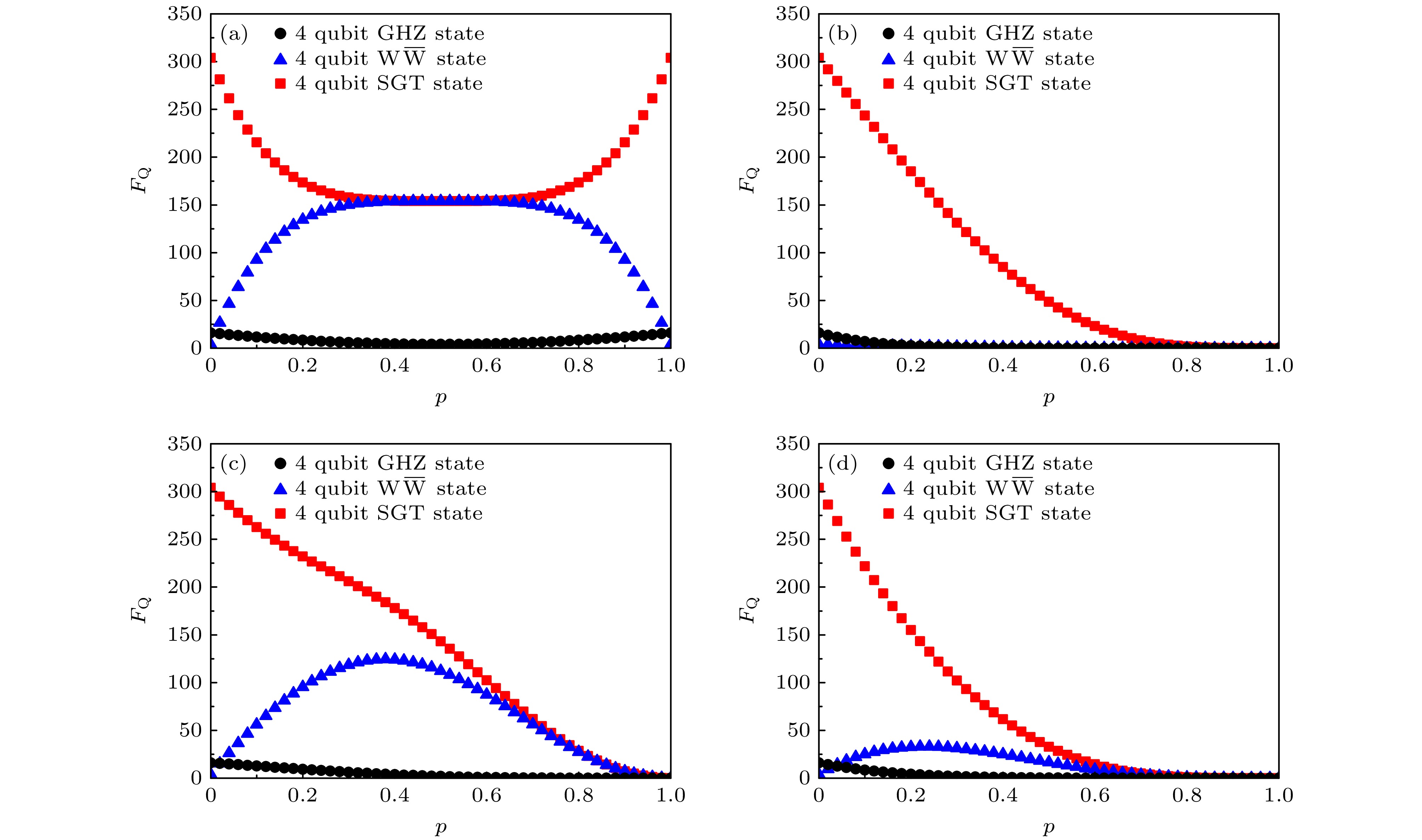
p in four noise channels are significantly different from those of the \mathrmW\overline\mathrmW state and SGT state, and thus making them distinguished. However, the QFI about the \mathrmW\overline\mathrmW state and the QFI about the SGT state exhibit the same variations and cannot be classified. In the one-axis twisting model, the variation curves of the QFI of the three states under the four noise channels are different from each other, which can be clearly observed. It should be noted that in the bit-flip channel, the QFI curves of the \mathrmW\overline\mathrmW state and the SGT state overlaps in the middle region ( p\approx0.5 ), which prevents their classification. Our work provides a new method for entanglement detection and classification in quantum many-body systems, which will contribute to future research in quantum science and technology.