搜索

x

留言板

姓名
邮箱
手机号码
标题
留言内容
验证码

引用本文:
Citation:

蔡加禾, 戴栋, 潘泳全
cstr: 32037.14.aps.74.20250827

Influence of surface-adhered water droplets on discharge characteristics and chemical species distribution in atmospheric-pressure helium dielectric barrier discharge system

CAI Jiahe, DAI Dong, PAN Yongquan
cstr: 32037.14.aps.74.20250827
Article Text (iFLYTEK Translation)
PDF
HTML
导出引用
在线预览
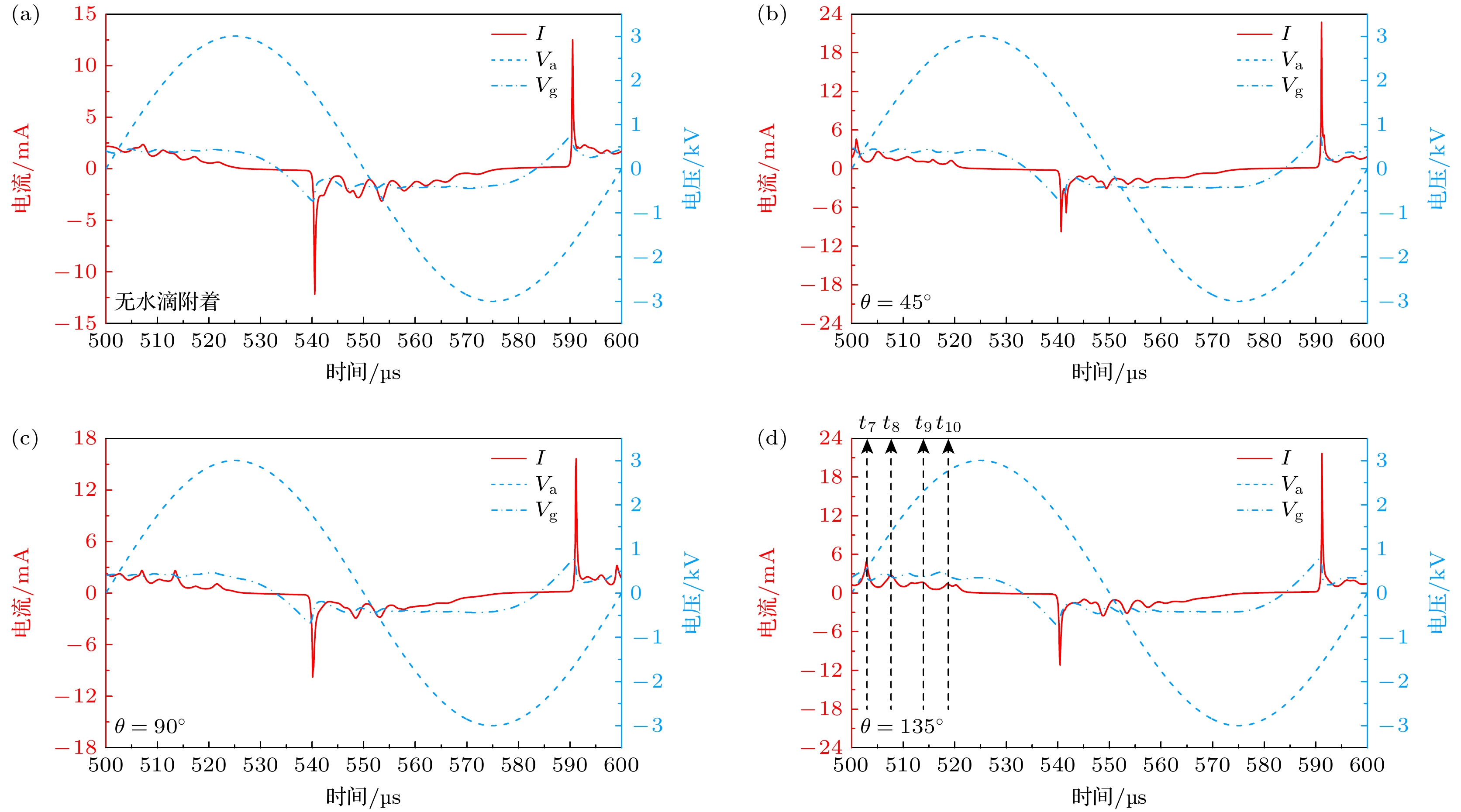
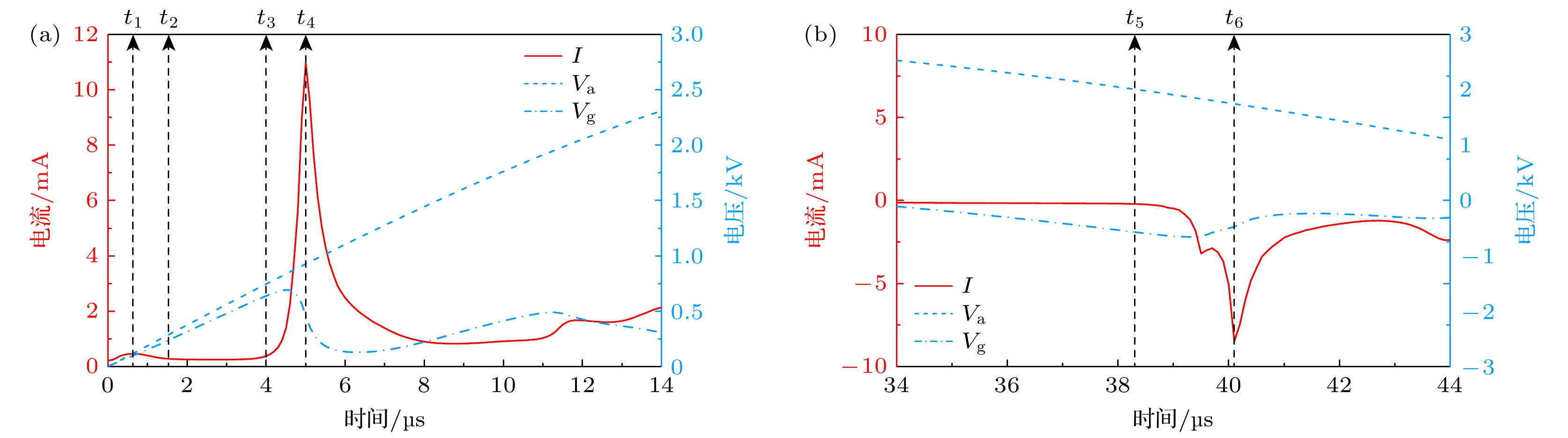
  • 在大气压介质阻挡放电的某些应用场景中, 待处理物表面附着的水滴会改变气隙宽度、介电分布、气相成分等条件, 进而影响低温等离子体的应用效果. 本文建立了大气压氦气介质阻挡放电仿真模型, 探究了接触角为45°, 90°和135°的水滴附着于待处理物表面时稳态放电结构与活性粒子分布受到的影响及其背后机制. 结果表明, 水滴表面与上方区域的稳态放电强度受到削弱, 这是因为在负击穿中, 水滴表面的极化电场增强了等离子体双极性扩散, 促成环形放电抑制区; 在次正放电阶段, 水滴极化导致的种子电子清除效应抑制了水滴上方区域放电, 上述放电抑制作用随水滴接触角变大而提升. 在化学分布部分, 待处理物和水滴表面的活性粒子与电子存在着协同分布关系, 其中O与N的分布会因O2与N2键能的不同产生差异, OH与He+的分布则分别受到水滴蒸发与电场的影响. 本文系统地阐述了水滴附着对介质阻挡放电电化学过程的影响机制, 为等离子体-液滴系统的相关应用提供了理论指导.
    Dielectric barrier discharge technology can generate cold plasma at atmospheric pressure, which contains abundant active particles and shows great potential for fresh produce sterilization applications. However, water droplets frequently adhere to the surfaces of fruits and vegetables, which changes key parameters including the gas gap width, dielectric distribution, and gas-phase composition, consequently affecting the effectiveness of plasma applications. Currently, plasma-droplet interactions with contact angle as a variable remain unexplored, and the underlying mechanisms by which adhering droplets affect the electrochemical characteristics of dielectric barrier