搜索

x
中国物理学会期刊

磁场对超热电子产生Kα辐射对比度的影响

CSTR:32037.14.aps.74.20250144

Effect of magnetic field on contrast of Kα emission generated by hot electrons

CSTR:32037.14.aps.74.20250144
PDF
HTML
导出引用
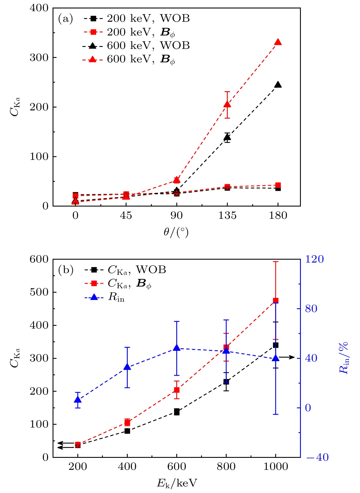
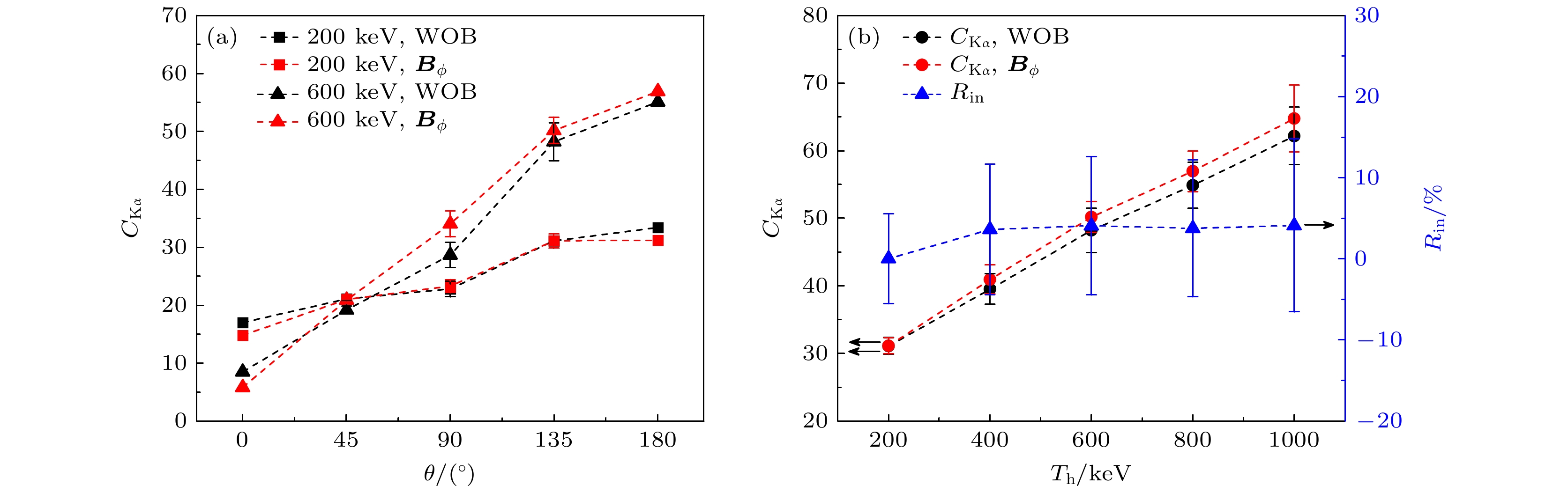
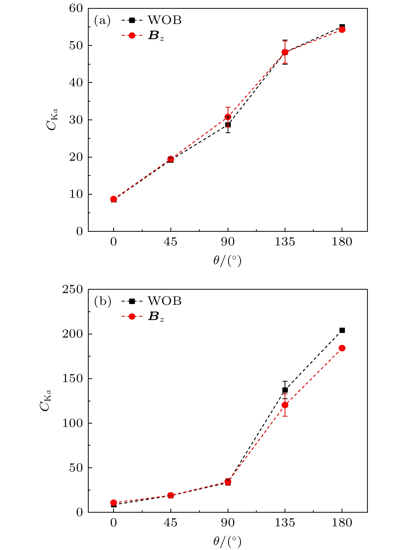
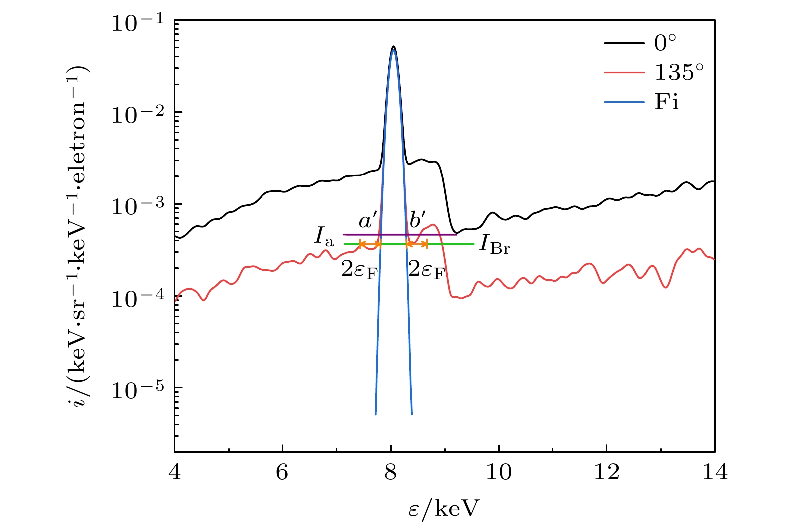
  • 超强激光与物质相互作用产生的超热电子在物质中输运产生Kα特征线辐射和轫致辐射. Kα辐射的对比度, 即Kα特征线谱与其附近轫致辐射连续谱的强度比, 依赖于轫致辐射的方向性, 与超热电子的能量和传输相关. 本文采用蒙特卡罗模拟研究了对超热电子束有准直作用的轴向匀强磁场和高斯分布环形磁场提高铜Kα辐射对比度的可能性. 模拟和分析表明, 轴向匀强磁场无法增强轫致辐射的方向性, 不能有效提高Kα辐射的对比度. 对于高斯分布环形磁场, 当入射电子能谱具有玻尔兹曼分布时, 由于含有大量低能电子且它们的轫致辐射方向性较差, Kα辐射对比度的增幅不大; 而截掉低能部分的玻尔兹曼能谱电子束或能量较高的单能电子束入射时, 高斯分布环形磁场能大幅提高沿入射电子束后向的Kα辐射对比度. 对于能量为200—1000 keV范围的超热电子, 峰值为100 T左右的环形磁场有利于提高Kα辐射的对比度.

