-
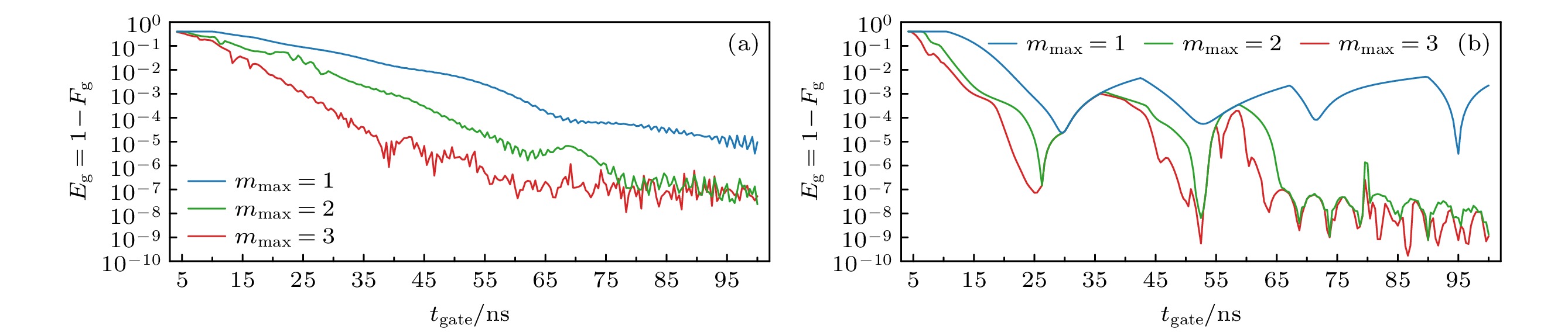
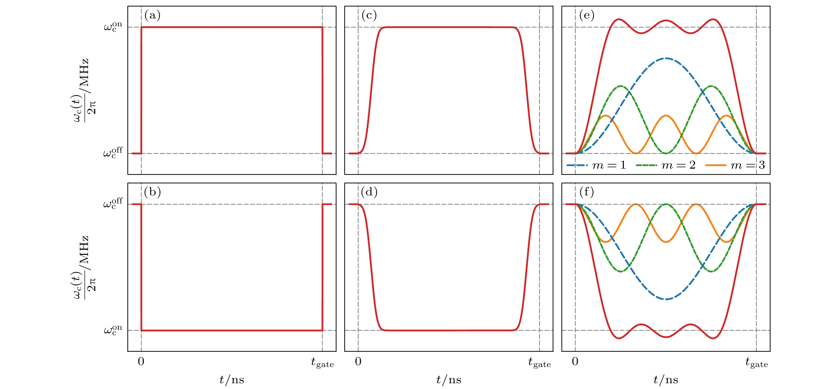
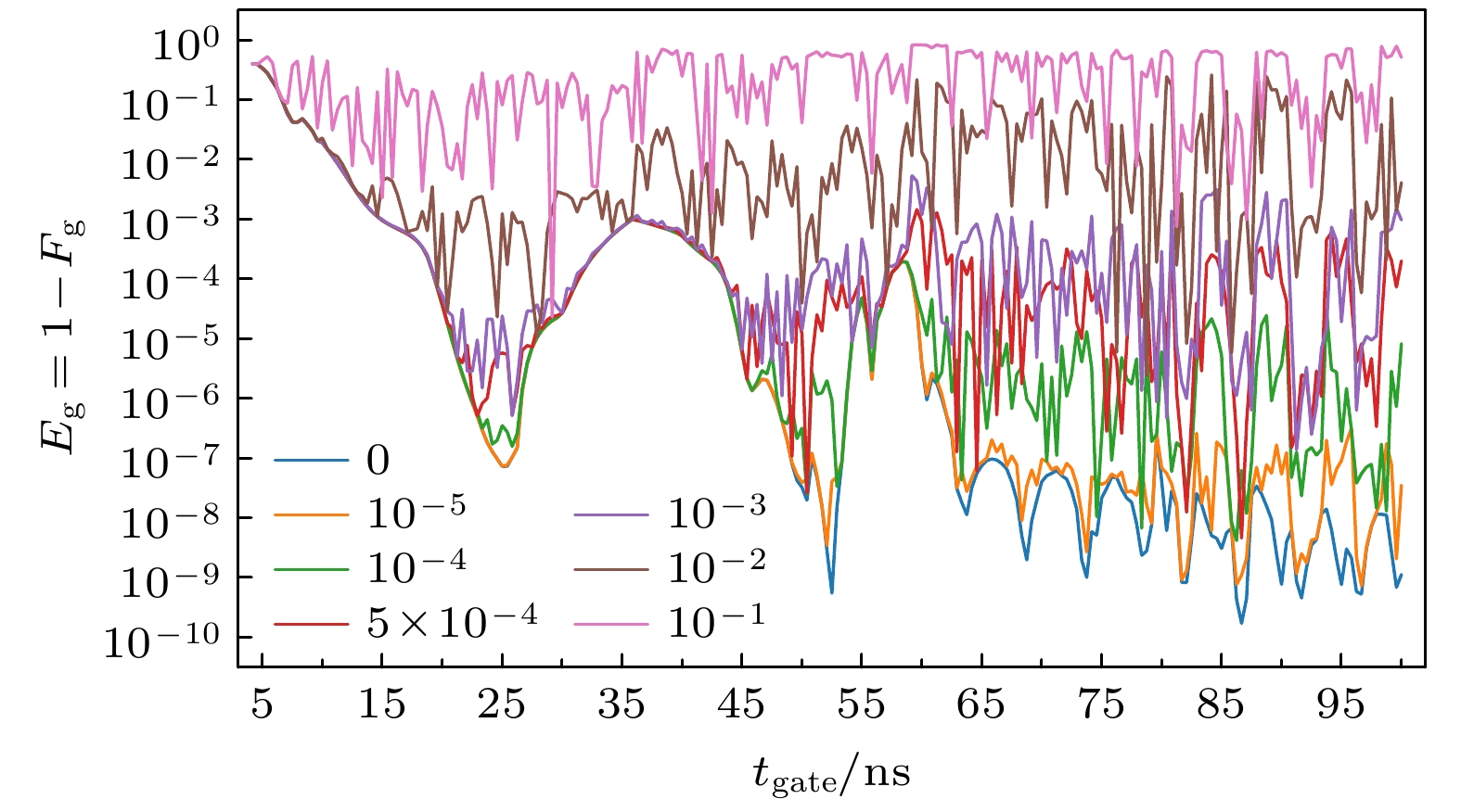
高保真度双量子比特门对实现容错量子计算至关重要, 是量子计算领域的重点研究内容之一. 量子门的保真度会受到量子芯片参数、控制波形等多种因素影响. 本文系统地研究了芯片参数、控制波形、耦合器起始频率、比特频率等对CZ门保真度的影响, 在此基础上进一步研究了门保真度对控制参数偏离的响应. 在芯片设计方案层面, 基于CBQ参数的量子芯片可以在更短的门操作时间实现更高保真度的CZ门. 控制波形方面, 三级傅里叶级数波相较方波和圆角梯形波在门错误率和门操作时间两方面均更为出色, 更能满足高效实现高保真度量子门的要求. 耦合器起始频率以及量子比特频率等因素对CZ门保真度的影响则相对较小, 在很宽的频率范围内, 总是可以通过优化控制波形参数实现高保真度的CZ门; 而轻微的控制参数偏离则会导致门错误率显著上升. 本研究对于厘清各因素对CZ门保真度的影响具有重要意义, 可为超导量子芯片设计及高保真度CZ门实验实现提供理论与技术支撑, 助力量子计算工程化发展.Efficient and high-fidelity two-qubit gates are crucial to achieving fault-tolerant quantum computing and have become one of the key research topics in the quantum computing field. The fidelity of quantum gate is affected by many factors, such as quantum chip parameters and control waveforms. In theory, the chip paramters and waveforms can be precisely designed. However, in practice, the actual chip parameters and waveforms may deviate from the theoretical values. It is necessary to systematically study the effects of chip parameters, control waveforms, and other factors on the fidelity of two-qubit gate, and determine the magnitude and direction of the each factor’s effect. Here, we systematically study the effects of chip parameters, control waveforms, coupler start frequency, qubit frequency, etc. on the fidelity of CZ gate. On this basis, the response of gate fidelity to deviations in control parameters is further studied. At the chip design level, quantum chips based on CBQ parameters can achieve higher-fidelity CZ gate in shorter gate operation time. In terms of controlling waveforms, the three-level Fourier series wave is superior to the square wave and rounded trapezoidal wave in achieving lower gate error rate and shorter gate operation time, and can better meet the requirements for efficient implementation of high-fidelity quantum gates. Factors such as the coupler starting frequency and qubit frequency have relatively little effect on the fidelity of the CZ gate. In a wide frequency range, high-fidelity CZ gate can always be achieved by optimizing the control waveform parameters. It should be pointed out that slight deviations of control parameters will lead to a significant increase in gate error. This study is of great significance for clarifying the effects of various factors on the fidelity of the CZ gate. It can provide theoretical and technical support for designing superconducting quantum chips and realizing high-fidelity CZ gate, thereby promoting the engineering development of quantum computing.
