搜索

x
中国物理学会期刊

基于机器学习势的NbTaTiZr多主元合金压缩力学性质

CSTR:32037.14.aps.74.20250738

Deformation mechanisms and compressive response of NbTaTiZr alloy via machine learning potentials

CSTR:32037.14.aps.74.20250738
PDF
HTML
导出引用
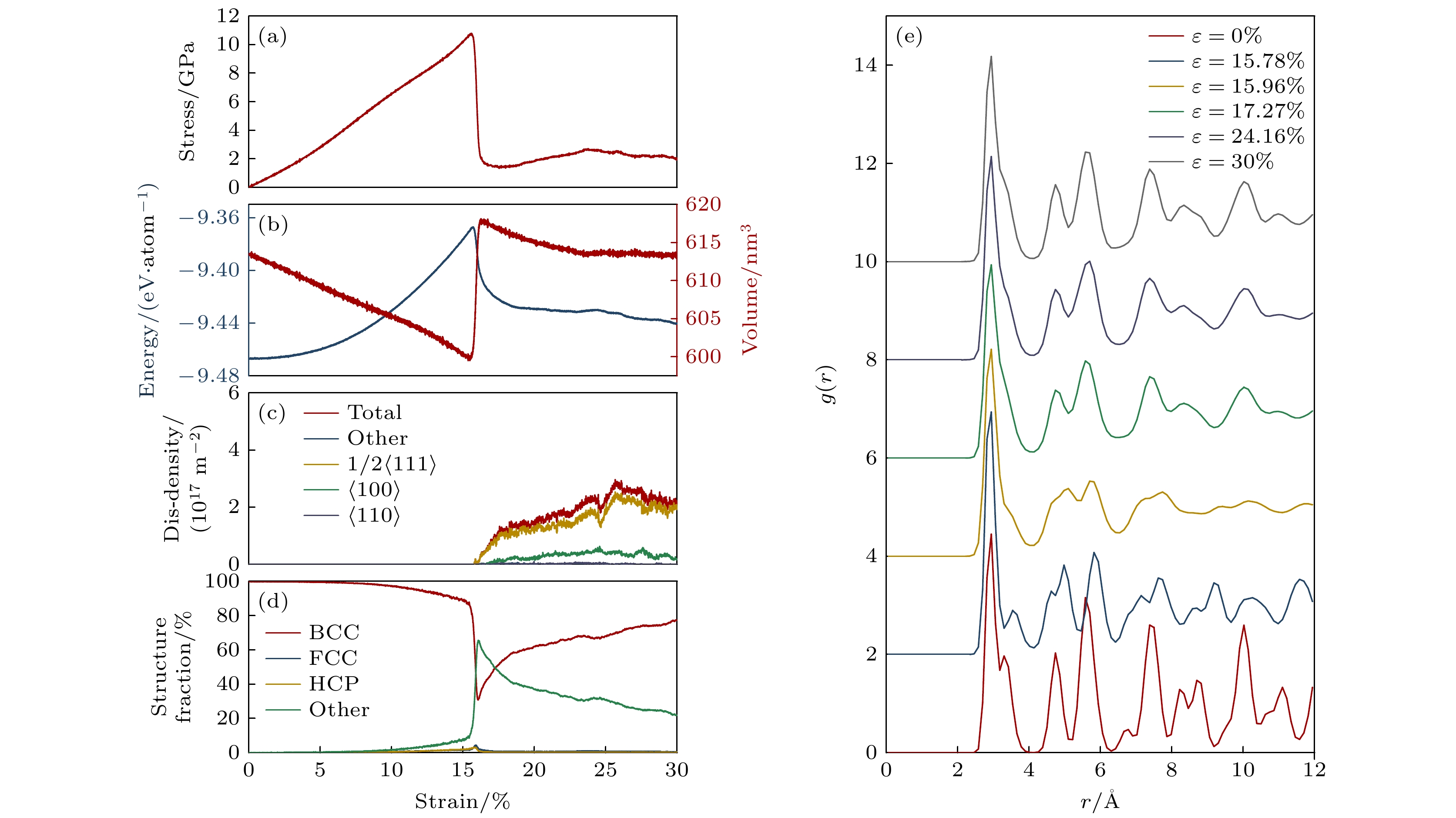
  • 难熔多主元合金因其优异的高温性能和潜在工程应用成为材料领域研究热点, 其中NbTaTiZr四元多主元合金在高应变率与极端温度下的变形机制与力学行为尚不明确. 为揭示该合金的原子尺度响应规律, 构建了NbTaTiZr四元机器学习势, 结合分子动力学模拟系统研究了晶体取向、应变率、温度及组分对合金压缩力学行为的影响. NbTaTiZr在压缩时呈现出结构与力学响应的各向异性, 沿111晶向压缩时拥有最高屈服强度; 而沿110晶向压缩时的屈服强度最低, 在变形过程中更易产生孪晶; 100晶向主要通过局域无序及位错滑移协调变形, 主导位错类型为1/2 \left\langle111\right\rangle . 应变率提升至1010 s–1时, 屈服强度显著增强且无序结构比例增大, 高应变率加载下通过抑制位错运动促进无序化转变. 该合金在2100 K高温下仍保持较高强度, Nb/Ta元素占比增加可显著提升屈服强度, 而Ti/Zr元素则产生负面效应. 研究揭示了多主元合金力学行为的各向异性特征与无序化转变的应变率依赖性, 为设计高性能难熔合金提供理论依据.

    Refractory multi-principal element alloys (RMPEAs)have become a hotspot in materials science research in recent years due to their excellent high-temperature mechanical properties and broad application prospects. However, the unique deformation mechanisms and mechanical behaviors of the NbTaTiZr quaternary RMPEA under extreme conditions such as high temperature and high strain rate are still unclear, limiting its further design and engineering applications. In order to reveal in depth the dynamic response of this alloy on an atomic scale, this study develops a high-accuracy machine learning potential (MLP) for the NbTaTiZr quaternary alloy and combines it with large-scale molecular dynamics (MD) simulations to systematically investigate the effects of crystallographic orientation, strain rate, temperature, and chemical composition on the mechanical properties and microstructural evolution mechanisms of the alloy under compressive loading. The results show that the NbTaTiZr alloy exhibits significant mechanical and structural anisotropy during uniaxial compression. The alloy exhibits the highest yield strength when loaded along the 111 crystallographic direction, while it shows the lowest yield strength when compressed along the 110 direction, where twinning is more likely to occur. Under compression along the 100 direction, the primary deformation mechanisms include local disordering transitions and dislocation slip, with 1/2 \left\langle111\right\rangle dislocations being the dominant type. When the strain rate increases to 1010 s–1, the yield strength of the alloy is significantly enhanced, accompanied by a notable increase in the proportion of amorphous or disordered structures, indicating that high strain rate loading suppresses dislocation nucleation and motion while promoting disordering transitions. Simulations at varying temperatures indicate that the alloy maintains a high strength level even at temperatures as high as 2100 K. Compositional analysis further indicates that increasing the atomic percentage of Nb or Ta effectively enhances the yield strength of the alloy, whereas an increase in Ti or Zr content adversely affects the strength. By combining MLP with MD methods, this study elucidates the anisotropic characteristics of the mechanical behavior and the strain rate dependence of disordering transitions in the NbTaTiZr RMPEA under combination of high strain rate and high temperature, providing an important theoretical basis and simulation foundation for optimizing and designing novel material under extreme environments.

    目录

    返回文章
    返回