搜索

x
中国物理学会期刊

基于背入射技术的全透明β-Ga2O3多模式日盲探测实验系统构建

CSTR:32037.14.aps.74.20251009

Construction of a fully transparent β-Ga2O3 multi-mode solar-blind detection experimental system based on back incidence technology

CSTR:32037.14.aps.74.20251009
PDF
HTML
导出引用
  • 为满足日盲紫外通信等前沿应用对高性能光电探测器的迫切需求, 本文设计并实现了一种基于背入射结构的全透明β-Ga2O3日盲光电探测器. 该器件采用射频磁控溅射技术在双面抛光蓝宝石衬底上外延生长高质量β-Ga2O3薄膜, 并构筑了能够与n型Ga2O3形成高效准欧姆接触的氧化铟锡(ITO)叉指电极. 该结构的核心优势在于利用双抛蓝宝石衬底在深紫外波段的高透过率, 使入射光子绕开紫外区吸收显著的ITO电极, 彻底规避了传统正入射模式中由电极遮蔽效应所导致的光子损失. 得益于此, 器件展现出卓越的光电性能, 如高响应度、高探测率与优异的紫外/可见光抑制比. 在此高性能探测器平台基础上, 进一步发掘了该器件的多功能应用潜力. 基于β-Ga2O3单斜晶系的本征晶格各向异性, 构建偏振探测实验系统, 器件表现出显著的偏振光敏特性. 同时, 成功搭建了非视距(NLOS)紫外通信演示系统, 验证了其在复杂信道下进行高保真信息传输的可行性. 本研究为构建兼具高灵敏度与偏振分辨、非视距通信能力的新一代Ga2O3基光电器件提供了有效的物理思路和实验依据, 在安全通信、偏振成像等领域展现出广阔的应用前景.

