-
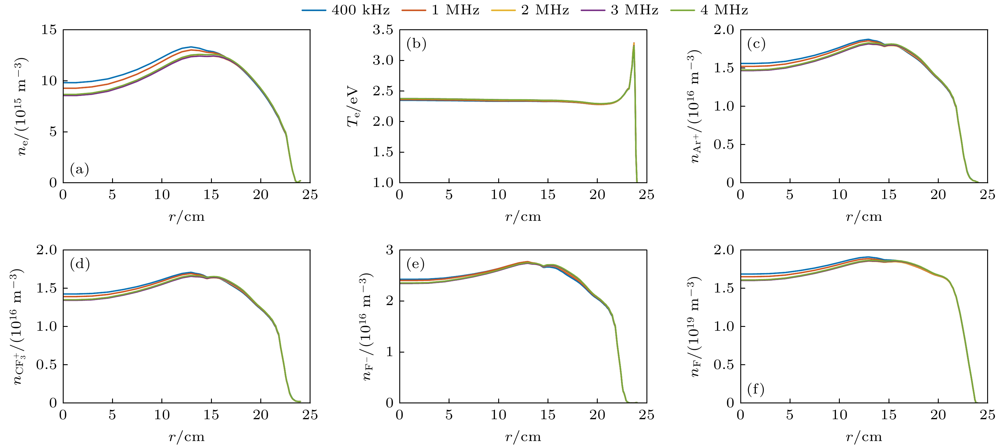
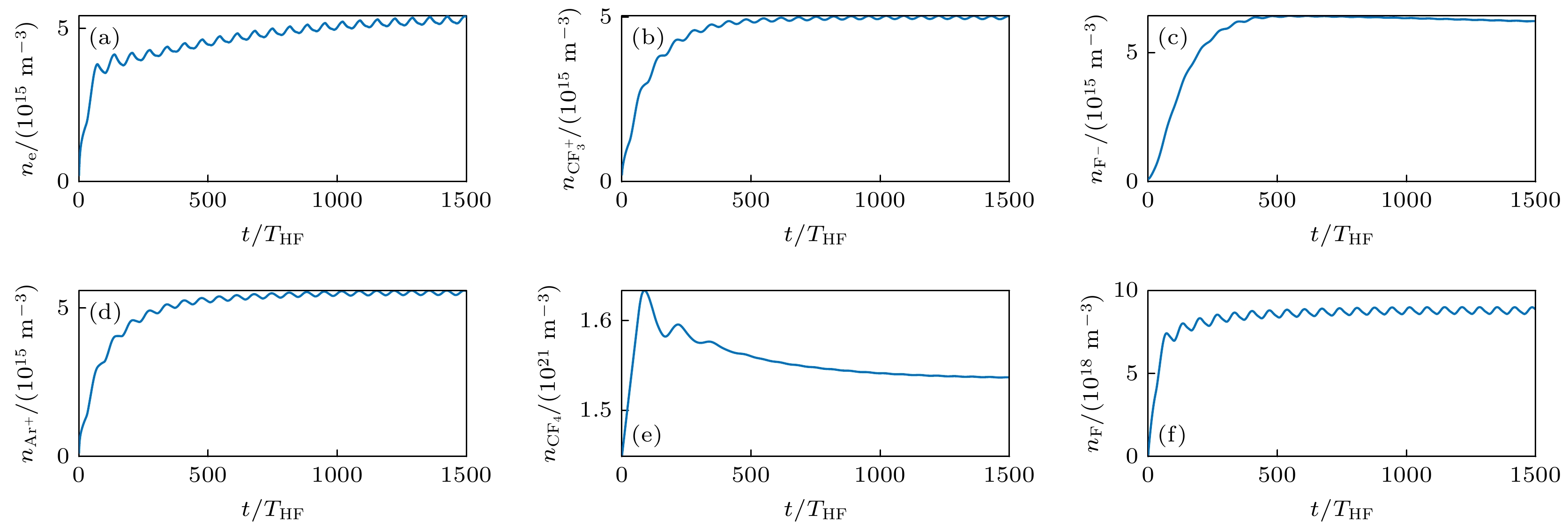
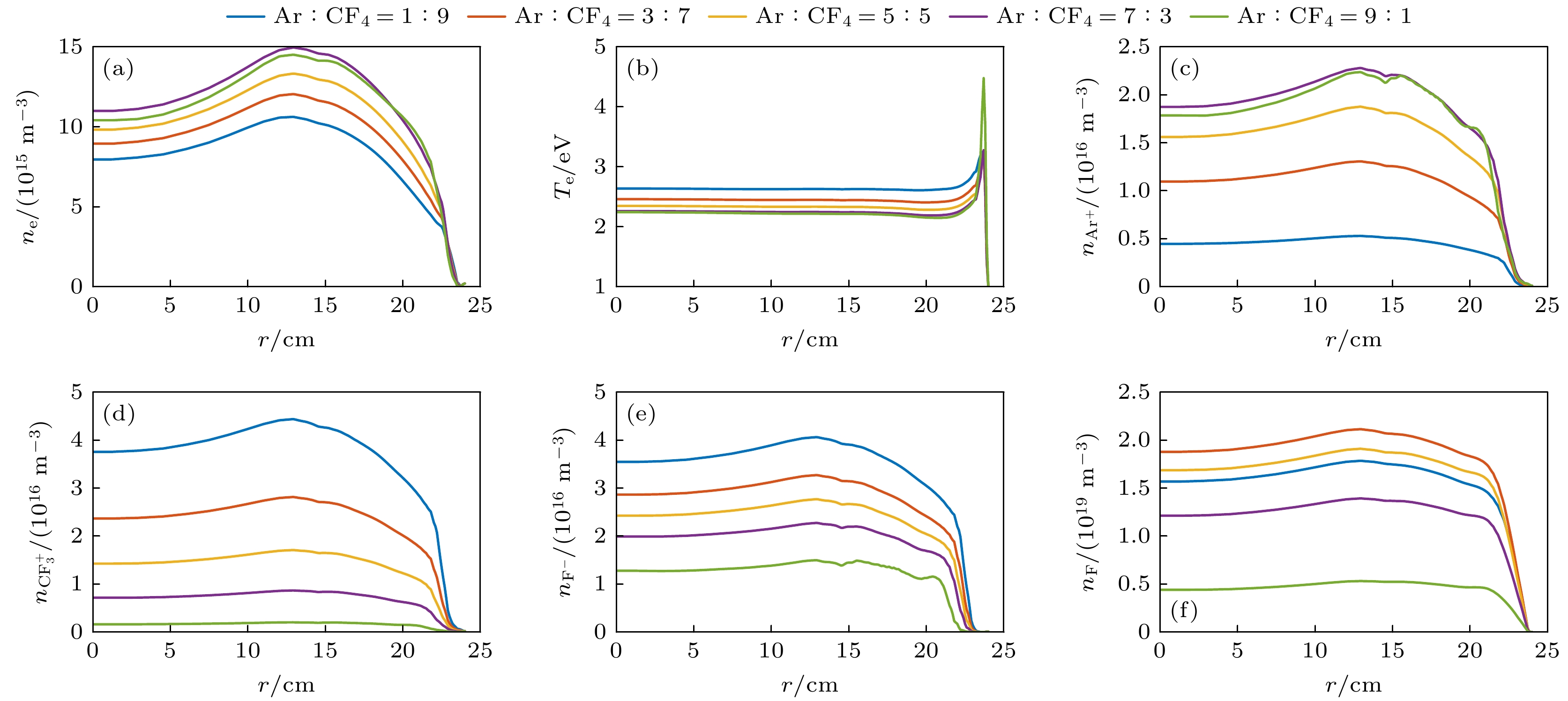
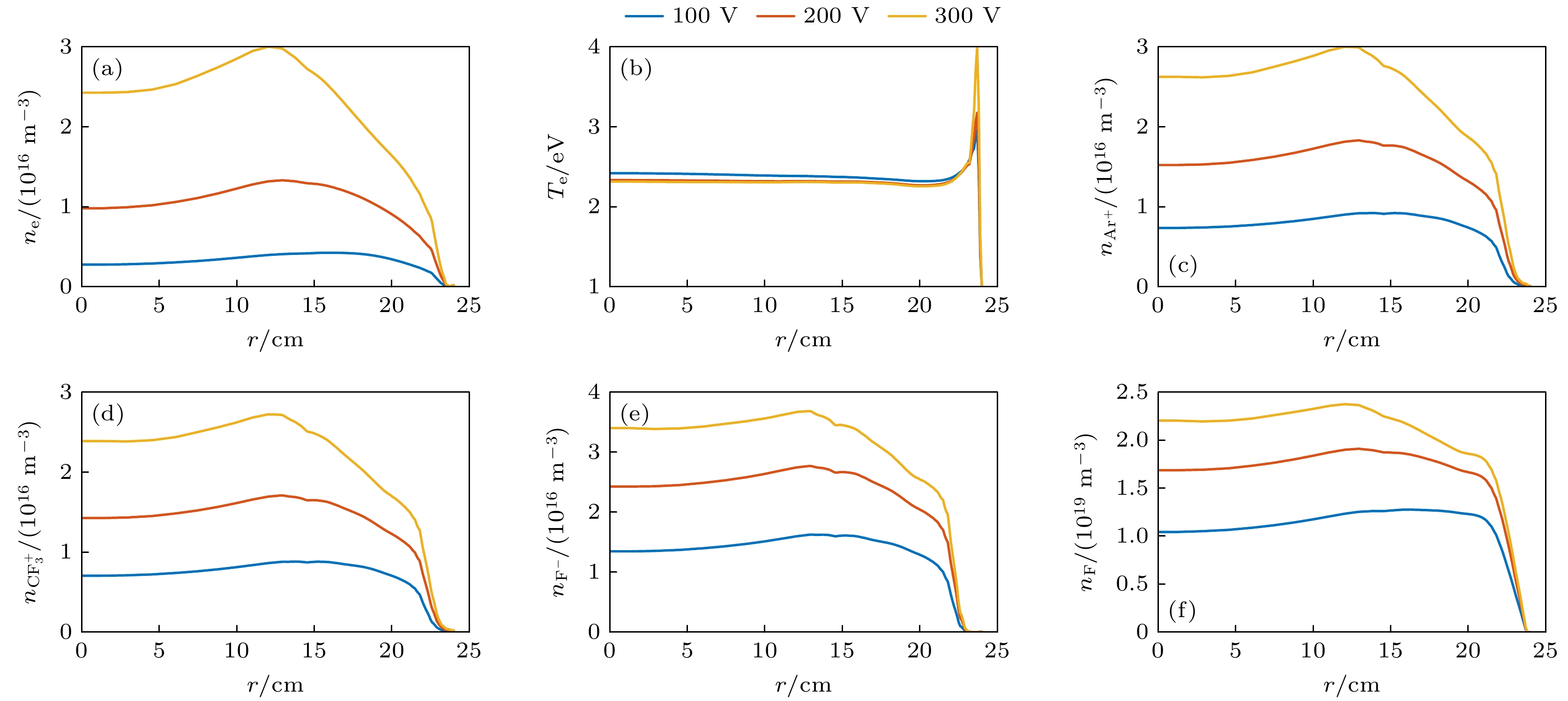
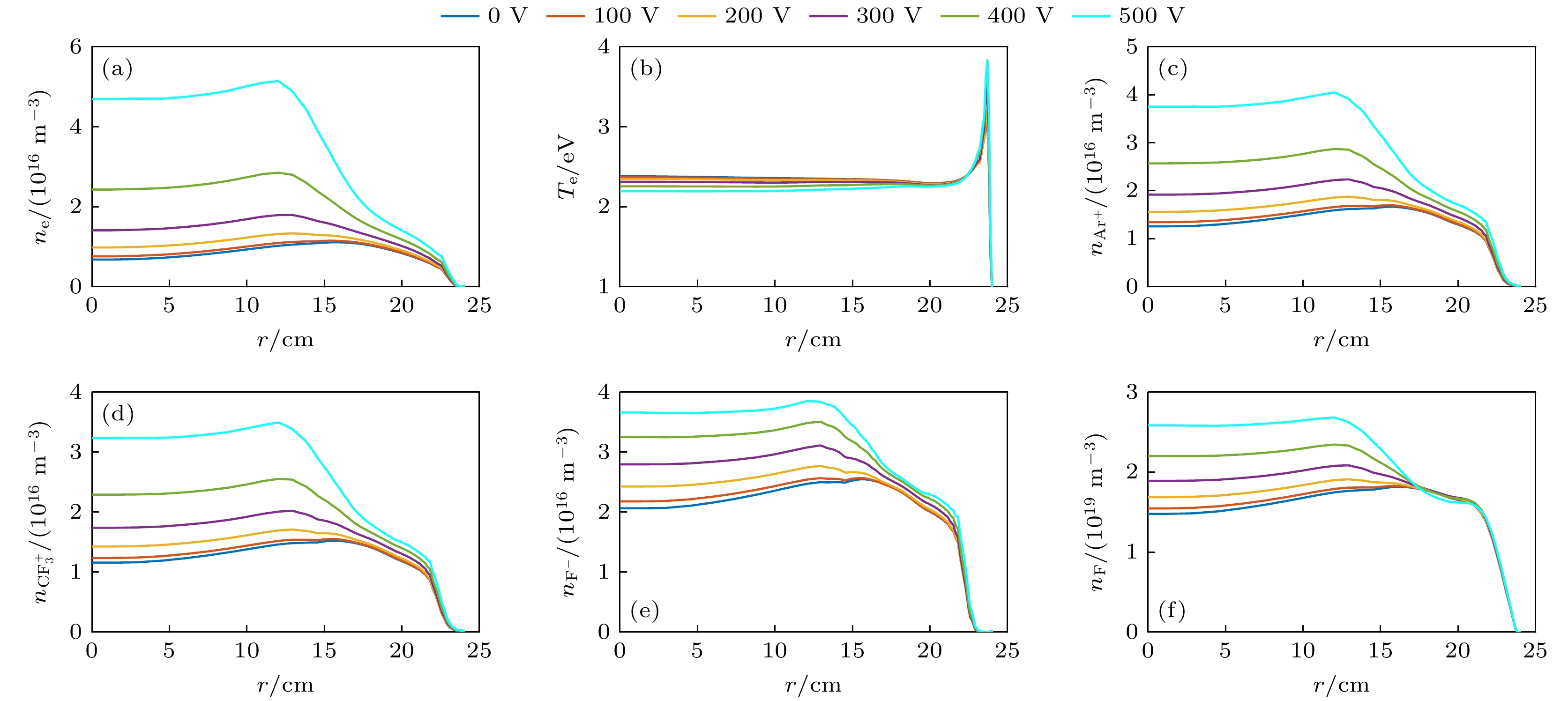
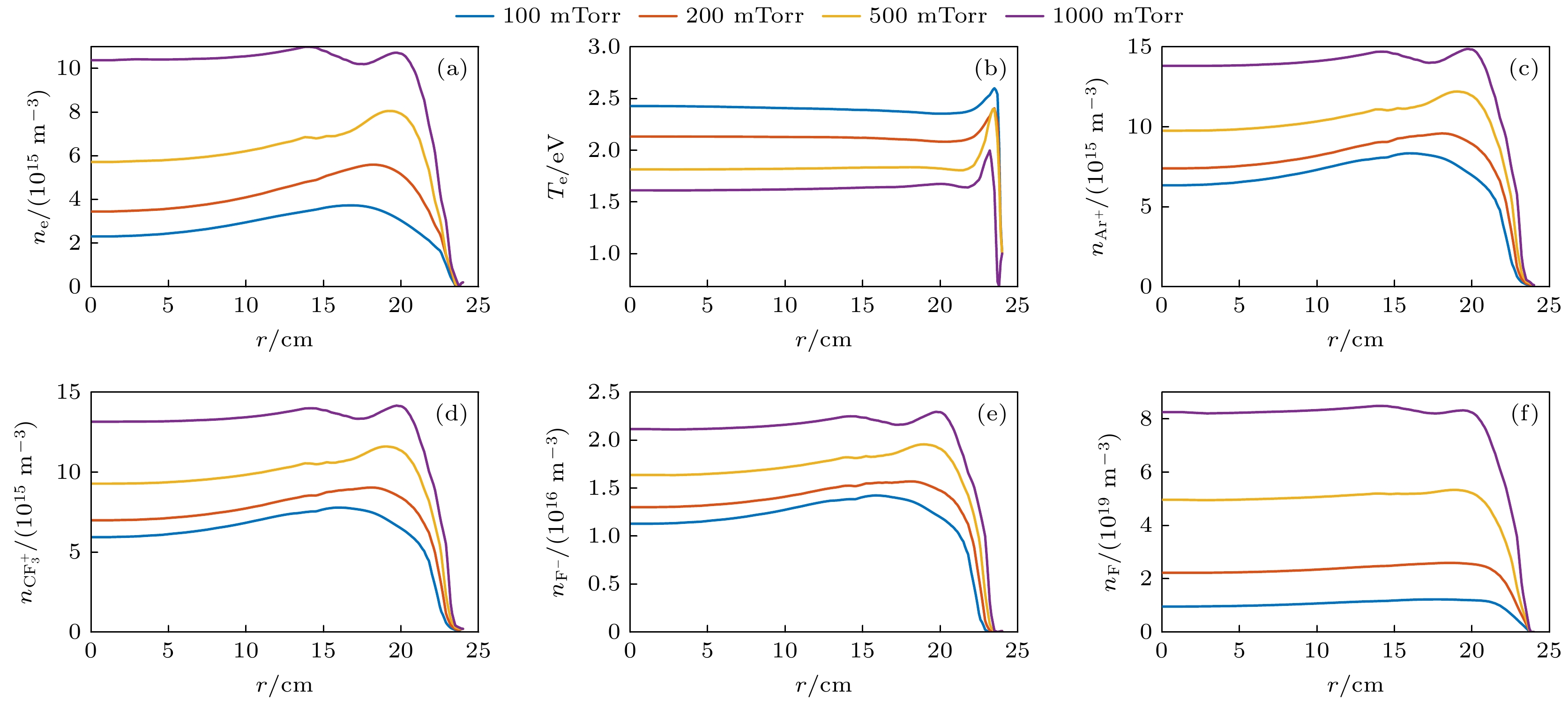
容性耦合等离子体源具备结构、造价低、能产生大面积均匀等离子体的优点, 被广泛应用于半导体芯片制造的刻蚀、沉积等工艺中. 为了满足先进生产工艺的需求, 人们常常需要对等离子体源实施流体模拟, 从而对等离子体的密度、均匀性等重要参数进行优化. 本文采用自主研发的容性耦合等离子体快速模拟程序对双频容性耦合Ar/CF4等离子体源进行了三维流体模拟, 以对程序在该问题中的有效性进行初步验证, 并研究气压、高低频电压、低频频率、气体组分比例等放电参数对等离子体产生的影响. 模拟结果显示, 该程序具有极高的模拟速度; 随着低频电压的增加, 等离子体密度先近似不变, 后显著增大, 而等离子体的均匀性先上升, 后显著下降, 在此过程中低频电源带来的γ模式加热逐渐增加, 直到取代高频电源的α模式加热成为主导; 随着低频频率的增加, 等离子体密度先近似不变, 后略微增大, 而等离子体的均匀性变化不大, 这是因为低频电源的γ模式加热与频率无关, 而α模式加热远远低于高频电源; 随着高频电压的增加, 等离子体密度显著增大, 而等离子体的均匀性先上升, 后显著下降, 在此过程中高频电源的α模式加热显著增强; 随着气压的增加, 等离子体密度明显增大, 同时等离子体的均匀性也明显上升, 原因是粒子与背景气体间碰撞更为充分; 随着背景气体中Ar比例的增加, 等离子体密度变化较小, Ar相关粒子的密度总体呈上升趋势, CF4相关粒子的密度总体呈下降趋势, 但部分粒子的密度变化存在非单调的情况, 