discharge require further investigation. In this work, we develop an atmospheric-pressure helium dielectric barrier discharge simulation model with an He-O2-N2-H2O reaction system. This model is used to study how water droplets (with contact angles of 45°, 90°, and 135°) adhering to the surface of the specimens affect both the steady-state discharge structure and active particle distribution, as well as their underlying mechanisms. The results show that the steady-state discharge intensity is significantly weakened both at the droplet surface and in the region above it, with the greatest reduction occurring at a contact angle of 135°. During the main positive breakdown phase, the polarized electric field at the droplet surface significantly enhances both electron impact ionization and secondary electron emission, thereby promoting gas-phase breakdown in the region above the water droplet. During the main negative breakdown phase, this polarized electric field accelerates electron migration toward the liquid surface, which intensifies plasma ambipolar diffusion and consequently leads to the formation of an annular discharge suppression zone around the water droplet. During the secondary positive discharge phase, even though the water droplet becomes polarized and a radially inward electric field is generated near the liquid surface, the resulting seed electron scavenging effect suppresses discharge in the region above the water droplet. Due to the stronger polarized electric fields generated at the surfaces of water droplets with larger contact angles, both the discharge enhancement and suppression effects become more pronounced with the increase of contact angle. Regarding the chemical species distribution, active particles and electrons exhibit a synergistic distribution relationship. On the surface of the specimens, He+ ions undergo electric field-driven migration, resulting in a highly non-uniform spatial distribution. The evaporation of water droplets provides more reactant sources for OH generation, thereby increasing its total deposition quantity. Because the bond energy of O2 is lower than that of N2, oxygen (O) demonstrates a more uniform distribution and a greater total deposition quantity than nitrogen (N). On the surfaces of water droplets, the active particles exhibit a gradually decreasing distribution from the center to the edge. Notably, the total deposition quantity of He+ continuously increases with larger contact angles increasing due to the aggregation effect of the polarized electric field. This study systematically elucidates the influence mechanisms of adhering water droplets on the electrochemical processes in dielectric barrier discharge, providing theoretical guidance for relevant applications of plasma-droplet systems.
      通信作者: 戴栋, ddai@scut.edu.cn
    • 基金项目: 国家自然科学基金(批准号: 52377145)和广东省自然科学基金(批准号: 2023A1515012312)资助的课题.
      Corresponding author: DAI Dong, ddai@scut.edu.cn
    • Funds: Project supported by the National Natural Science Foundation of China (Grant No. 52377145) and the Natural Science Foundation of Guangdong Province, China (Grant No. 2023A1515012312).
    [1]