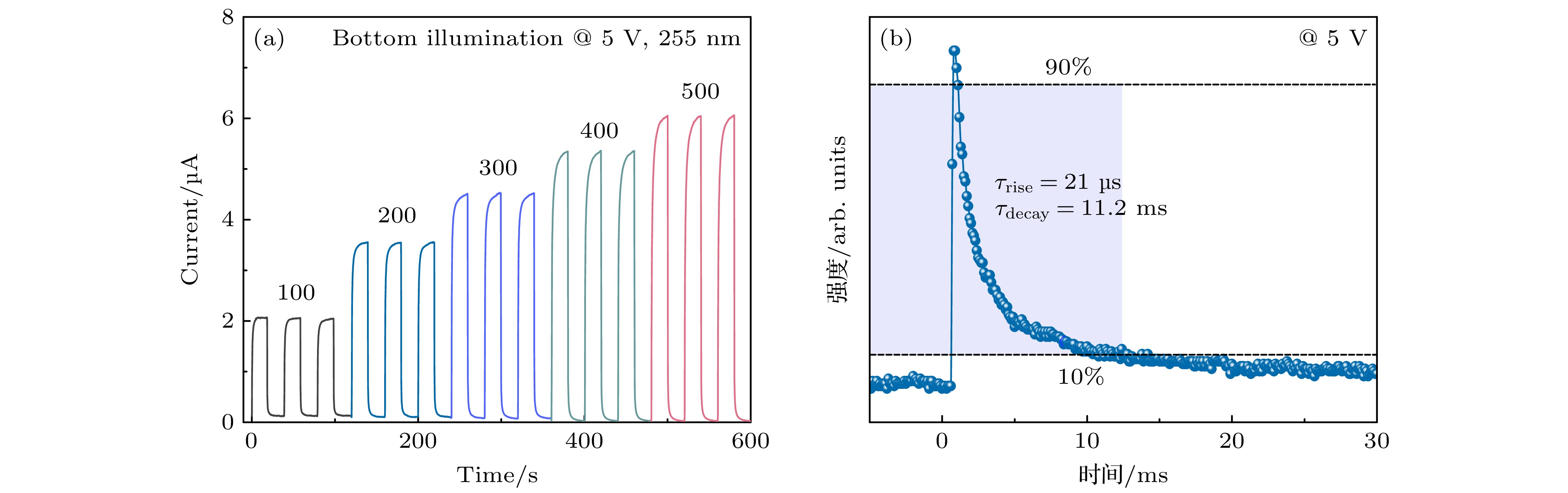
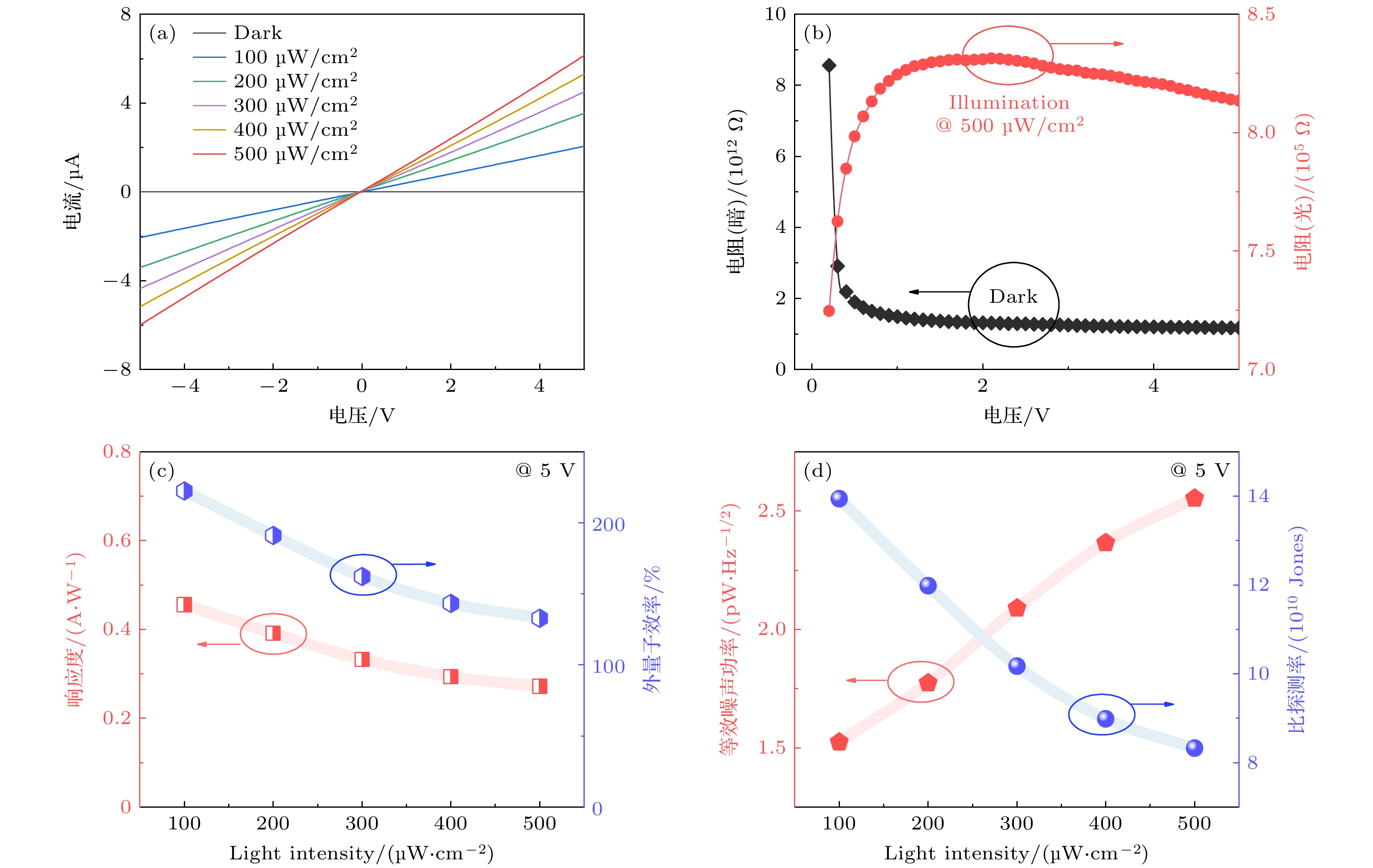
    To meet the urgent demand for high-performance photodetectors in emerging solar-blind ultraviolet communication applications, this study systematically designs and implements a fully transparent β-Ga2O3 solar-blind photodetector based on a back-illumination architecture. The device is fabricated using RF magnetron sputtering to epitaxially grow high-quality β-Ga2O3 films (~300 nm in thickness, ~4.98±0.05 eV in bandgap) on double-polished sapphire substrates, with indium tin oxide (ITO) interdigitated electrodes forming efficient quasi-Ohmic contacts with n-type Ga2O3. The core advantage of this design lies in exploiting the high deep-UV transmittance of double-polished sapphire substrates, enabling incident photons to completely bypass the UV-absorbing ITO electrodes and eliminate photon loss caused by electrode shadowing effects in traditional front-illumination configurations. Consequently, the device demonstrates exceptional optoelectronic performance: a maximum responsivity of 0.46 A/W corresponding to an external quantum efficiency of 222.4%, an outstanding UV/visible rejection ratio of 1.2×104, a minimum noise equivalent power of 1.52 pW/Hz1/2, and a peak specific detectivity of 1.39×1011 Jones, with fast response times of 24 μs (rise) and 1.24 ms (decay). Building on this high-performance detector platform, we further explore its multifunctional application potential by constructing a polarization detection system that utilizes the intrinsic lattice anisotropy of monoclinic β-Ga2O3, and successfully demonstrating a non-line-of-sight (NLOS) UV communication system that validates high-fidelity information transmission in complex scattering channels. This work provides effective physical insights and experimental basis for developing next-generation Ga2O3-based optoelectronic devices with integrated high sensitivity, polarization resolution, and NLOS communication capabilities, showing promising applications in secure communications and polarization imaging.

    目录

    返回文章
    返回