搜索

x
中国物理学会期刊

WSi2的W-L3边高分辨共振非弹性X射线散射研究

CSTR:32037.14.aps.74.20250659

High-resolution resonant inelastic X-ray scattering study of W-L3 edge in WSi2

CSTR:32037.14.aps.74.20250659
PDF
HTML
导出引用
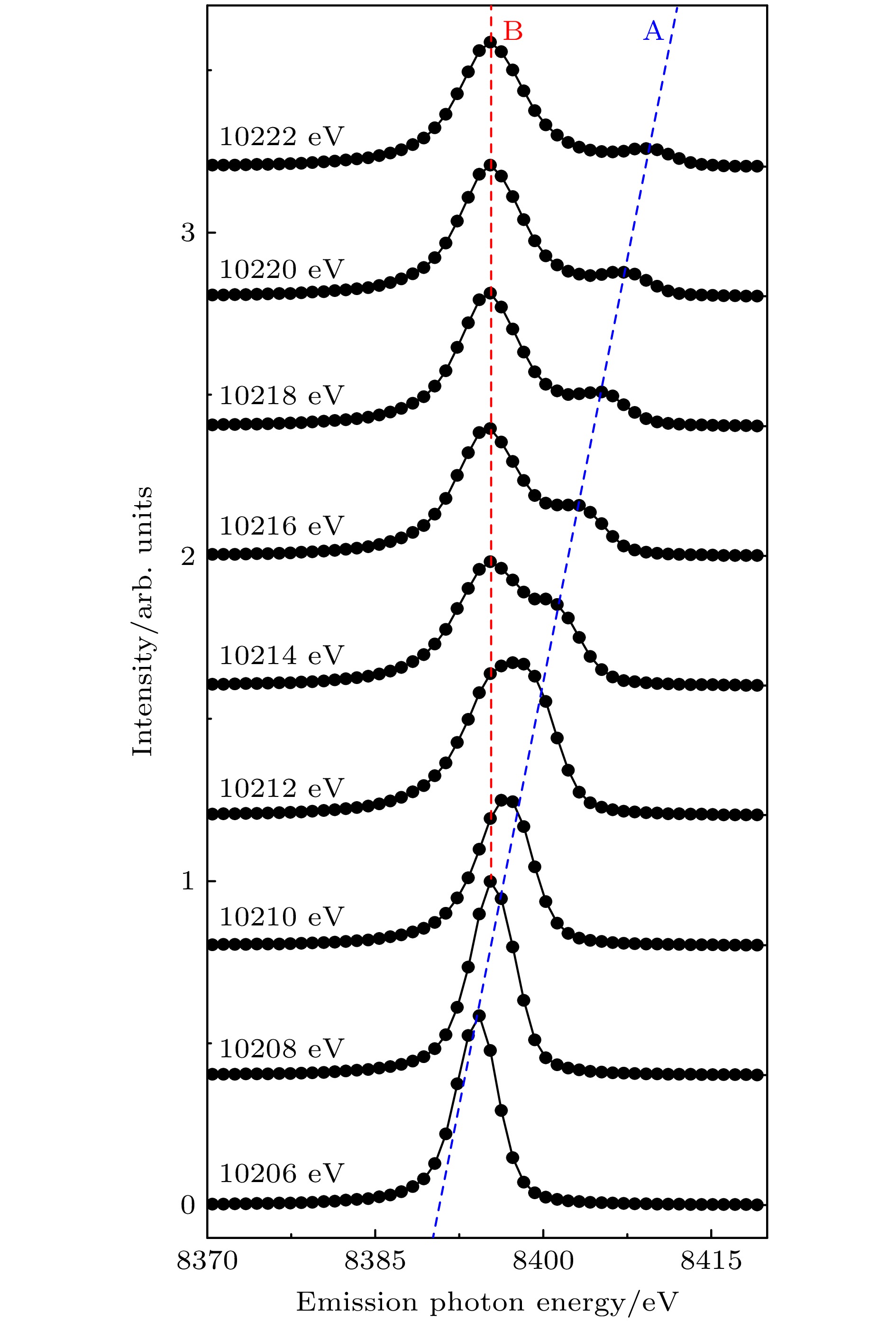
  • 随着X射线光源的进步和量子光学的发展, 形成了X射线量子光学这一前沿分支学科. 原子内壳层跃迁是重要的X射线量子光学体系, 它具有跃迁种类丰富和表征手段多样、覆盖波段范围宽等优势. 但内壳层空穴的自然线宽较宽且受局域电子结构影响, 使得实验上缺乏纯粹的二能级跃迁, 成了制约X射线量子光学发展的瓶颈之一. 本文利用共振非弹性X射线散射技术, 在实验上分离了WSi2 中W-L3边的白线, 从而为基于原子内壳层跃迁的X射线量子光学体系提供了二能级方案, 也为这一领域的发展提供了强有力的实验技术支持.

    With the advancement of synchrotron and free-electron laser, X-ray quantum optics has emerged as a novel frontier for exploring light-matter interactions at high photon energies. A significant challenge in this field is achieving well-defined two-level systems through atomic inner-shell transitions, which are often hindered by broad natural linewidths and local electronic structure effects. This study aims to explore the potential of tungsten disilicide (WSi2) as a two-level system for X-ray quantum optics applications. Utilizing high-resolution resonant inelastic X-ray scattering (RIXS) near the W-L3 edge, in this work, the white line of bulk WSi2 is experimentally distinguished, overcoming the spectral broadening caused by short core-hole lifetime. The measurements are conducted by using a von Hamos spectrometer at the GALAXIES beamline of the SOLEIL synchrotron. The results reveal a single resonant emission feature with a fixed energy transfer, confirming the presence of a discrete 2p-5d transition characteristic of a two-level system. Additional high-resolution XAS spectra, obtained via high energy resolution fluorescence detection method and reconstructed from off-resonant emission (free from self-absorption effect for bulk WSi2 sample) method, further support the identification of a sharp white line. These findings demonstrate the feasibility of using WSi2 as a model system in X-ray cavity quantum optics and establish RIXS as a powerful technique to resolve fine inner-shell structures.

    目录

    返回文章
    返回