    [2]

    [3]

    [4]

    [5]

    [6]

    [7]

    [8]

    [9]

    [10]

    [11]

    [12]

    [13]

    [14]

    [15]

    [16]

    [17]

    [18]

    [19]

    [20]

    [21]

    [22]

    [23]

    [24]

    [25]

    [26]

    [27]

    [28]

    [29]

    [30]

    [31]

    [32]

    [33]

    [34]

    [35]

    [36]

    [37]

    [38]

    [39]

    [40]

    [41]

    [42]

    [43]

    [44]

    [45]

    [46]

    [47]

    [48]

    [49]

    [50]

    [51]

    [52]

    [53]

    [54]

    [55]

    [56]

  • 序号 反应式 速率系数 焓变/eV 参考文献
    1 $ {\text{e}}+{\text{He}} \to {\text{e} + \text{He}} $ f(c, ε) [43]
    2 $ {\text{e}}+{\text{He}} \to {\text{e} + \text{H}}{{\text{e}}^ * } $ f(c, ε) 19.82 [43]
    3 $ {\text{e}}+{{\text{He}}^ * } \to {\text{e} + \text{He}} $ 2.9×10–15 –19.82 [43]
    4 $ {\text{e}}+{\text{He}} \to 2{\text{e} + \text{H}}{{\text{e}}^ + } $ f(c, ε) 24.58 [43]
    5 $ {\text{e}}+{{\text{He}}^ * } \to 2{\text{e} + \text{H}}{{\text{e}}^ + } $ $4.661\times 10^{-16}\times T_{\rm e}^{0.6} \times \exp(-4.78/T_{\rm e}) $ 4.78 [43]
    6 $ {\text{e}}+{\text{He}}_2^ * \to 2{\text{e} + \text{He}}_2^ + $ $1.268 \times 10^{-18}\times T_{\rm e}^{0.71} \times\exp (-3.4/T_{\rm e}) $ 3.4 [43]
    7 $ {\text{e}}+{\text{He}}_2^ + \to {{\text{He}}^ * }+{\text{He}} $ $5.386\times 10^{-13}\times T_{\rm e}^{-0.5} $ [10]
    8 $ {\text{e}}+{{\text{He}}^ + } \to {\mathrm{He}}^ * $ $6.76\times 10^{-19}\times T_{\rm e}^{-0.5} $ [10]
    9 $ 2{\text{e}} + {{\text{He}}^ + } \to {\text{e}}+{{\text{He}}^ * } $ $6.186\times 10^{-39}\times T_{\rm e}^{-4.4} $ [10]
    10 $ {\text{e} + \text{He}}+{{\text{He}}^ + } \to \text{He}+{{\text{He}}^ * } $ $6.66\times 10^{-42}\times T_{\rm e}^{-2} $ [10]
    11 $ 2 {\text{e} + \text{He}}_2^ + \to \text{He}_2^ * + {\text{e}} $ 1.2×10–33 [10]
    12 $ {\text{e} + \text{He} + \text{He}}_2^ + \to \text{He}_2^ * + {\text{He}} $ 1.5×10–39 [10]
    13 $ {\text{e} + \text{He} + \text{He}}_2^ + \to {\mathrm{He}}^ * + 2 {\text{He}} $ 3.5×10–39 [10]
    14 $ 2 {\text{e} + \text{He}}_2^ + \to \text{He}^ * +{\text{He} + \text{e}} $ 2.8×10–32 [10]
    15 $ {\text{e}}+{{\text{N}}_2} \to {\text{e}}+{{\text{N}}_2} $ f(c, ε) [43]
    16 $ {\text{e}}+{{\text{N}}_2} \to {\text{e}}+{{\text{N}}_2} $ (v = 1) f(c, ε) 0.29 [55]
    17 $ {\text{e}}+{{\text{N}}_2} \to {\text{e}}+{{\text{N}}_2} $ (v = 2) f(c, ε) 0.59 [55]
    18 $ {\text{e}}+{{\text{N}}_2} \to {\text{e}}+{{\text{N}}_2} $ (v = 3) f(c, ε) 0.856 [10]
    19 $ {\text{e}}+{{\text{N}}_2} \to {\text{e}}+{{\text{N}}_2} $ (v = 4) f(c, ε) 1.134 [10]
    20 $ {\text{e}}+{{\text{N}}_2} \to {\text{e}}+{{\text{N}}_2} $ (v = 5) f(c, ε) 1.4088 [43]
    21 $ {\text{e}}+{{\text{N}}_2} \to 2{\text{e} + \text{N}}_2^ + $ f(c, ε) 15.6 [55]
    22 $ {\text{e} + \text{N}}_4^ + \to 2\text{N}_2 $ $3.18\times 10^{-13}\times T_{\rm e}^{-0.5} $ [10]
    23 $ {\text{e} + \text{N}}_2^ + \to 2 {\mathrm{N}} $ $4.8 \times 10^{-13} \times T_{\rm e}^{-0.5} $ [10]
    24 $ {\text{e} + \text{N}}_2^ + \to \text{N}_2 $ $7.72\times 10^{-14} \times T_{\rm e}^{-0.5} $ [10]
    25 $ {\text{e}}+{{\text{O}}_2} \to {\text{e}}+{{\text{O}}_2} $ f(c, ε) [55]
    26 $ {\text{e}}+{{\text{O}}_2} \to {\mathrm{O}}+{{\text{O}}^ - } $ f(c, ε) [55]
    27 $ {\text{e}}+{{\text{O}}_2} \to {\text{e}}+{{\text{O}}_2} $ (v = 3) f(c, ε) 0.57 [55]
    28 $ {\text{e}}+{{\text{O}}_2} \to {\text{e}}+{{\text{O}}_2} $ (v = 4) f(c, ε) 0.75 [55]
    29 $ {\text{e}}+{{\text{O}}_2} \to {\text{e}}+{{\text{O}}_2} $ (a1) f(c, ε) 0.977 [55]
    30 $ {\text{e}}+{{\text{O}}_2} \to {\text{e}}+{{\text{O}}_2} $ f(c, ε) –0.977 [10]
    31 $ {\text{e}}+{{\text{O}}_2} \to {\text{e}}+{{\text{O}}_2} $ (b1) f(c, ε) 1.627 [55]
    32 $ {\text{e}}+{{\text{O}}_2} \to {\text{e}}+{{\text{O}}_2} $ f(c, ε) –1.627 [10]
    33 $ {\text{e}}+{{\text{O}}_2} \to {\text{e}}+{{\text{O}}_2} $ (EXC) f(c, ε) 4.5 [55]
    34 $ {\text{e}}+{{\text{O}}_2} \to {\text{O}}_2^ - $ f(c, ε) [43]
    35 $ {\text{e}}+{{\text{O}}_2} \to {\text{e + O + O}} $ f(c, ε) 5.58 [10]
    36 $ {\text{e}}+{{\text{O}}_2} \to {\text{e + O + O}} $ (1D) f(c, ε) 8.4 [10]
    37 $ {\text{e}}+{{\text{O}}_2} \to 2{\text{e} + \text{O}}_2^ + $ f(c, ε) 12.06 [55]
    38 $ {\text{e}} + 2{{\text{O}}_2} \to \text{O}_2+{\text{O}}_2^ - $ $5.17\times 10^{-43} \times T_{\rm e}^{-1} $ –0.43 [43]
    39 $ {\text{e} + \text{O}}_2^ + \to 2{\text{O}} $ $6\times 10^{-11} \times T_{\rm e}^{-1} $ –6.91 [43]
    40 $ {\text{e} + \text{O}}_2^ + \to \text{O}_2 $ 4×10–18 [43]
    41 $ {\text{e} + \text{O}}_4^ + \to 2\text{O}_2 $ $2.25\times 10^{-13}\times T_{\rm e}^{-0.5} $ [10]
    42 $ {\text{e}}+{{\text{H}}_2}{\text{O}} \to {\text{e}}+{{\text{H}}_2}{\text{O}} $ f(c, ε) [10]
    43 $ {\text{e}}+{{\text{H}}_2}{\text{O}} \to {\text{e + e + }}{{\text{H}}_2}{{\text{O}}^ + } $ f(c, ε) 13.76 [10]
    44 $ {\text{e}}+{{\text{H}}_2}{\text{O}} \to {\text{e + H + OH}} $ f(c, ε) 7 [10]
    45 $ {\text{e + H + OH}} \to {\text{e}}+{{\text{H}}_2}{\text{O}} $ f(c, ε) –7 [10]
    46 $ {\text{e}}+{{\text{H}}_2}{{\text{O}}^ + } \to {\mathrm{OH}} + {\text{H}} $ $6.6\times 10^{-12} \times T_{\rm e}^{-0.5} $ [10]
    47 $ {\text{H}}{{\text{e}}^ * }{\text{ + H}}{{\text{e}}^ * } \to {\text{e + He + H}}{{\text{e}}^ + } $ 4.5×10–16 –15 [10]
    48 $ {\text{H}}{{\text{e}}^ * } + 2 {\text{He}} \to {\text{He}}_2^ * +{\text{He}} $ 1.3×10–45 [10]
    49 $ {\text{H}}{{\text{e}}^ + } + 2 {\text{He}} \to {\text{He}}_2^ + +{\text{He}} $ 1×10–43 [10]
    50 $ {{\text{O}}^ - }+{\text{O}}_2^ + \to {\mathrm{O}}+{{\text{O}}_2} $ 2×10–13 [10]
    51 $ {\text{O}}_2^ - +{\text{O}}_2^ + \to 2{{\text{O}}_2} $ 2×10–13 [10]
    52 $ {\text{O}}_2^ - +{\text{O}}_2^ + +{{\text{O}}_2} \to 3{{\text{O}}_2} $ 2×10–37 [10]
    53 $ {\text{O}}_2^ - +{\text{O}}_4^ + +{{\text{O}}_2} \to 4{{\text{O}}_2} $ 2×10–37 [10]
    54 $ {{\text{O}}_2}+{{\text{O}}_2}+{\text{O}}_2^ + \to {{\text{O}}_2}+{\text{O}}_4^ + $ 2.4×10–42 [10]
    55 $ {\text{H}}{{\text{e}}^ * }+{{\text{N}}_2} \to {\mathrm{e}}{\text{ + N}}_2^ + +{\text{He}} $ 7×10–17 [10]
    56 $ {\text{He}}_2^ * +{{\text{N}}_2} \to {\mathrm{e}}{\text{ + N}}_2^ + + 2 {\text{He}} $ 7×10–17 [10]
    57 $ {\text{He}}_2^ * +{{\text{O}}_2} \to {\mathrm{e}}+{\text{O}}_2^ + + 2 {\text{He}} $ 3.6×10–16 [10]
    58 $ {\text{H}}{{\text{e}}^ * }+{{\text{O}}_2} \to {\mathrm{e}}+{\text{O}}_2^ + +{\text{He}} $ 2.6×10–16 [10]
    59 $ {\text{He}}_2^ + +{{\text{N}}_2} \to {\mathrm{N}}_2^ + + 2 {\text{He}} $ 5×10–16 [10]
    60 $ {\text{H}}{{\text{e}}^ + }+{{\text{N}}_2} \to {\mathrm{N}}_2^ + +{\text{He}} $ 5×10–16 [10]
    61 $ {\text{He + }}{{\text{N}}_2}{\text{ + N}}_2^ + \to \text{He}{\text{ + N}}_4^ + $ 8.9×10–42 [10]
    62 $ {\text{He + }}{{\text{O}}_2}+{\text{O}}_2^ + \to {\mathrm{He}}+{\text{O}}_4^ + $ 5.8×10–43 [10]
    63 $ {\text{O + O + N}} \to \text{O}_2 + {\text{N}} $ 3.2×10–45 [10]
    64 $ {{\text{O}}_2}{\text{ + N + N}} \to \text{O}_2+{{\text{N}}_2} $ 3.9×10–45 [10]
    65 $ {{\text{O}}_2}{\text{ + N}}_4^ + \to 2\text{N}_2+{\text{O}}_2^ + $ 2.5×10–16 [43]
    66 $ {{\text{N}}_2}+{{\text{O}}_2}{\text{ + N}}_2^ + \to \text{O}_2{\text{ + N}}_4^ + $ 5×10–41 [10]
    67 $ {\text{O}}_2^ - +{\text{O}}_4^ + +{{\text{N}}_2} \to 3\text{O}_2+{{\text{N}}_2} $ 2×10–37 [10]
    68 $ {\text{O}}_2^ - +{\text{O}}_2^ + +{{\text{N}}_2} \to 2\text{O}_2+{{\text{N}}_2} $ 2×10–37 [10]
    69 $ {\text{O}}_2^ - +{\text{O}}_2^ + + {\text{He}} \to 2\text{O}_2 + {\text{He}} $ 2×10–37 [10]
    70 $ {\text{He + O + H}} \to \text{He}{\text{ + OH}} $ 3.2×10–45×T–1 [10]
    71 $ {\text{O + 2}}{{\text{O}}_2} \to {\mathrm{O}}_3+{{\text{O}}_2} $ 6×10–46×(T/300)–2.8 [56]
    72 $ 2 {\text{O}} + {{\text{O}}_2} \to {{\mathrm{O}}_3}+{\text{O}} $ 3.4×10–46×(T/300)–1.2 [56]
    73 $ {\text{O + }}{{\text{O}}_2}+{{\text{N}}_2} \to \text{N}_2+{{\text{O}}_3} $ 1.1×10–46×exp(510/T) [56]
    74 $ {\text{O + }}{{\text{O}}_2}+{\text{He}} \to \text{He}+{{\text{O}}_3} $ 3.4×10–46×(T/300)–1.2 [56]
    75 $ {{\text{O}}_3}+{\text{O}} \to 2{{\text{O}}_2} $ 8×10–18×exp(–2060/T) [56]
    76 $ {2}{{\text{O}}_3} \to {\text{O + }}{{\text{O}}_2}+{{\text{O}}_3} $ 1.6×10–15×exp(–11400/T) [56]
    77 $ {{\text{O}}_3}+{{\text{N}}_2} \to {\text{O}} + {{\text{O}}_2}+{{\text{N}}_2} $ 1.6×10–15×exp(–11400/T) [56]
    78 $ {\text{He}} + {{\text{O}}_3} \to \text{He} + {\text{O}} + {{\text{O}}_2} $ 1.56×10–15×exp(–11400/T) [56]
    注: f(c, ε)代表该反应的速率系数是使用碰撞横截面与电子能的函数和电子能量分布函数计算得到的; Te 为电子温度, 单位为 eV; He*代表He(23S)和He(21S); He2*代表He2 (${\mathrm{a}}^3\Sigma_{\rm u}^+$); N2代表N2 (v = 1), N2 (v = 2), N2 (v = 3), N2 (v = 4)和N2 (v = 5); O2代表O2 (v = 3), O2 (v = 4), O2 (a1), O2 (b1)和O2 (EXC); O代表O (1D); 双体和三体反应的速率系数单位分别为m3·s–1和m6·s–1 [10,43].
    下载: 导出CSV
  • [1]