这体现了部分组分的电离、解离间具有相互促进的作用.Capacitively coupled plasma sources, which are widely used in the etching and deposition processes of semiconductor manufacturing, have the advantages of simple structure, low cost, and the ability to generate large-area uniform plasma. To meet the requirements of advanced processes, fluid models are usually required to simulate plasma sources and optimize their important plasma parameters, such as density and uniformity. In this work, an independently-developed capacitively coupled plasma fast simulation program is employed to conduct three-dimensional fluid simulations of a dual-frequency capacitively coupled Ar/CF4 plasma source, with the aims of verifying the effectiveness of the program and investigating the influence of discharge parameters such as gas pressure, high and low-frequency voltages, low frequency, and background component ratios. The simulation results show that the program has an extremely high simulation speed. As the low-frequency voltage increases, the plasma density initially remains approximately constant and then significantly increases, while the plasma uniformity initially rises and then significantly decreases. In this process, the γ-mode heating of the low-frequency source increases and becomes the dominant mode in replace of the α-mode of high-frequency source. As the lower frequency increases, plasma density initially remains approximately constant and then slightly increases, while the plasma uniformity does not change much. this is because the γ-mode heating is frequency independent, while the α-mode heating is much lower than high-frequency source. As the high-frequency voltage increases, the plasma density significantly increases, while the plasma uniformity initially rises and then significantly