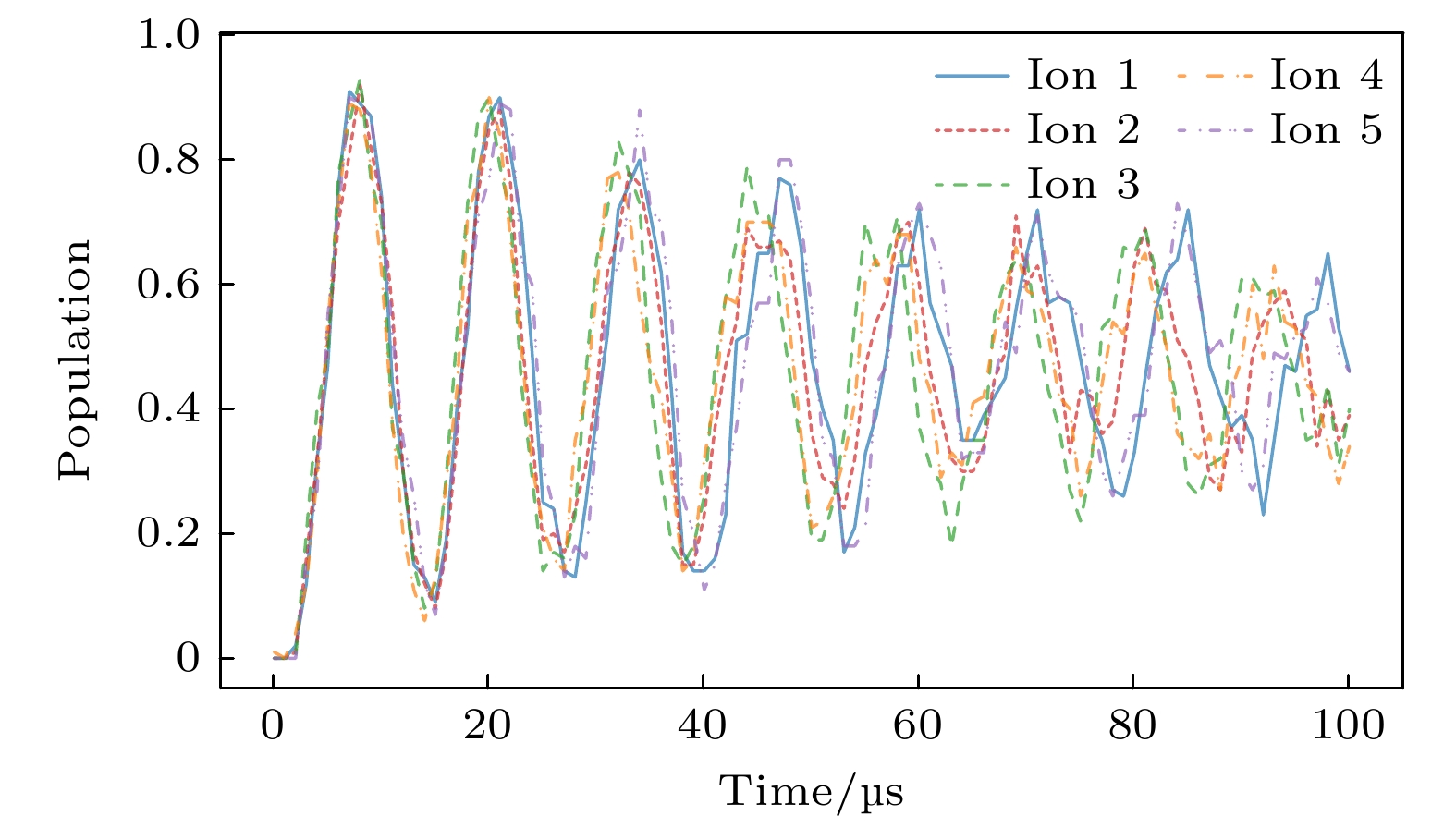
The development of high-performance chip-scale ion traps is pivotal for the integration and scaling of ion-trap-based quantum computers. While cryogenic environments can significantly suppress anomalous heating, operating ion traps at room temperature remains highly attractive for its simplicity and lower cost. This work reports significant progress in coherently controlling multiple ions confined in a custom-fabricated, room-temperature surface-electrode trap, establishing a critical foundation for advanced quantum protocols like quantum error correction and future scalable architectures. Research Objectives and Methods Our study aimed to characterize a home-built chip trap and demonstrate its capabilities for multi-ion quantum logic under ambient conditions. The trap features a six-wire electrode design on a high-resistivity silicon substrate, with ions trapped at a height of 154 μm. We employed a combination of Doppler cooling, Electromagnetically Induced Transparency (EIT) cooling, and resolved-sideband cooling to prepare the ions in the motional ground state. Coherent manipulations were performed using both a 729 nm laser (for optical qubits between the $|\text{S}_{1/2},m_j=-1/2\rangle$ and $|\text{D}_{5/2},m_j=-3/2\rangle$ states) and microwave radiation (for qubits between the $|\text{S}_{1/2},m_j=-1/2\rangle$ and $|\text{S}_{1/2},m_j=+1/2\rangle$ states) Quantum state detection was achieved via state-dependent fluorescence using an EMCCD camera, enabling site-resolved readout. Key Results Low Room-temperature Heating Rates: The trap exhibited low heating rates, measured to be 0.074(8) quanta/ms in the axial direction (at 833 kHz) and 0.237(51) quanta/ms in the radial direction (at 1.3 MHz). The spectral density of electric-field noise is on the order of $10^{-13}$ ${{\rm{V}}^2 /{\rm{m}}^{2} {\rm{Hz}}}$ at trap frequencies above 500 kHz, ranking among the best for room-temperature devices. The spectral density of electric-field noise followed an approximate $f^{-2.52(22)}$ dependence, potentially influenced by external filtering circuits. High-Fidelity Single-Ion Control A