搜索

x
中国物理学会期刊

低能Ar2+-Ar/N2碰撞中的态分辨电子俘获研究

CSTR:32037.14.aps.74.20251146

State-resolved electron capture in low-energy Ar2+-Ar/N2 collisions

CSTR:32037.14.aps.74.20251146
PDF
HTML
导出引用
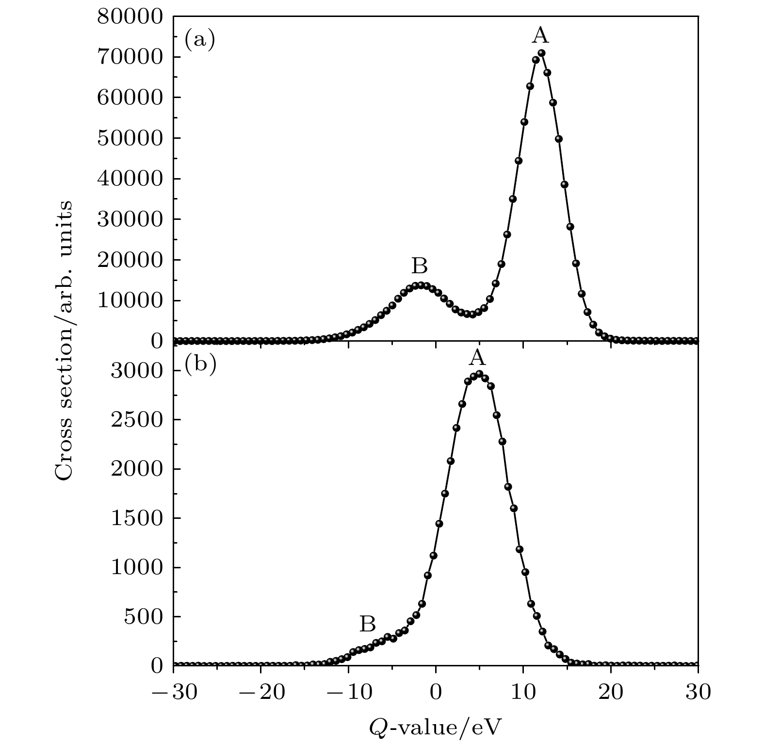
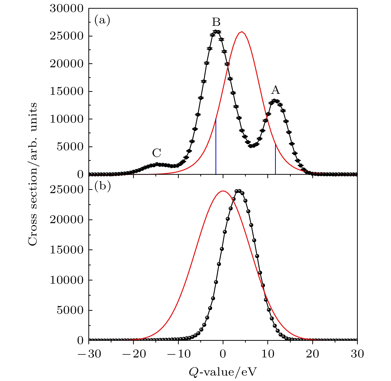
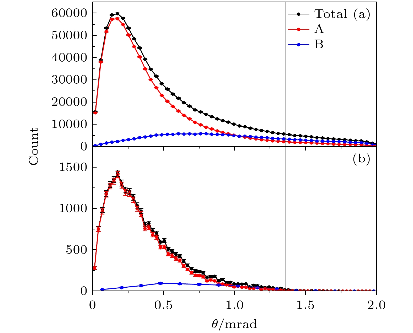
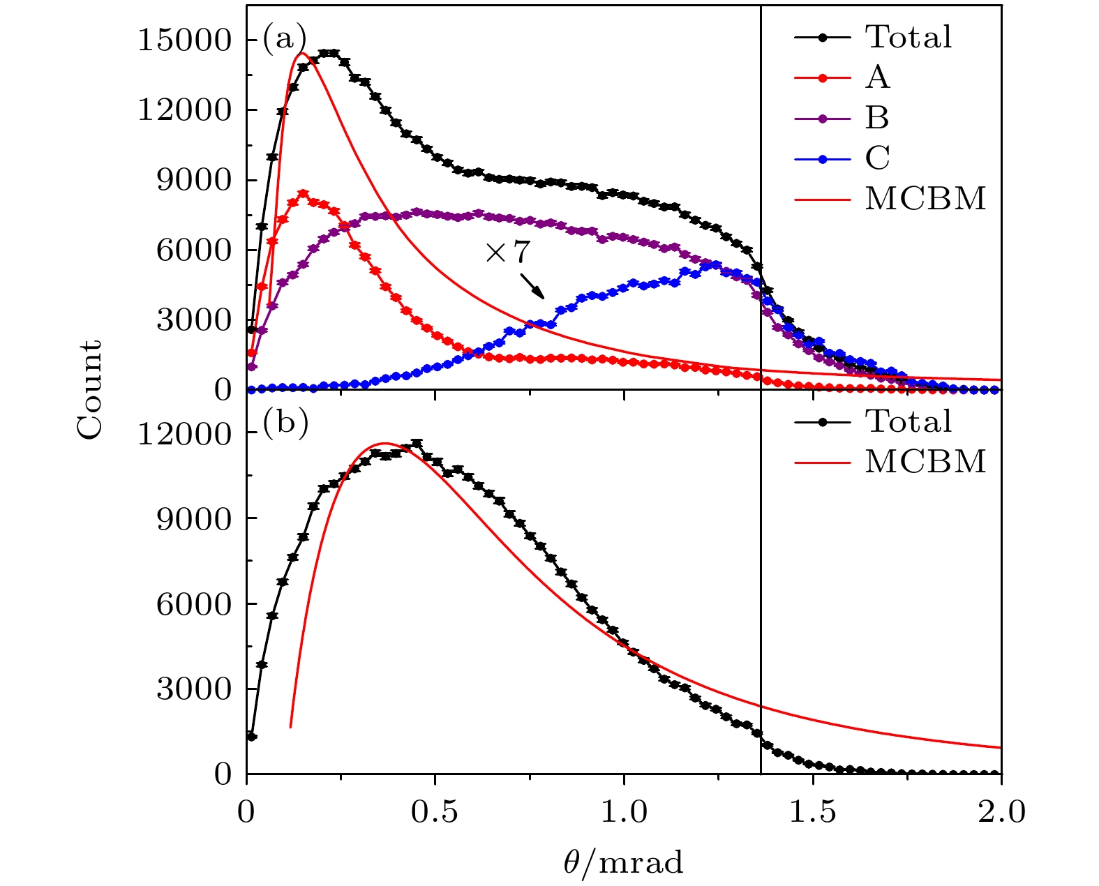
  • 采用反应显微成像谱仪研究了炮弹能量40 keV条件下Ar2+离子与Ar和N2气体碰撞体系的单电子俘获和双电子俘获动力学过程. 通过高精度动量成像技术, 实验成功测定了Ar2+-Ar和Ar2+-N2碰撞体系中态分辨的单电子和双电子俘获截面, 并获取了炮弹离子的散射角分布. 实验数据分析表明: 在单电子俘获过程中, Ar2+与Ar原子作用时, 电子主要被俘获至炮弹 3\mathrms3\mathrmp^6 激发态; 而与N2分子相互作用时, 电子优先占据 3\mathrms^23\mathrmp^5 态. 值得注意的是, Ar原子体系的单电子俘获截面分布与分子库仑过垒模型预测的反应窗口呈现良好的一致性. 在双电子俘获过程中, 无论靶介质为Ar原子还是N2分子, 双电子俘获均以基态( 3\mathrms^23\mathrmp^6 )占据主导地位. 此外, 还对Ar2+-Ar/N2的单、双俘获过程的散射角分布进行了分析和定性解释.

    As a fundamental process in atomic physics, charge exchange relies on quantum state-resolved data that is crucial for various fields such as astrophysics and plasma physics. However, there remains a gap in the research on multi-electron target systems. This study aims to investigate the dynamic mechanisms of single/double electron capture in collisions between Ar2+ ions and Ar atoms or N2 molecules at an energy of 40 keV, thereby supplementing high-precision experimental data in this field. The experiment is conducted on the electron beam ion source (EBIS) platform at the Institute of Modern Physics, Chinese Academy of Sciences, using the cold target recoil ion momentum spectroscopy (COLTRIMS) technique. An ion beam containing ground-state Ar2+ (3s23p4 3P) and metastable Ar2+ (3s23p4 1D, 1S) is used as the projectile, colliding with a supersonic Ar/N2 mixed gas target. Three-dimensional momentum of recoil ions is reconstructed through coincidence measurements of recoil ions and scattered ions, and the Q-value and scattering angle distribution are calculated. Theoretical comparisons are performed using the molecular Coulombic over barrier model (MCBM).
    The results show that there are similarities in the populations of single-electron captured states between the two systems, but the contribution ratios are different: the Q-value spectrum of the Ar2+-Ar system contains an additional characteristic peak, which corresponds to the process where the projectile ion captures an electron from the 3s orbital of the target while its own 3s electron is excited to the 3p orbital. In contrast, this characteristic peak is absent in the Ar2+-N2 system due to the easy dissociation of excited \textN_2^+ ions. For double-electron capture, both systems are dominated by capturing electrons to the ground state, but only the Ar2+-N2 system shows a significant contribution from excited state populations. The comparison of scattering angles reveals that the higher the capture state of the product ion, the larger the corresponding scattering angle is and the smaller the impact parameter is. This is presumably because electron interactions become more complex at smaller impact parameters, leading to a higher probability of capturing electrons to high-energy levels. In the double-electron capture of the Ar2+-N2 system, only the ground-state channel is populated at small angles (0–1.2 mrad). Additionally, electron capture exhibits dependence on impact parameter: as the angle increases (i.e. the impact parameter decreases), the Q-value of the capture reaction decreases, indicating that the reaction tends to be more endothermic.

    目录

    返回文章
    返回