搜索

x
中国物理学会期刊

利用频域理论研究束缚电子在强激光场中的单光子康普顿散射过程

CSTR:32037.14.aps.74.20250483

Study of single-photon Compton scattering process of bound electrons in intense laser fields by using frequency-domain theory

CSTR:32037.14.aps.74.20250483
PDF
HTML
导出引用
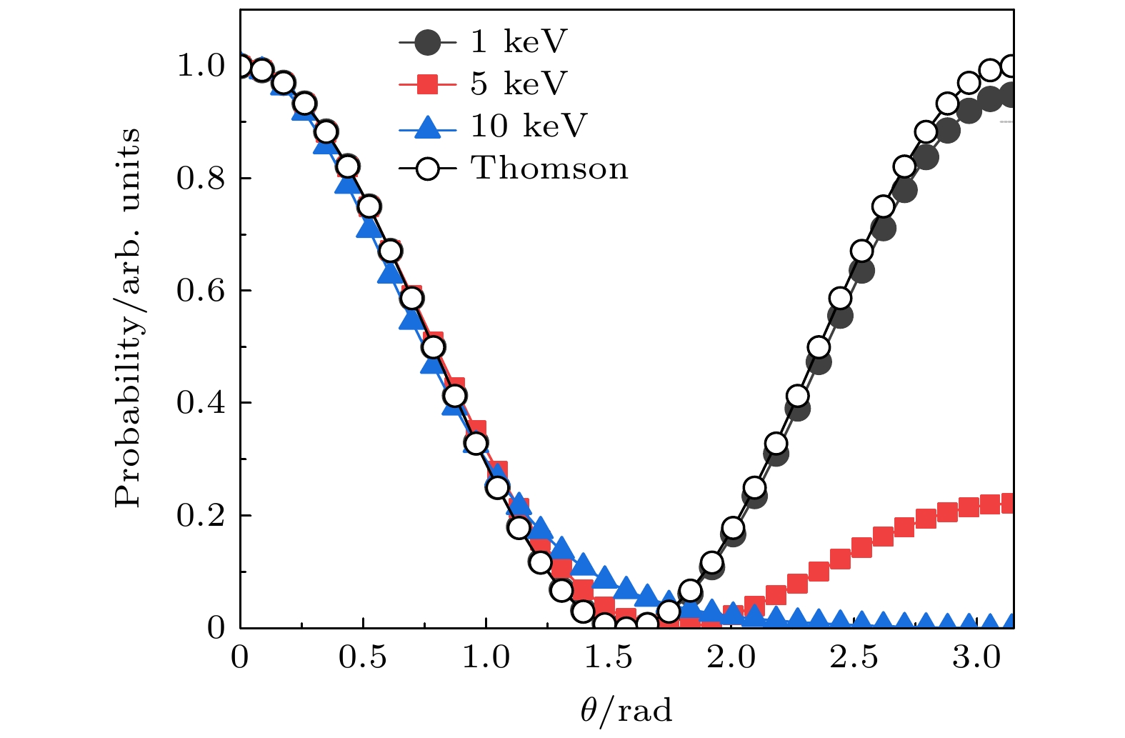
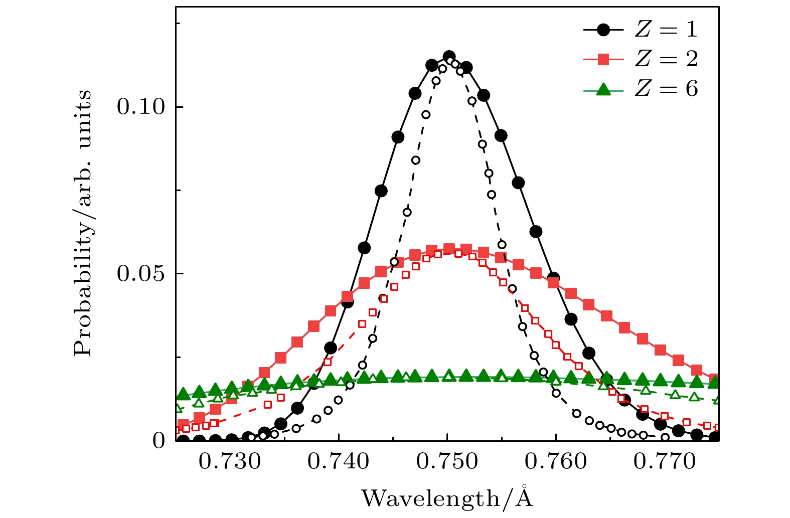
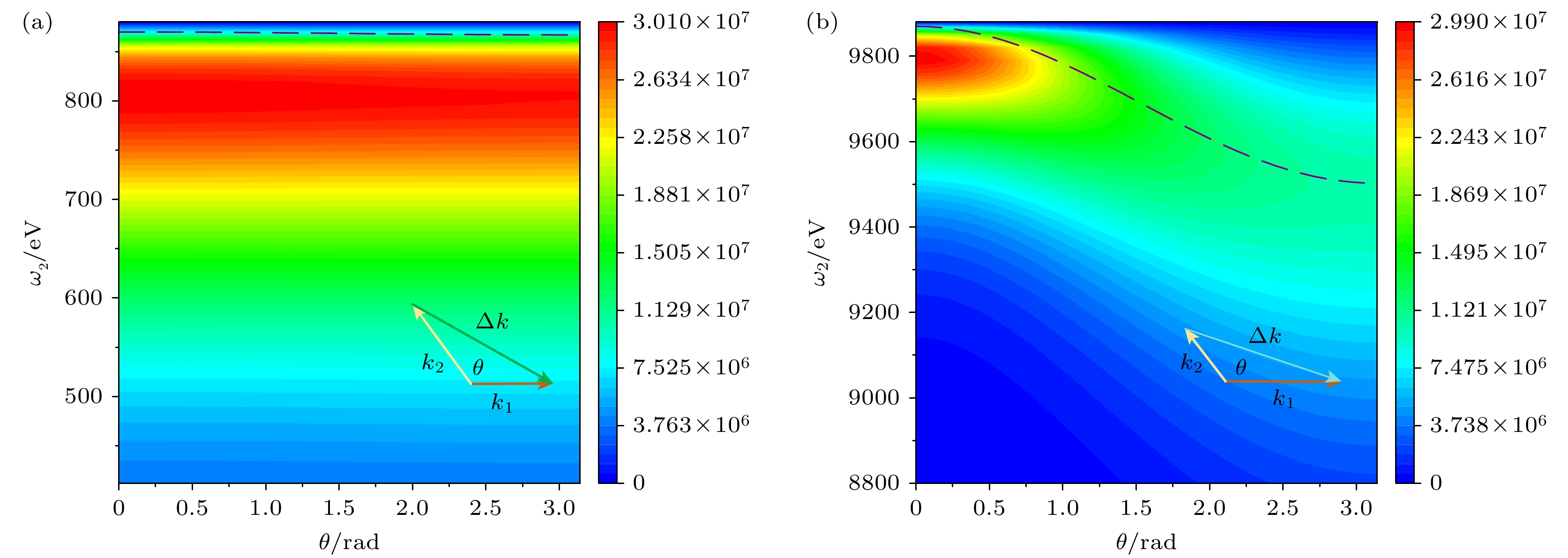
  • 康普顿散射是指强激光场与物质中电子相互作用导致光子发射的非弹性散射过程. 近年来, 随着X射线自由电子激光器迅速发展, X射线激光的强度逐渐增大, X射线单光子康普顿散射过程的信号逐渐增强. 本文基于非微扰量子电动力学的频域理论研究强X射线激光场下束缚电子的单光子康普顿散射过程. 发现随着入射光子能量的增大, 在背向散射时康普顿散射双重微分概率会逐渐降低. 本工作为高频强激光场中康普顿散射与原子电离之间建立了联系, 为探索高激光强度下的原子结构动力学提供了一个研究平台.

    Compton scattering is defined as an inelastic scattering process in which the interaction between strong laser fields and electrons in matter leads to photon emission. In recent years, with the rapid development of X-ray free-electron lasers, the intensity of X-ray lasers has steadily increased, and the photon energy in Compton scattering process has risen correspondingly. Previous studies focus on single-photon Compton scattering of free electrons. However, the mechanism of non-relativistic X-ray photon scattering by bound electrons remains to be elucidated. Therefore, we develop a frequency-domain theory based on non-perturbative quantum electrodynamics to investigate single-photon Compton scattering of bound electrons in strong X-ray laser fields. Our results show that the double-differential probability of Compton backscattering decreases with the increase of incident photon energy. This work establishes a relationship between Compton scattering and atomic ionization in high-frequency intense laser fields, thereby providing a platform for studying atomic structure dynamics under high-intensity laser conditions.

    目录

    返回文章
    返回