Research into the characteristics of dipole magnetic field-confined plasmas and their interaction with charged particle beams is critical for understanding near-Earth magnetospheric plasma. In this paper, a fully relativistic electromagnetic particle-in-cell (PIC) method, implemented with the open-source code Smilei, is used to perform three-dimensional kinetic simulations of the evolution of electron beams injected into the dipole magnetic field confined plasmas. The simulation adopts a uniform grid with 256 cells in each spatial direction, neglects collisional effects, and considers a plasma consisting only of electrons and ions. The initial plasma with a number density of 1×1012 m–3 is configured as a rectangular toroidal structure with a square cross-section. An externally prescribed dipole magnetic field is applied to the simulation domain. This field is generated by an ideal current loop centered in the grid’s x-y plane, with a loop radius of 1/8 the grid length a current magnitude of 4000 A, and a maximum magnetic field strength of 6000 G. Under these conditions, the ratio of electron plasma frequency to gyrofrequency ranges from 5.3×10–4 to 3.2, and the plasma beta varies from 2.24×10–10 to 8×10–3. The grid cell size is set to 0.05 times the electron Debye length, and the time step is 0.95 times the CFL time step. The simulation runs for a total of 20000 steps to achieve a quasi-steady state. The electron beams with a temperature of 10 eV and a drift velocity of 1×107 m/s are injected from the x-min boundary of the grid at angles of 0°, 30°, and 60° relative to the positive x-axis, to explore the influence of electron beams with varying injection angles on the dipole magnetic field confined plasma.
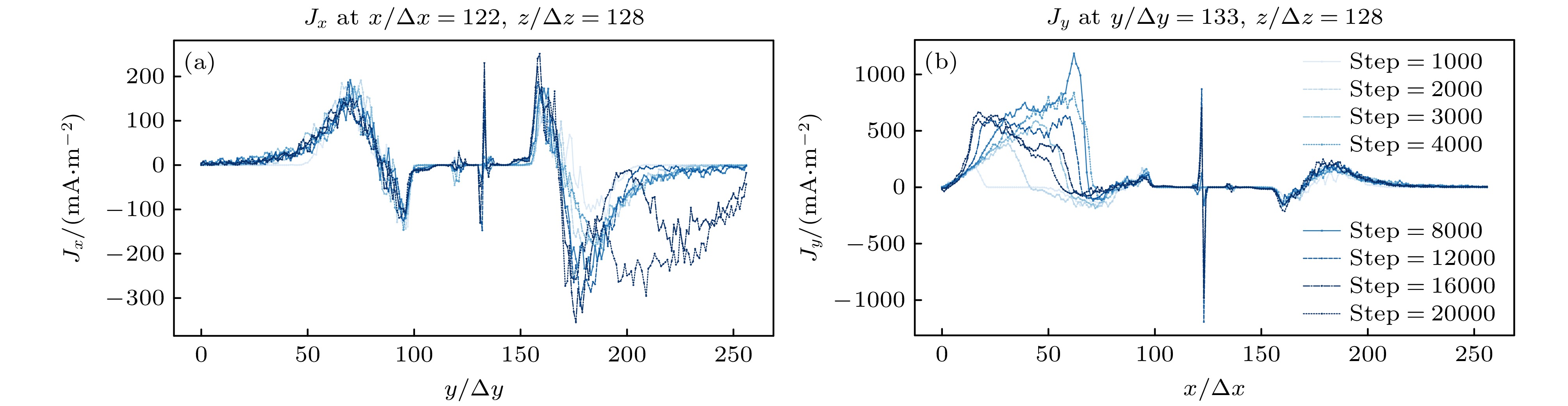
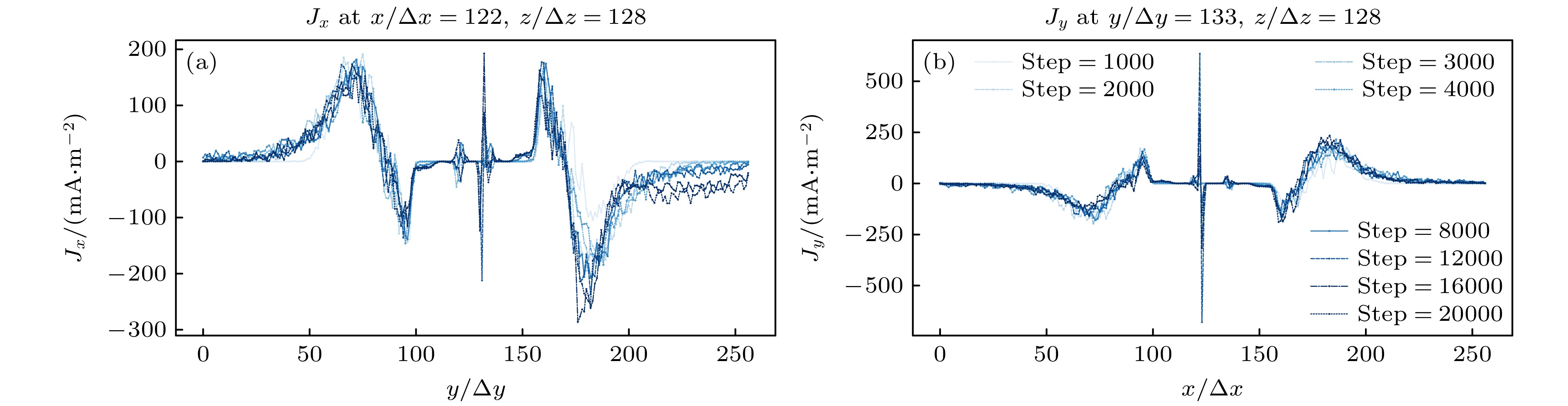
The simulation results demonstrate the spatiotemporal evolution and behavior of the electron beam and plasma. Specifically, the plasma confined by a dipole magnetic field forms a crescent-shaped shell structure that aligns with magnetic field lines, with toroidal currents of opposite directions generated inside and outside the shell. When the electron beam is injected at incident angles of 0° and 30°, drift effects cause most of beam particles to concentrate along a specific magnetic field line on the x+y=250\Delta x plane. Additionally, the drift current induced by electron beam injection changes the distribution of the central toroidal current in the main plasma, resulting in localized enhancement and attenuation of the toroidal current. In contrast, at an injection angle of 60°, the vast majority of beam particles are scattered by the dipole magnetic field, and fail to reach the central region to interact with the main plasma. Simulation findings further indicate that when the electron beam’s injection angle relative to the magnetic field direction exceeds 20° and its drift velocity is misaligned with the dipole field center, most of beam particles scatter and are ejected from the simulation domain, precluding interaction with the dipole-confined plasma. For future experimental devices studying the interactions between electron beam and plasma in dipole magnetic field confinement systems, choosing an appropriate beam injection direction is critical to ensure that the electrons can reach the core region of the dipole field and interact with the confined plasma. This study offers valuable insights into the dynamic behavior of plasma in dipole magnetic fields, aiding space plasma research facilities in achieving their designed scientific objectives.