decreases, the α-mode heating of high-frequency source is significantly enhanced in this process. As the pressure increases, the plasma density significantly increases, and the plasma uniformity also rises significantly, the reason is the more complete collision between particles and background gases. As the Ar ratio in background gases increases, the plasma density changes slightly, the density of Ar-related particles generally increases and the density of CF4-related particles generally decreases, although there are some non-monotonic changes in particle densities, which reflects the mutual promotion between some ionization and dissociation reactions.
-
Keywords:
- capacitively coupled plasma /
- three-dimensional fluid model /
- numerical simulation /
- plasma uniformity
[1] [2] [3] [4] [5] [6] [7] [8] [9] [10] [11] [12] [13] [14] [15] [16] [17] [18] [19] [20] [21] [22] -
编号 反应表达式 文献 编号 反应表达式 文献 1 e + Ar → e + Ar [19] 39 e + CF4 → CF3 + F– [19] 2 Ar+ + Ar → Ar+ + Ar [19] 40 $\rm e + CF_4 \to CF_3^- + F $ [19] 3 $\rm CF_3^+ + Ar \to CF_3^+ + Ar $ [19] 41 F– + CF3 → e + CF4 [19] 4 $\rm CF_2^+ + Ar \to CF_2^+ + Ar $ [19] 42 F– + CF2 → e + CF3 [19] 5 CF+ + Ar → CF+ + Ar [19] 43 F– + CF → e + CF2 [19] 6 F+ + Ar → F+ + Ar [19] 44 F– + F → e + F2 [19] 7 F– + Ar → F– + Ar [19] 45 $\rm CF_3^- + CF_3^+ \to 2CF_3 $ [19] 8 $\rm CF_3^- + Ar \to CF_3^- + Ar $ [19] 46 $\rm F^- + CF_3^+ \to CF_3 + F $ [19] 9 Ar* + Ar → Ar* + Ar [19] 47 $\rm F^ + CF_3^+ \to CF_2 + F_2 $ [19] 10 CF3 + Ar → CF3 + Ar [19] 48 $\rm F^- + CF_2^+ \to CF_2 + F $ [19] 11 CF2 + Ar → CF2 + Ar [19] 49 $\rm F^- + CF_2^+ \to CF + F_2 $ [19] 12 CF + Ar → CF + Ar [19] 50 F– + CF+ → CF + F [19] 13 F2 + Ar → F2 + Ar [19] 51 F– + F+ → 2F [19] 14 F + Ar → F + Ar [19] 52 $\rm CF_3^- + CF_2^+ \to CF_3 + CF_2 $ [19] 15 e + CF4 → e + CF4 [19] 53 $\rm CF_3^- + CF^+ \to CF_3 + CF $ [19] 16 Ar+ + CF4 → Ar+ + CF4 [19] 54 $\rm CF_3^- + F^+ \to CF_3 + F $ [19] 17 $\rm CF_3^+ + CF_4 \to CF_3^+ + CF_4 $ [19] 55 $\rm CF_2^+ + CF_3 \to CF_3^+ + CF_2 $ [19] 18 $\rm CF_2^+ + CF_4 \to CF_2^+ + CF_4 $ [19] 56 $\rm CF^+ + CF_3 \to CF_3^+ + CF $ [19] 19 CF+ + CF4 → CF+ + CF4 [19] 57 $\rm CF^+ + CF_2 \to CF_2^+ + CF $ [19] 20 F+ + CF4 → F+ + CF4 [19] 58 F + CF3 → CF4 [19] 21 F– + CF4 → F– + CF4 [19] 59 F + CF2 → CF3 [19] 22 $\rm CF_3^- + CF_4 \to CF_3^- + CF_4 $ [19] 60 F + CF → CF2 [19] 23 Ar* + CF4 → Ar* + CF4 [19] 61 F2 + CF3 → CF4 + F [19] 24 CF3 + CF4 → CF3 + CF4 [19] 62 F2 + CF2 → CF3 + F [19] 25 CF2 + CF4 → CF2 + CF4 [19] 63 $\rm CF_3^- + F\to CF_3 + F^- $ [19] 26 CF + CF4 → CF + CF4 [19] 64 e + Ar → 2e + Ar+ [20] 27 F2 + CF4 → F2 + CF4 [19] 65 e + Ar → e + Ar* [20] 28 F + CF4 → F + CF4 [19] 66 e + Ar* → 2e + Ar+ [20] 29 Ar + Ar → Ar + Ar [19] 67 Ar* + Ar* → e + Ar + Ar+ [20] 30 CF4 + CF4 → CF4 + CF4 [19] 68 Ar* + CF2 → Ar + CF + F [21] 31 Ar + CF4 → Ar + CF4 [19] 69 Ar* + CF3 → Ar + CF2 + F [21] 32 e + CF4 → e + CF3 + F [19] 70 Ar* + CF4 → Ar + CF2 + F2 [21] 33 e + CF4 → e + CF2 + 2F [19] 71 Ar+ + CF2 → Ar + CF+ + F [21] 34 e + CF4 → e + CF + 3F [19] 72 $\rm Ar^+ + CF_3 \to Ar + CF_2^+ + F $ [21] 35 $\rm e + CF_4 \to 2e + CF_3^+ + F $ [19] 73 $\rm Ar^+ + CF_4 \to Ar + CF_3^+ + F $ [22] 36 $\rm e + CF_4 \to 2e + CF_2^+ + 2F $ [19] 74 $\rm Ar^+ + CF_3^- \to Ar + CF_3 $ [21] 37 e + CF4 → 2e + CF+ + 3F [19] 75 Ar+ + F– → Ar + F [21] 38 e + CF4 → 2e + CF3 + F+ [19] 76 $\rm CF_3^+ + Ar\to CF_3 + Ar^+ $ [21] -
[1] [2] [3] [4] [5] [6] [7] [8] [9] [10] [11] [12] [13] [14] [15] [16] [17] [18] [19] [20] [21] [22]
计量
- 文章访问数: 1015
- PDF下载量: 87
- 被引次数: 0








下载: