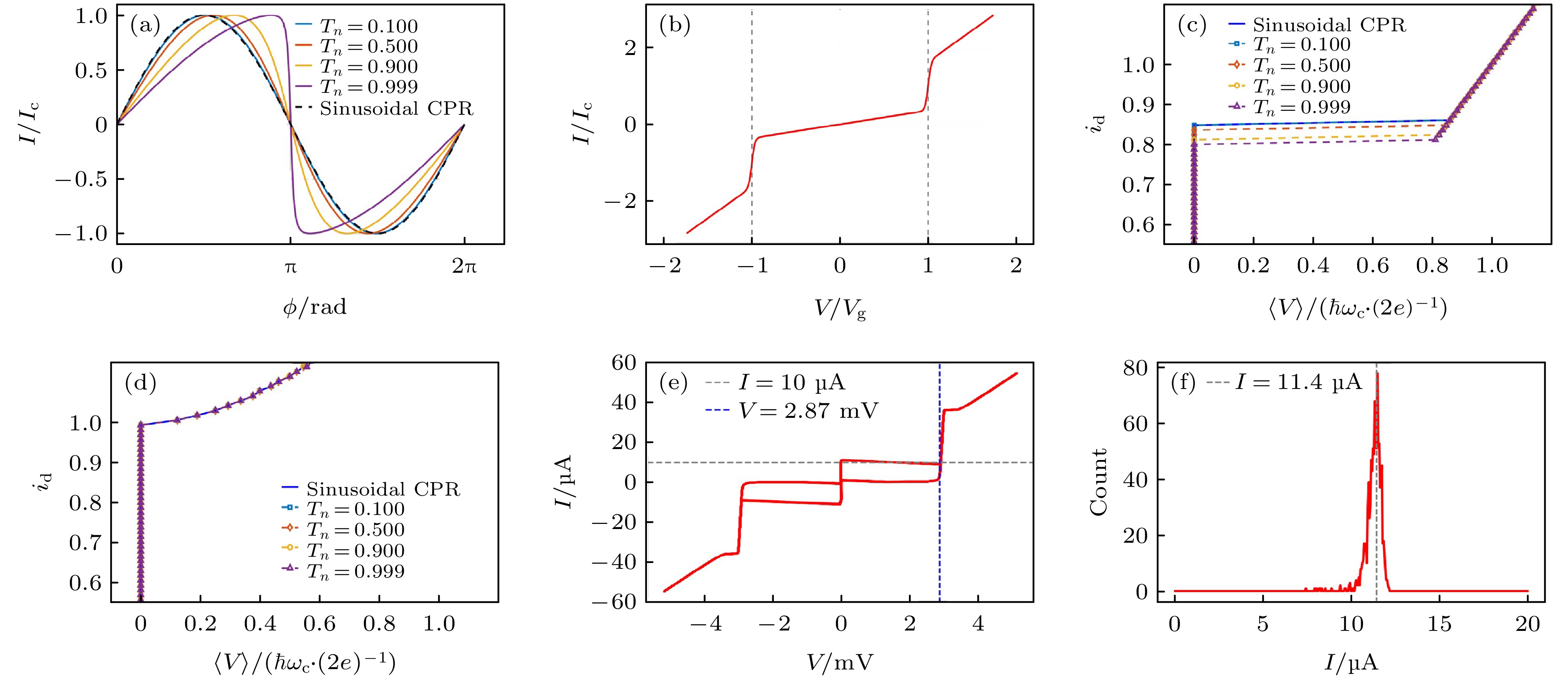
Josephson junction, as the core nonlinear element underpinning superconducting electronics, is characterized by its current-phase relation (CPR), which fundamentally determines the dynamical properties and functional capabilities of superconducting quantum devices. Traditional Josephson junctions typically exhibit a traditional sinusoidal CPR; however, the junctions characterized by non-sinusoidal CPR have recently attracted considerable attention due to their distinctive physical properties and promising quantum device applications. In this work, a numerical model tailored specifically for junctions exhibiting non-sinusoidal CPR is developed by integrating experimentally measured current-voltage (
I-
V ) characteristics from Nb/Al-AlO
x/Nb junctions into a resistively and capacitively shunted junction (RCSJ) framework. By leveraging this refined model, the influence of CPR skewness on Josephson junction dynamics is systematically investigated. Our results indicate that in underdamped junctions, the critical current significantly diminishes with the increase of CPR skewness, a behavior reminiscent of the adjustable critical currents typically observed in DC superconducting quantum interference devices (SQUIDs). Conversely, in overdamped junctions, the influence of CPR skewness on the
I-
V characteristics is found to be negligible. However, our numerical simulations under microwave irradiation indicate that nonsinusoidal CPRs readily promote the emergence of half-integer Shapiro steps in overdamped junctions, thereby establishing CPR skewness as a plausible microscopic origin for this phenomenon. In addition, the advanced design system (ADS) simulations is employed to model nonlinear resonators and DC SQUID circuits, offering a detailed investigation into how nonsinusoidal CPRs modulate the Josephson inductance and magnetic flux response. Our findings reveal that engineering the CPR of Josephson junctions provides substantial flexibility in the design of superconducting qubits, parametric amplifiers, and non-magnetic nonreciprocal devices. This tunability underscores significant opportunities for developing next-generation superconducting electronic components. The Josephson junctions with engineered CPR offer expanded functionality for superconducting quantum technologies. This study suggests that customized CPR can enhance control over the dynamical behavior of junctions, and promote the optimized designs of superconducting qubits, parametric amplifiers, and nonmagnetic nonreciprocal devices.