-
Keywords:
- quantum computing /
- quantum gates /
- quantum control /
- fidelity
[1] [2] [3] [4] [5] [6] [7] [8] [9] [10] [11] [12] [13] [14] [15] [16] [17] [18] [19] [20] [21] [22] [23] [24] [25] [26] [27] [28] [29] [30] [31] [32] [33] [34] [35] [36] [37] [38] [39] [40] [41] [42] [43] [44] [45] [46] -
模型参数 CAQ CBQ $ \rho_{1 {\mathrm{c}}} $ 0.0180 0.0220 $ \rho_{2 {\mathrm{c}}} $ 0.0180 –0.0220 $ \rho_{12} $ 0.0015 0.0013 $ \dfrac{\omega_{1}}{2 \pi} /{\rm{GHz}} $ 6.0 5.0 $ \dfrac{\omega_{2}}{2 \pi}/{\rm{GHz}} $ 5.4 4.8 $ \dfrac{\alpha_{1}}{2 \pi}/{\rm{MHz}} $ –250.0 –220.0 $ \dfrac{\alpha_{2}}{2 \pi}/{\rm{MHz}} $ –250.0 –220.0 $ \dfrac{\alpha_{\rm c}}{2 \pi} /{\rm{MHz}} $ –300.0 –170.0 $ \omega_{{\mathrm{c}}}^{{\rm{off}}} $/MHz Bare Dressed $ t_{{\mathrm{gate}}}/{\mathrm{ns}} $ $ \omega_{{\mathrm{c}}}^{{\rm{on}}} $/MHz $ E_{{\mathrm{g}}} $ $ t_{{\mathrm{gate}}}/{\mathrm{ns}} $ $ \omega_{{\mathrm{c}}}^{{\rm{on}}} $/MHz $ E_{{\mathrm{g}}} $ 3594 53/2.4 4514.0 7.2431×10–3 43/2.4 4615.5 5.9816×10–4 104/2.4 4582.5 9.1781×10–3 93/2.4 4623.5 1.6110×10–3 220/2.4 4144.0 5.5215×10–3 212/2.4 4159.0 2.4819×10–4 272/2.4 4327.5 5.1956×10–3 273/2.4 4326.0 8.4726×10–5 3636 54/2.4 4505.0 7.4825×10–3 43/2.4 4614.5 5.0617×10–4 114/2.4 4548.5 9.7407×10–3 93/2.4 4623.5 1.4097×10–4 220/2.4 4141.5 6.0894×10–3 212/2.4 4158.5 2.3052×10–4 272/2.4 4325.5 6.0173×10–3 273/2.4 4326.0 7.3497×10–5 3678 43/2.4 4612.5 7.3516×10–3 43/2.4 4613.5 4.4968×10–4 102/2.4 4587.5 6.6712×10–3 93/2.4 4623.5 1.2503×10–3 209/2.4 4163.0 6.3633×10–3 213/2.4 4156.5 2.1617×10–4 273/2.4 4325.5 6.2150×10–3 273/2.4 4326.0 8.0159×10–5 3800 41/2.4 4624.0 8.2440×10–3 43/2.4 4610.5 4.9159×10–4 101/2.4 4590.0 8.6945×10–3 93/2.4 4622.0 1.0150×10–3 209/2.4 4154.0 7.6224×10–3 213/2.4 4155.5 1.7852×10–4 271/2.4 4323.5 7.8218×10–3 273/2.4 4325.5 1.0117×10–5 4000 40/2.4 4610.0 1.0993×10–2 53/2.4 4508.0 5.3763×10–4 100/2.4 4584.5 6.1489×10–3 105/2.4 4576.0 9.3363×10–4 208/2.4 4148.0 1.1798×10–2 218/2.4 4144.5 2.4616×10–5 273/2.4 4318.0 1.1304×10–2 274/2.4 4322.5 3.1172×10–4 -
[1] [2] [3] [4] [5] [6] [7] [8] [9] [10] [11] [12] [13] [14] [15] [16] [17] [18] [19] [20] [21] [22] [23] [24] [25] [26] [27] [28] [29] [30] [31] [32] [33] [34] [35] [36] [37] [38] [39] [40] [41] [42] [43] [44] [45] [46]
计量
- 文章访问数: 1846
- PDF下载量: 25
- 被引次数: 0








下载: