搜索

x
中国物理学会期刊

基于滑移铁电VTe2多铁隧道结的输运性质

CSTR:32037.14.aps.74.20250734

Transport properties of multiferroic tunnel junctions based on sliding ferroelectric VTe2

CSTR:32037.14.aps.74.20250734
PDF
HTML
导出引用
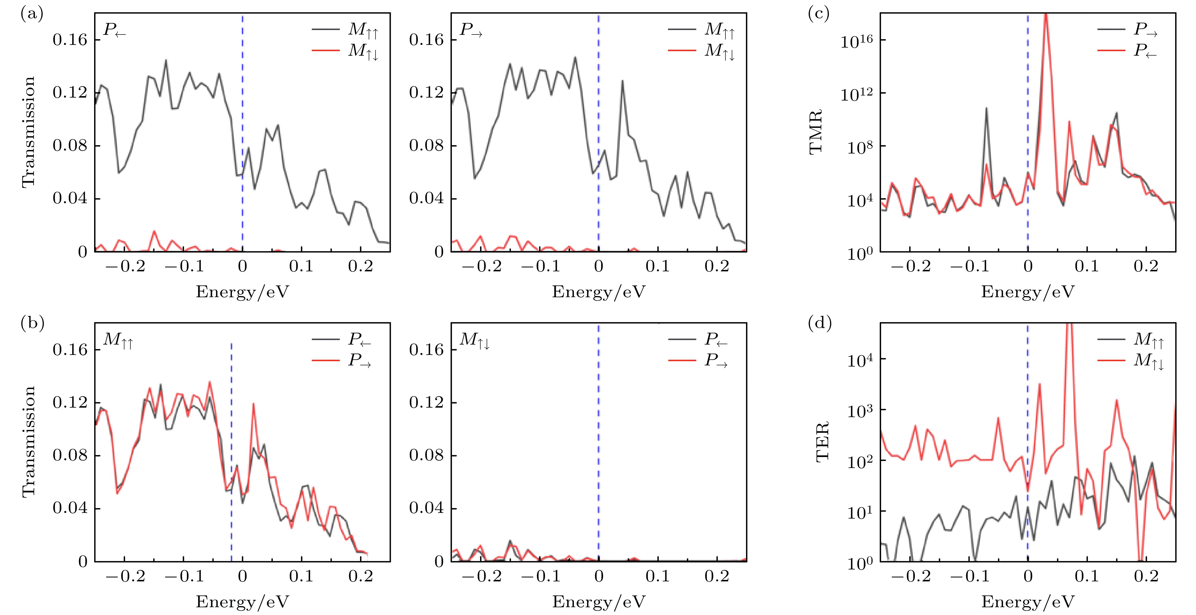
  • 利用基于密度泛函理论的第一性原理计算方法, 研究了以双层VTe2为滑移铁电势垒层, Fe3GaTe2/Fe3GeTe2为左右磁性电极的范德瓦耳斯多铁隧道结的自旋相关输运特性. 研究发现, 通过控制Fe3GaTe2/双层VTe2/Fe3GeTe2范德瓦耳斯型多铁隧道结中铁电势垒的极化方向和铁磁电极的磁化方向, 可以实现多个非易失性电阻态. 具体而言, 当双层铁电材料VTe2发生相对滑移时, 铁电势垒的极化从左取向(P)转变为右取向(P), 费米能级处的隧穿磁电阻(TMR)比从727000%增加到1010000%. 当铁磁电极的磁化方向从平行排列M_\uparrow\uparrow)变为反平行排列(M_\uparrow\downarrow)时, 隧穿电阻比几乎成倍增加. 此外, 在构建的四种多铁隧道结非易失性电阻态下都观察到了接近100%的自旋过滤效率. 本文研究结果表明, 构建的Fe3GaTe2/双层VTe2/Fe3GeTe2多铁隧道结在多状态非易失性存储器和自旋过滤器方面具有潜在的应用前景, 为多功能电子器件的开发提供了一个有前景的平台.

    Multiferroic tunnel junctions (MFTJs), characterized by a ferroelectric barrier encapsulated between two ferromagnetic electrodes, represent a highly promising platform for next-generation nonvolatile memory applications. The recent discovery of intrinsic ferromagnetism and ferroelectricity in van der Waals (vdW) materials further provides a compelling material foundation for constructing multifunctional MFTJs based on vdW heterostructures. In this paper, aiming at high-performance and multifunctional van der Waals multiferroic tunnel junctions (vdW-MFTJs) devices, we investigate the spin-dependent transport properties of vdW-MFTJs with a bilayer VTe2 sliding ferroelectric barrier and Fe3GaTe2/Fe3GeTe2 magnetic electrodes by using first-principles calculations based on density functional theory (DFT). Our results reveal that multiple non-volatile resistance states can be achieved by controlling the polarization direction of the ferroelectric barrier and the magnetization configuration of the ferromagnetic electrodes in the Fe3GaTe2/bilayer VTe2/Fe3GeTe2 MFTJs. Specifically, when the double-layer ferroelectric material VTe2 undergoes relative interlayer slippage, the polarization of the ferroelectric barrier switches from a left-oriented state (P) to a right-oriented state (P). Consequently, the tunneling magnetoresistance (TMR) ratio at the Fermi level increases from 7.27×105% to 1.01×106%. Moreover, switching the magnetization configuration of the ferromagnetic electrodes from parallel alignment (M↑↑) to antiparallel alignment (M↑↓) leads to an almost twofold increase in the tunneling electroresistance (TER) ratio. Furthermore, nearly 100% spin filtering efficiency is observed in all four non-volatile resistance states of the MFTJs. These findings demonstrate that the engineered Fe3GaTe2/bilayer VTe2/Fe3GeTe2 MFTJs hold promising potential applications in multi-state non-volatile memory and spin filters, providing a versatile platform for developing multifunctional electronic devices.

    目录

    返回文章
    返回