    [2]

    [3]

    [4]

    [5]

    [6]

    [7]

    [8]

    [9]

    [10]

    [11]

    [12]

    [13]

    [14]

    [15]

    [16]

    [17]

    [18]

    [19]

    [20]

    [21]

    [22]

    [23]

    [24]

    [25]

    [26]

    [27]

    [28]

    [29]

    [30]

    [31]

    [32]

    [33]

    [34]

    [35]

    [36]

    [37]

    [38]

    [39]

    [40]

    [41]

    [42]

    [43]

    [44]

    [45]

    [46]

    [47]

    [48]

    [49]

    [50]

    [51]

    [52]

    [53]

    [54]

    [55]

    [56]

  • [1] 李耀华, 燕兆赫, 闫志浩, 李骋, 潘宇扬, 董丽芳. 介质阻挡放电中类蜂窝超点阵斑图. 必威体育下载 , 2025, 74(22): 225201. doi: 10.7498/aps.74.20250952
    [2] 马乂辰, 王语菲, 王婷婷, 曹亚文, 李正清, 谭畅. 填充床介质阻挡放电火星CO2放电特性. 必威体育下载 , 2025, 74(23): 235212. doi: 10.7498/aps.74.20251061
    [3] 赵立芬, 哈静, 王非凡, 李庆, 何寿杰. 氧气空心阴极放电模拟. 必威体育下载 , 2022, 71(2): 025201. doi: 10.7498/aps.71.20211150
    [4] 赵凯, 牟宗信, 张家良. 同轴介质阻挡放电发生器介质层等效电容和负载特性研究. 必威体育下载 , 2014, 63(18): 185208. doi: 10.7498/aps.63.185208
    [5] 戴栋, 王其明, 郝艳捧. 大气压氦气介质阻挡放电中的周期一不对称放电实验研究. 必威体育下载 , 2013, 62(13): 135204. doi: 10.7498/aps.62.135204
    [6] 董丽芳, 杨玉杰, 刘为远, 岳晗, 王帅, 刘忠伟, 陈强. 不同电介质结构下介质阻挡放电特性研究. 必威体育下载 , 2011, 60(2): 025216. doi: 10.7498/aps.60.025216
    [7] 董丽芳, 李树峰, 范伟丽. 介质阻挡放电丝结构转变中的缺陷研究. 必威体育下载 , 2011, 60(6): 065205. doi: 10.7498/aps.60.065205
    [8] 梁卓, 罗海云, 王新新, 关志成, 王黎明. 气流对氮气介质阻挡放电气体温度及放电模式的影响. 必威体育下载 , 2010, 59(12): 8739-8746. doi: 10.7498/aps.59.8739
    [9] 董丽芳, 杨玉杰, 范伟丽, 岳晗, 王帅, 肖红. 介质阻挡放电中放电丝结构相变过程研究. 必威体育下载 , 2010, 59(3): 1917-1922. doi: 10.7498/aps.59.1917
    [10] 邵先军, 马跃, 李娅西, 张冠军. 低气压氙气介质阻挡放电的一维仿真研究. 必威体育下载 , 2010, 59(12): 8747-8754. doi: 10.7498/aps.59.8747
    [11] 董丽芳, 王红芳, 刘微粒, 贺亚峰, 刘富成, 刘书华. 介质阻挡放电中电介质参量对放电时间特性的影响. 必威体育下载 , 2008, 57(3): 1802-1806. doi: 10.7498/aps.57.1802
    [12] 李雪辰, 贾鹏英, 刘志辉, 李立春, 董丽芳. 介质阻挡放电丝模式和均匀模式转化的特性. 必威体育下载 , 2008, 57(2): 1001-1007. doi: 10.7498/aps.57.1001
    [13] 董丽芳, 高瑞玲, 贺亚峰, 范伟丽, 李雪辰, 刘书华, 刘微粒. 介质阻挡放电斑图中放电通道的相互作用研究. 必威体育下载 , 2007, 56(3): 1471-1475. doi: 10.7498/aps.56.1471
    [14] 尹增谦, 万景瑜, 黄明强, 王慧娟. 介质阻挡放电中的能量转换过程研究. 必威体育下载 , 2007, 56(12): 7078-7083. doi: 10.7498/aps.56.7078
    [15] 王艳辉, 王德真. 介质阻挡均匀大气压氮气放电特性研究. 必威体育下载 , 2006, 55(11): 5923-5929. doi: 10.7498/aps.55.5923
    [16] 欧阳吉庭, 何 锋, 缪劲松, 冯 硕. 共面介质阻挡放电特性研究. 必威体育下载 , 2006, 55(11): 5969-5974. doi: 10.7498/aps.55.5969
    [17] 贺亚峰, 董丽芳, 刘富成, 范伟丽. 介质阻挡放电中的局域态六边形结构. 必威体育下载 , 2005, 54(9): 4236-4239. doi: 10.7498/aps.54.4236
    [18] 董丽芳, 毛志国, 冉俊霞. 氩气介质阻挡放电不同放电模式的电学特性研究. 必威体育下载 , 2005, 54(7): 3268-3272. doi: 10.7498/aps.54.3268
    [19] 尹增谦, 王 龙, 董丽芳, 李雪辰, 柴志方. 介质阻挡放电中微放电的映射方程. 必威体育下载 , 2003, 52(4): 929-934. doi: 10.7498/aps.52.929
    [20] 董丽芳, 李雪辰, 尹增谦, 王龙. 大气压介质阻挡放电中的自组织斑图结构. 必威体育下载 , 2002, 51(10): 2296-2301. doi: 10.7498/aps.51.2296
计量
  • 文章访问数:  865
  • PDF下载量:  14
  • 被引次数: 0
出版历程
  • 收稿日期:  2025-06-24
  • 修回日期:  2025-09-27
  • 上网日期:  2025-09-30
  • 刊出日期:  2025-12-05

返回文章
返回