single 40Ca+ ion was cooled to an average phonon number of 0.04(2) in its axial motion. High-fidelity coherent operations were demonstrated: carrier Rabi oscillations using the 729 nm laser showed a single-pulse fidelity of approximately 98.98(8)%, while microwave-driven operations achieved a fidelity of 99.95(2)%. Ramsey interferometry with microwaves revealed a coherence time $T_2^*$ of 5.0(4) ms.Site-Resolved Multi-Ion Coherent Control: The core achievement was the global coherent manipulation of ion chains containing up to 20 ions. We characterized the system by driving motional sideband transitions on various axial modes of 5- and 6-ion chains. The resulting Rabi oscillations, measured with site-resolved fluorescence, clearly showed the collective dynamics and mode-dependent coupling strengths dictated by the normalized mode eigenvectors. Furthermore, global carrier transitions were demonstrated on a 2D zigzag crystal of 20 ions, confirming the ability to execute simultaneous operations on a large qubit array. Global Control of 2D Ion Crystals With 20 ions, a 2D zigzag crystal was formed and globally addressed using both laser and microwave drives. Laser-driven carrier transitions showed strong decay due to multimode motional coupling, while microwave-driven oscillations remained nearly decay-free, consistent with the Lamb–Dicke parameter being negligible for microwave fields. Conclusion We have successfully demonstrated that our room-temperature surface-electrode trap can support low-heating confinement, high-fidelity single- and multi-qubit operations, and coherent control of large ion arrays. The site-resolved observations of mode-dependent coupling highlight the potential for exploiting collective vibrational modes for selective quantum control. These results validate the trap as a robust and promising platform for medium-scale quantum information processing and quantum simulation at room temperature. Future work will focus on structural optimizations to reduce radial heating and integration with cryogenic systems to further suppress noise, ultimately advancing toward large-scale quantum computing architectures.