搜索

x
中国物理学会期刊

过渡金属硫族化合物\mathrmA_1' 模所有Davydov组分的室温拉曼检测

CSTR:32037.14.aps.74.20250960

Room-temperature Raman detection of all Davydov components of \mathrmA_1' mode in transition metal dichalcogenides

CSTR:32037.14.aps.74.20250960
PDF
HTML
导出引用
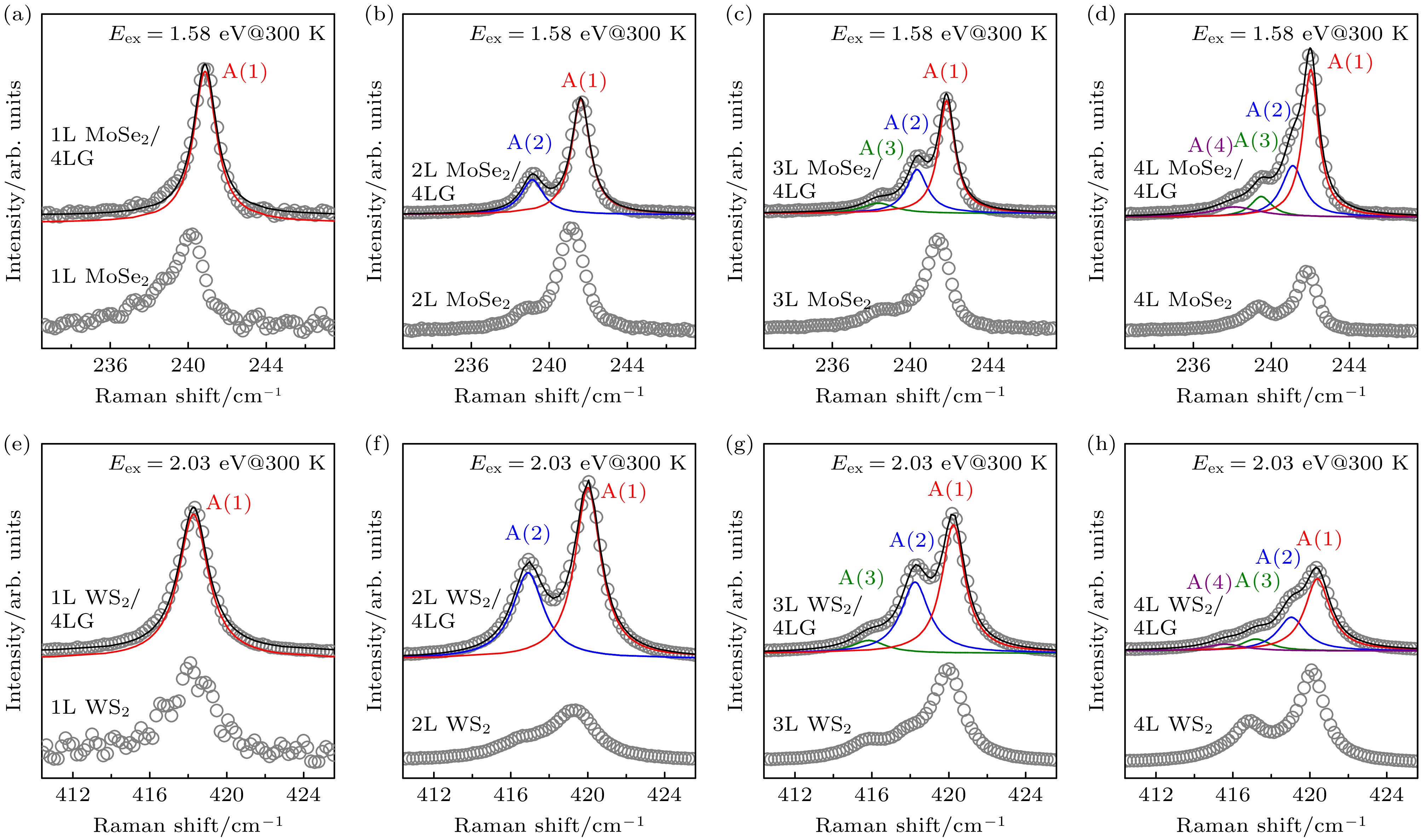
  • 二维过渡金属硫族化合物(TMDs)中层内振动模的Davydov组分与其层间耦合密切相关. 尽管带边共振拉曼光谱能极大地增强TMDs拉曼峰的强度, 但Davydov组分的拉曼峰极易被带边光致发光信号所压制, 因此所有组分的拉曼峰在室温下难以同时被实验观测. 本文通过构建少层TMDs与石墨烯薄片的范德瓦耳斯异质结, 利用超低波数拉曼光谱证实了其良好的界面耦合质量并精准测定了其中TMDs和石墨烯薄片成分的层数. 利用带边共振拉曼光谱技术, 同时观测到了异质结中MoS2, MoSe2和WS2成分A模各Davydov组分的拉曼峰. 研究表明, 上述现象起源于三种机制的共同作用: 1)二维过渡金属硫族化合物成分的对称性降低, 可以激活A模Davydov劈裂红外禁戒模; 2)界面电荷转移可有效抑制荧光背景; 3)异质结中光激发载流子的非辐射弛豫有效抑制了TMDs成分的能带填充效应. 进一步研究发现, 界面耦合对异质结中TMDs成分层内振动模的微扰导致其A模频率整体蓝移. 本研究为二维材料范德瓦耳斯异质结的界面耦合与声子调控提供了研究范例, 并揭示了异质结成分层数、对称性破缺及界面耦合对异质结成分声子行为的协同调控机制.

    A comprehensive van der Waals heterostructure strategy has been implemented to be able to observe all Davydov components of the A-mode in few-layer transition-metal dichalcogenides (TMDs) at room temperature. In few-layer 2H-TMDs such as MoS2, MoSe2, and WS2, the A-mode phonon splits into N Davydov components that directly reflect the interlayer coupling strength and layer number. Under the resonance conditions near the band edge, however, strong photoluminescence (PL) and band filling effects severely obscure these Raman signals, particularly for infrared-active modes, rendering the observation of all the Davydov components at ambient temperature infeasible. In this work, few-layer (1–4 layers) TMD flakes are mechanically exfoliated and dry-transferred onto four-layer graphene, followed by high-vacuum annealing to improve the interfacial coupling quality. Ultralow-frequency Raman spectra of interlayer shear and breathing modes provide an unambiguous fingerprint for determining the layer numbers of both TMDs and graphene constituents, while differential reflectance spectra precisely determine the resonance energies of excitons.
    Under resonance excitation with the A-exciton, the heterostructures exhibit a marked enhancement of A-mode Raman intensity accompanied by strong PL quenching. Raman peaks associated with all the Davydov components are simultaneously resolved for MoS2, MoSe2, and WS2 at room temperature. The activation of all the Davydov components arises from three synergistic mechanisms: 1) symmetry breaking at the TMDs/graphene interface, which renders the forbidden components Raman-allowed; 2) interfacial charge transfer, which suppresses the PL background by depleting photoexcited carriers entering into graphene; and 3) efficient nonradiative relaxation pathways provided by graphene, which mitigates the band filling effect and restore resonant Raman scattering. Furthermore, the highest-frequency Davydov component A(1) exhibits an overall blue shift in the heterostructure relative to the intrinsic TMDs, with the magnitude of the shift decreasing as the layer number increases. This behavior can be explained by a diatomic linear-chain model in which interfacial van der Waals coupling enhances the force constants of intralayer vibrations.
    This work thus establishes a general platform for Raman analysis of all the Davydov components of the A mode in two-dimensional (2D) TMDs at room temperature and elucidates how interface coupling, layer number, and symmetry breaking jointly govern phonon behavior. The approach offers valuable insights into phonon engineering and interface design in 2D heterostructures and may readily be extended to relevant systems such as WSe2 and ReS2.

    目录

    返回文章
    返回