-
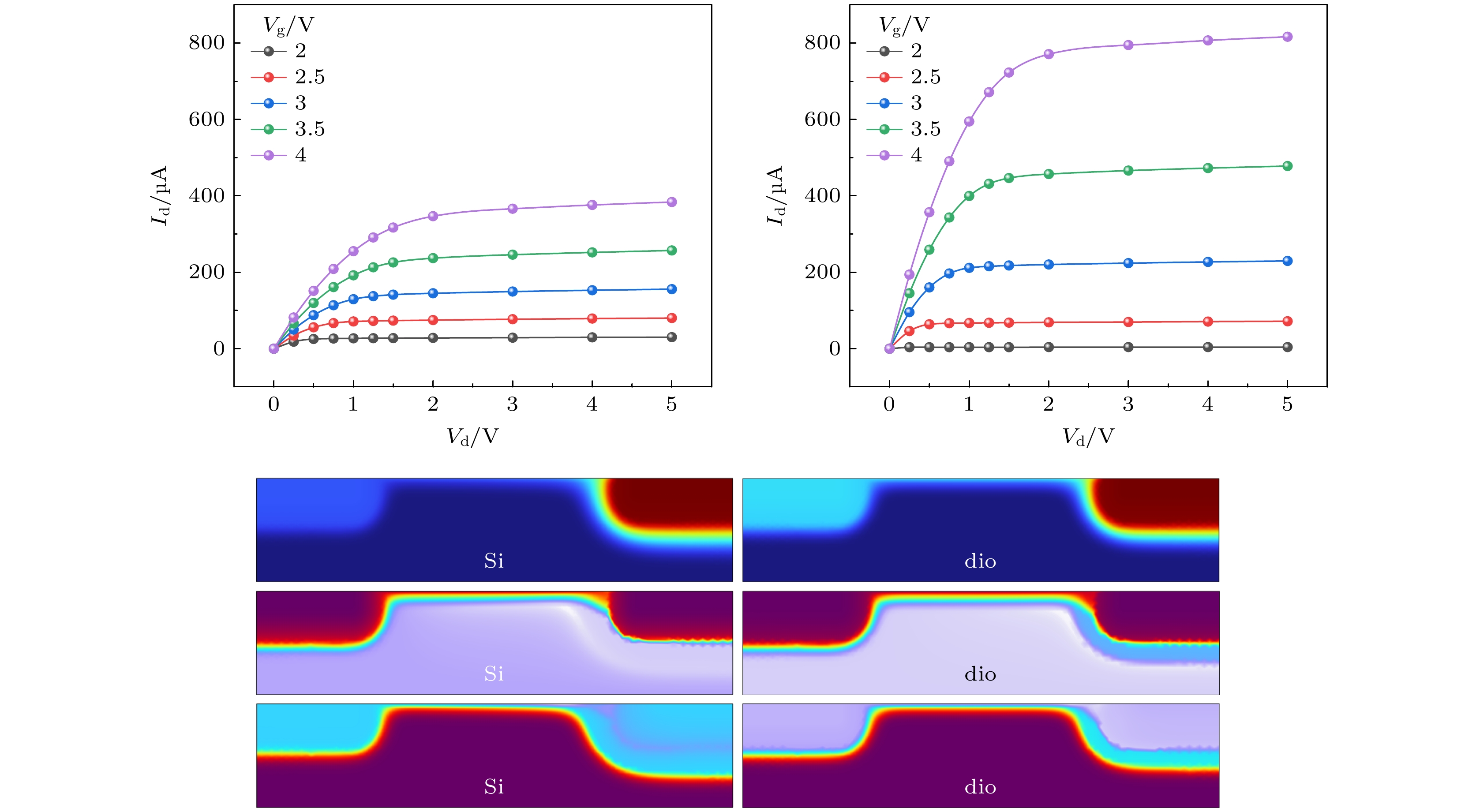
新一代检测装备对高灵敏检测器提出了迫切需求. 纵观半导体检测器件的发展现状, 目前传统硅基检测器灵敏度及沟道尺寸已不满足未来所需, 金刚石烯具有高载流子迁移率、宽带隙等优异性能, 其优异的电子特性有望有效提升检测器的灵敏度性能, 为下一代检测器发展提供新途径. 但基于金刚石烯的检测机理还尚不明晰. 基于上述问题, 本文通过建立晶体管电流沟道理论模型, 分析了检测器工作状态下电子流动机制, 进一步结合沟道材料电子特性, 建立一种基于沟道材料电子流动的晶体管电流理论模型, 并开展金刚石烯基晶体管检测器的机理仿真验证、电子特性分析研究, 证明了碳基二维材料——金刚石烯在超敏电子检测中的潜力, 为新一代高性能检测器的研制提供技术基础.The new generation of detection equipment urgently requires high-sensitivity detectors. Traditional silicon-based detectors cannot meet the requirements for sensitivity and channel size. Diamondene has excellent performance such as high carrier mobility and wide band gap. Its excellent electronic characteristics are expected to effectively improve the sensitivity of the detector and provide a new way for developing the next generation of detectors. However, the detection mechanism based on diamondene is still unclear. Based on the above problems, the analytical model and mechanism of the transistor channel are first studied. By analyzing the relationship between the surface potential distribution of the current channel and the effective channel size in the working state and the sensitive characteristics of the two-dimensional material electrons of the channel, a theoretical model of the transistor detector is constructed based on the electronic characteristics of the channel material, and the working characteristics of the detector are investigated. The finite element simulation of the working mechanism, potential and electron distribution of the transistor detector is carried out. The simulation results show that the mobility level of the diamondene-based detector is 2.5 times that of the traditional silicon-based detector, which theoretically verifies the hypersensitive detection characteristics of the diamondene-based detector. This study is of great significance in designing and applying a new generation of carbon-based ultra-sensitive detection devices.
-
Keywords:
- high-sensitivity detector /
- channel electronics /
- sensitivity /
- migration rate








下载: