搜索

x
中国物理学会期刊

人工巨原子三腔耦合系统的光子阻塞效应

CSTR:32037.14.aps.74.20251000

Photon blockade effect in giant atom-coupled triple-cavity system

CSTR:32037.14.aps.74.20251000
PDF
HTML
导出引用
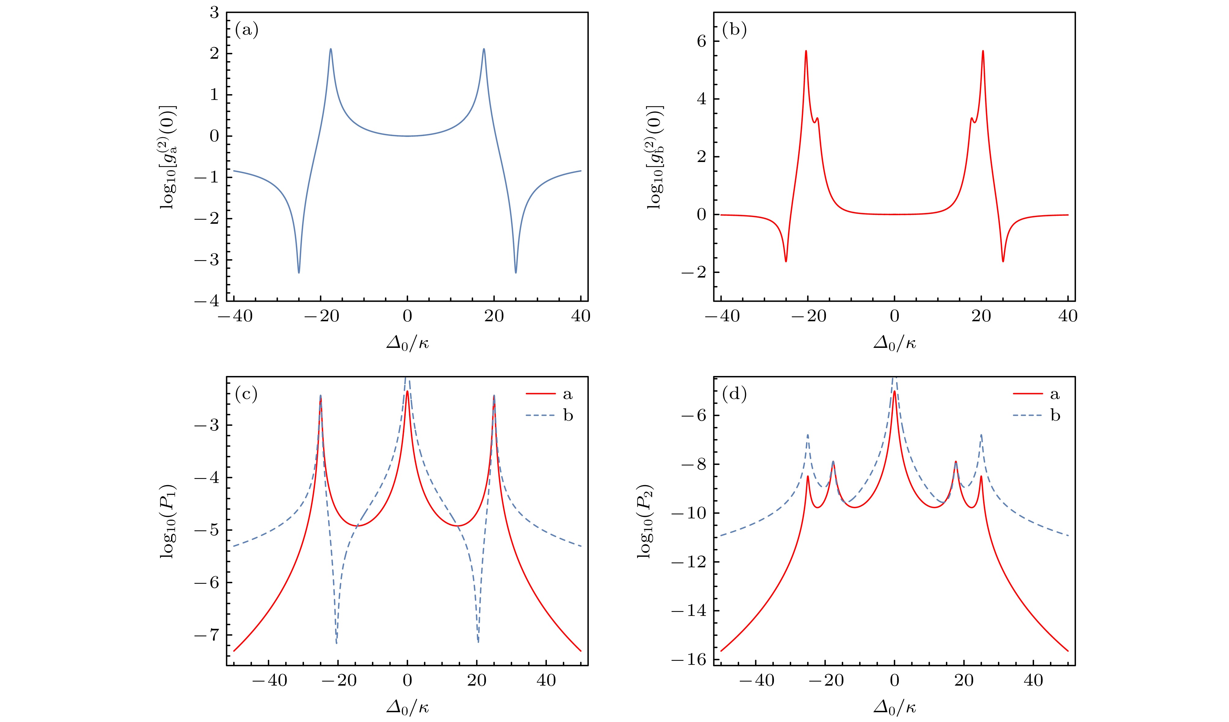
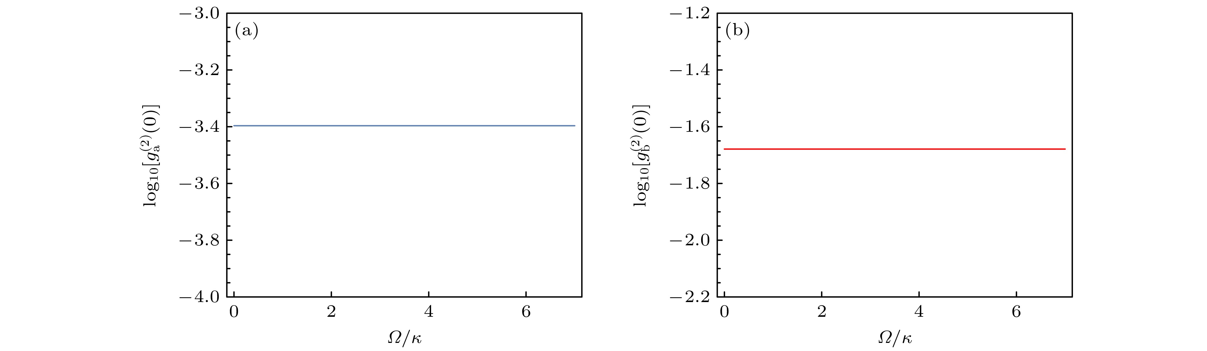
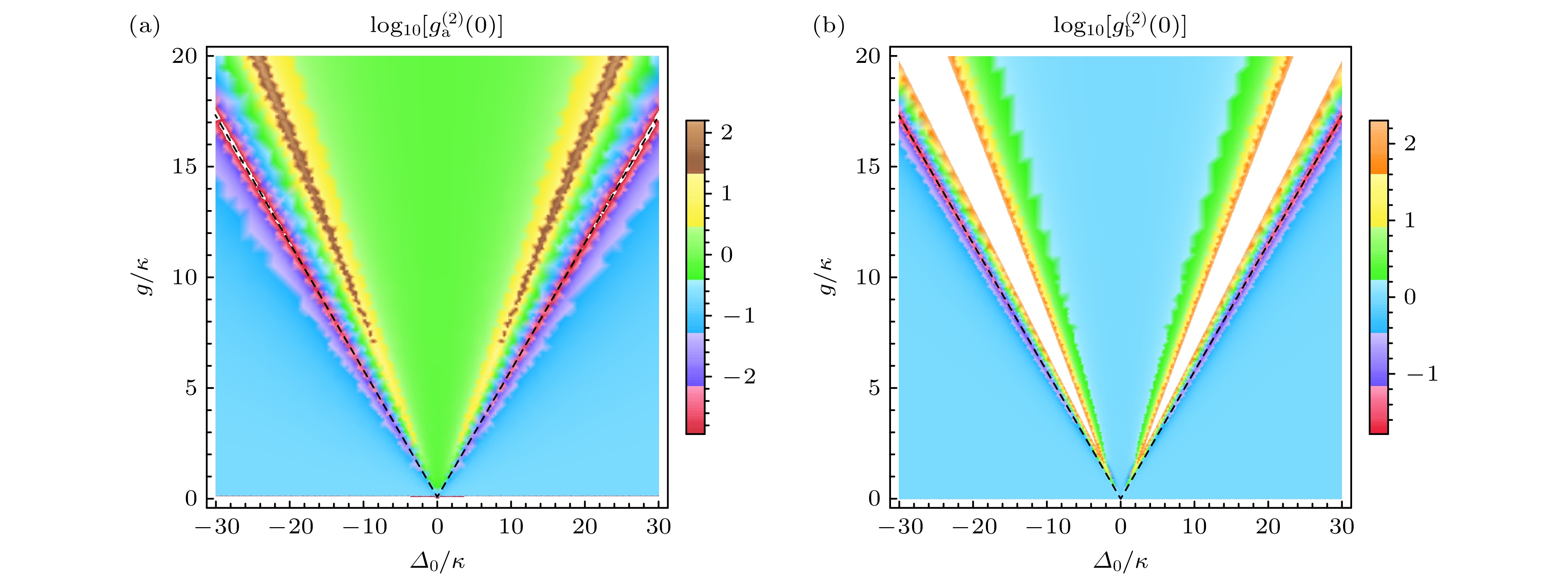
  • 研究了人工巨原子与三个微腔耦合系统中的光子阻塞效应. 首先讨论了弱驱动腔模的情况, 分析了单光子和双光子激发时系统的能级结构和跃迁路径, 研究了系统中光子的统计特性. 其次, 考虑同时驱动人工巨原子和腔模, 探讨了利用量子干涉效应进一步增强光子阻塞. 研究结果表明, 系统的两个腔中出现了对弱驱动具有鲁棒性的光子阻塞效应, 等时二阶关联函数的值为g^(2)(0)\approx 10^-3.4 . 另外, 在同时驱动人工巨原子和腔模的情况下, 本研究实现了最佳光子阻塞, 等时二阶关联函数可以达到g^(2)(0)\approx 10^-6.5 . 该研究结果可为单光子源的实验实现提供新的可行方案.

