搜索

x

留言板

姓名
邮箱
手机号码
标题
留言内容
验证码

引用本文:
Citation:

崔馨雨, 单俊杰, 孙肖瑜, 潘晨, 孙佳萌, 于文韬, 梁世军, 缪峰
cstr: 32037.14.aps.74.20250648

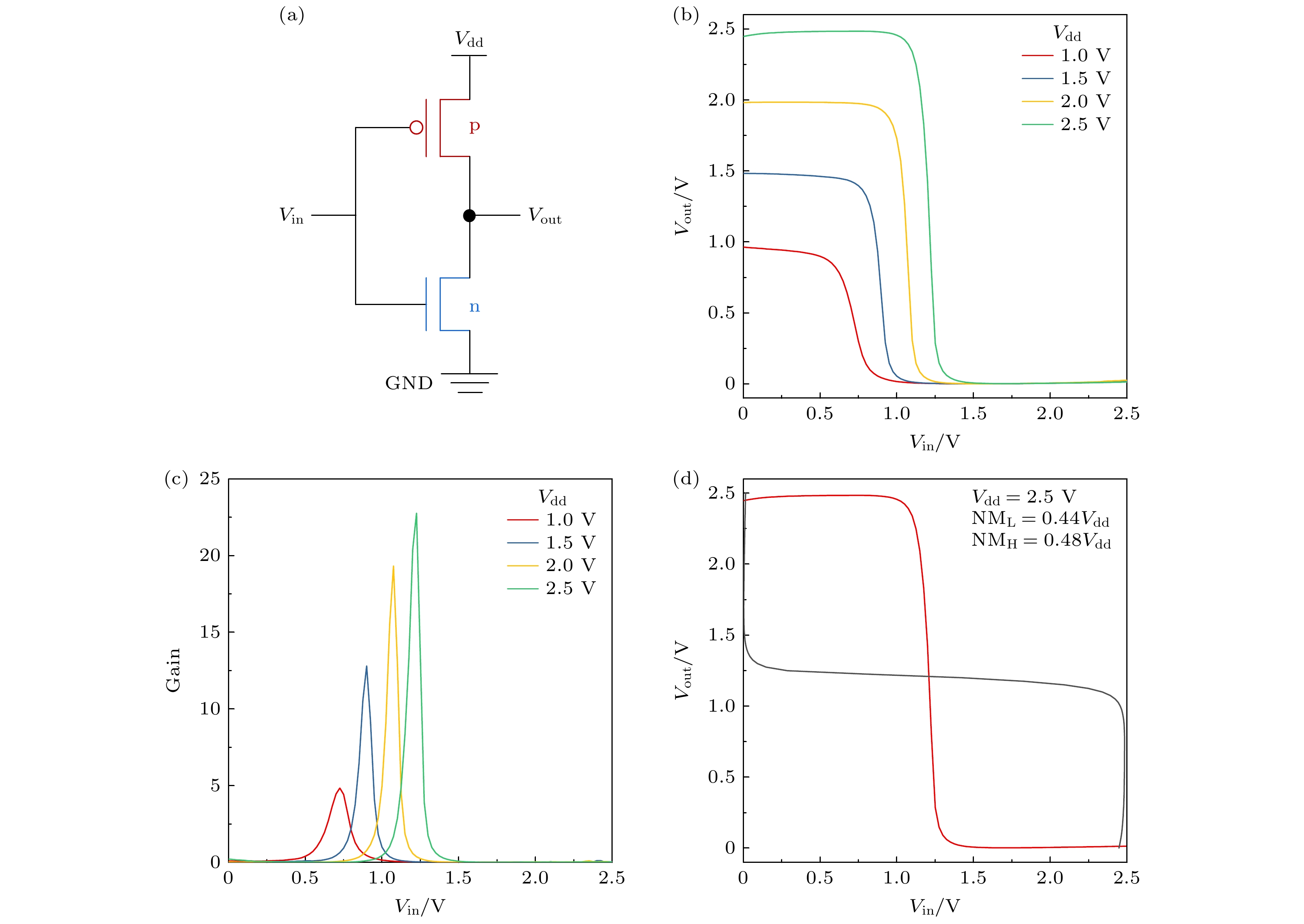
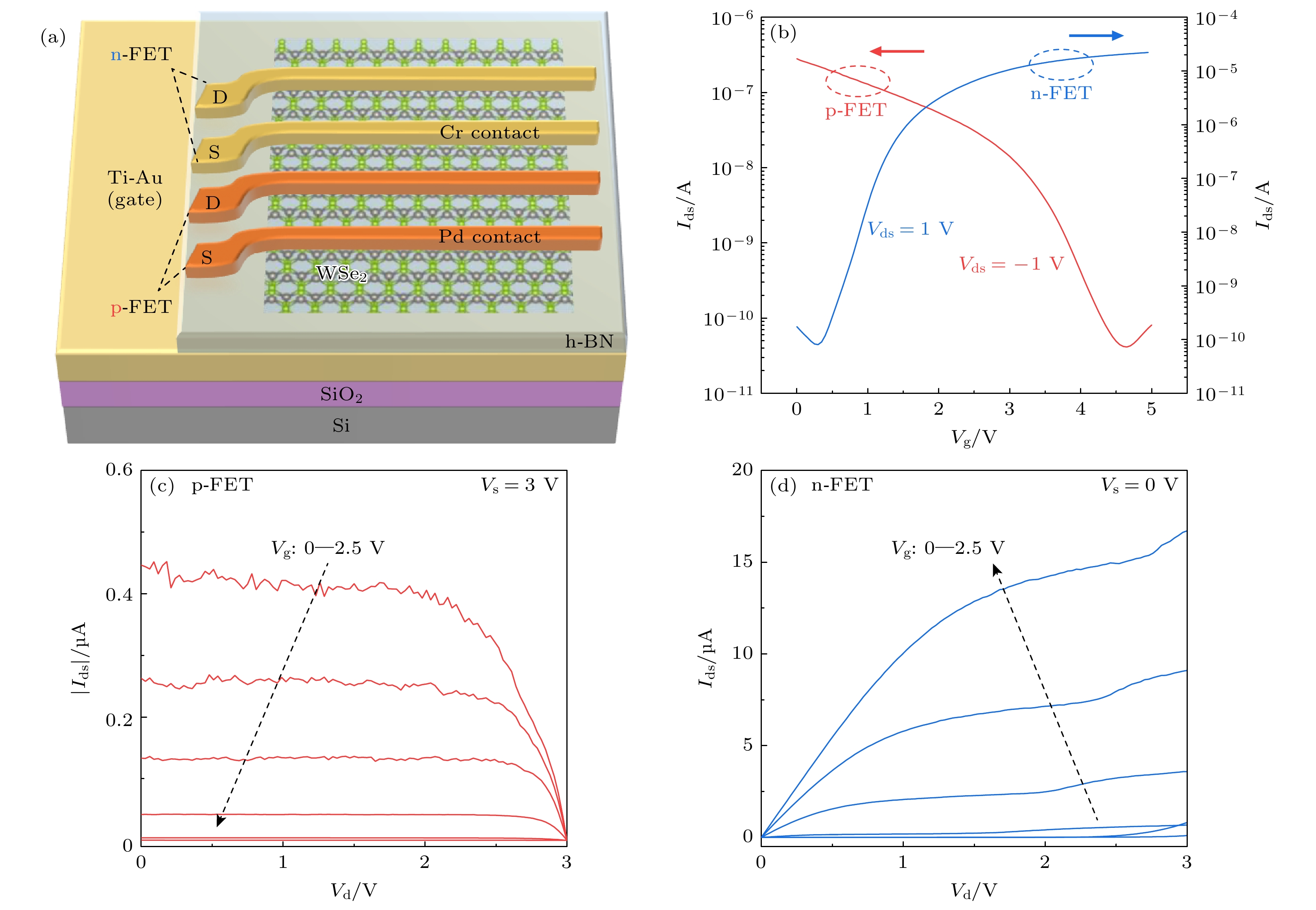
One-step-annealing-process constructed WSe2 complementary transistors

CUI Xinyu, SHAN Junjie, SUN Xiaoyu, PAN Chen, SUN Jiameng, YU Wentao, LIANG Shijun, MIAO Feng
cstr: 32037.14.aps.74.20250648
Article Text (iFLYTEK Translation)
PDF
HTML
导出引用
在线预览
计量
  • 文章访问数:  2890
  • PDF下载量:  148
  • 被引次数: 0
出版历程
  • 收稿日期:  2025-05-18
  • 修回日期:  2025-06-05
  • 上网日期:  2025-06-18
  • 刊出日期:  2025-09-05

返回文章
返回