    The interaction of a high-intensity laser with a solid target generates a large number of hot electrons. When these hot electrons are transported in the target material, X-rays, including Kα line and bremsstrahlung emissions are produced. The contrast of Kα line emission, i.e. the intensity of Kα line relative to the intensity of bremsstrahlung continua around the Kα line, depends on the anisotropy of the bremsstrahlung emission and is related to the energy and transportation of the hot electrons. In the past, some researchers used axial or annular magnetic fields to collimate hot electrons, but whether these magnetic fields can enhance the contrast of Kα emission has not been studied. In the present work, the effect of an axially uniform magnetic field or an annular magnetic field with a Gaussian distribution on the contrast of Cu Kα emission is investigated by Monte Carlo simulations. The simulation results and analysis show that the axially uniform magnetic field cannot strengthen the anisotropy of bremsstrahlung emission, so it cannot enhance the contrast of Kα emission efficiently. For the annular magnetic field with a Gaussian distribution, when an electron beam with a Boltzmann energy distribution is incident, due to the weak anisotropy of bremsstrahlung emission by low-energy electrons in the electron beam, the increase of Kα emission contrast is small. When an electron beam with a Boltzmann energy distribution, in which the low-energy part is cut off, or a mono-energetic electron beam is incident, the annular magnetic field with a Gaussian distribution significantly enhances the contrast of Kα emission in the back direction of the electron beam incidence. For an incident electron beam with an energy value in a range of 200–1000 keV, an annular magnetic field with a Gaussian distribution and a peak value of approximately 100 T is optimal for enhancing the contrast of Kα emission. Considering the existing experiments on generating annular magnetic fields and non-Boltzmann energy distribution hot electrons, it is possible to generate higher contrast Kα emissions with the enhancement of magnetic field in future experiments.

    目录

    返回文章
    返回