    The photon blockade effects in a system consisting of an artificial giant atom coupled with three cavities are investigated. By solving the Schrödinger equation, we obtain the steady-state probability amplitudes of the system and derive the analytical expressions for the equal-time second-order correlation function. Based on these analytical expressions, the optimal conditions for achieving the photon blockade under different driving conditions are derived in detail.
    We first examine the energy spectra and transition pathways for the single-photon and two-photon excitations in weakly driven cavity mode, and then investigate the statistical properties of photons. It is demonstrated that the optimal conventional photon blockade can be achieved by selecting appropriate driving detuning as characterized by the equal-time second-order correlation function of g^\left(2\right)\left(0\right)\approx10^-3.4 . Remarkably, we observe that both cavities of the system exhibit robust photon blockade effects against the weak driving. It is also found that with the increase of the coupling strength between the artificial giant atom and cavities, the photon blockade phenomenon becomes more pronounced while maintaining its robustness to the weak driving. Furthermore, we consider the case of simultaneously driving both the artificial giant atom and cavity modes. The unique multi-point coupling characteristics of the artificial giant atom provide additional transition pathways for photons, thereby allowing us to use the resulting quantum interference to further enhance photon blockade. When the system satisfies the optimal parametric conditions for both the conventional and unconventional photon blockade effects, one cavity exhibits exceptional photon blockade with g^\left(2\right)\left(0\right)\approx10^-6.5 .
    This research greatly relaxes the stringent parameter requirements for the experimental realization of single-photon sources and provides a theoretical support for improving their quality, which is crucial for achieving high-performance single-photon sources.

    目录

    返回文章
    返回