搜索

x
中国物理学会期刊

具有转动惯性的活性粒子在周期交流场下的集体行为

CSTR:32037.14.aps.74.20251142

Collective behavior of active particles with rotational inertia in periodic alternating fields

CSTR:32037.14.aps.74.20251142
PDF
HTML
导出引用
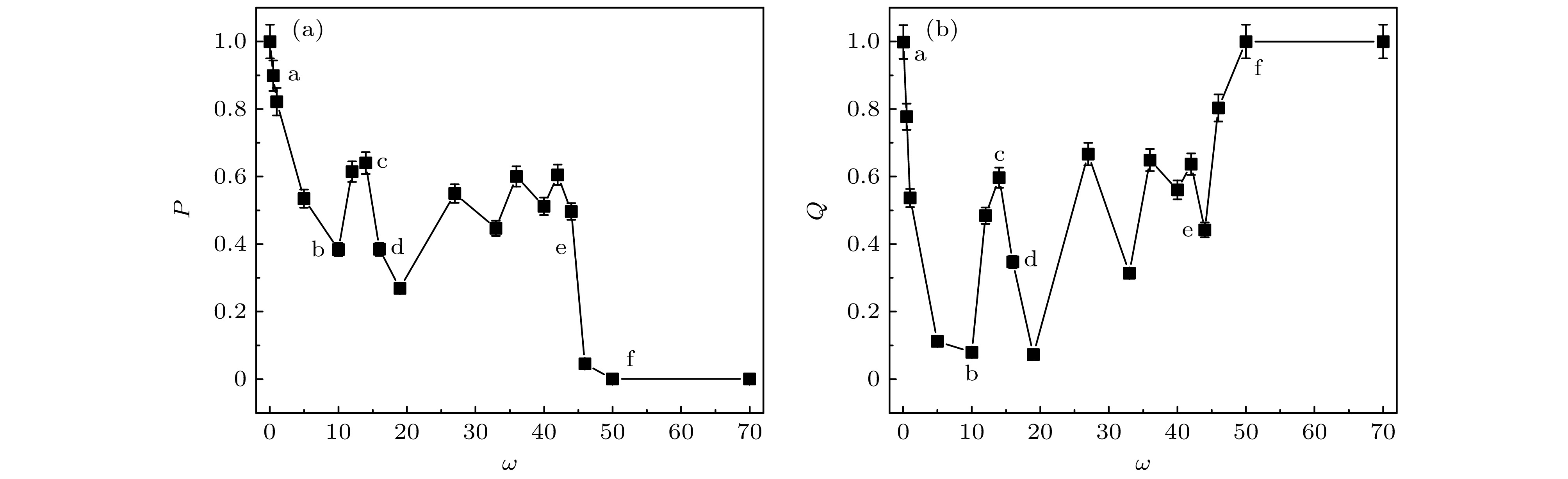
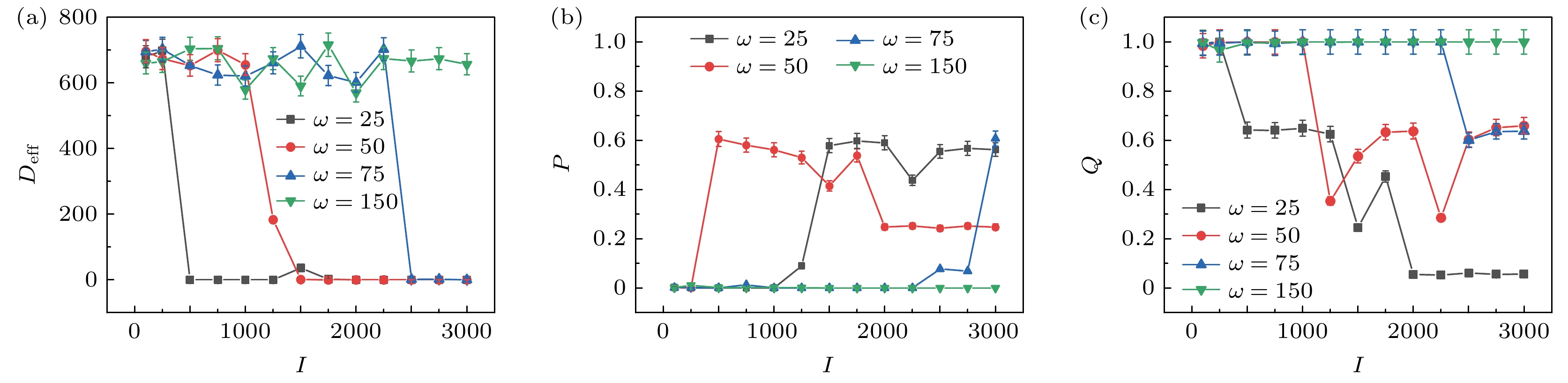
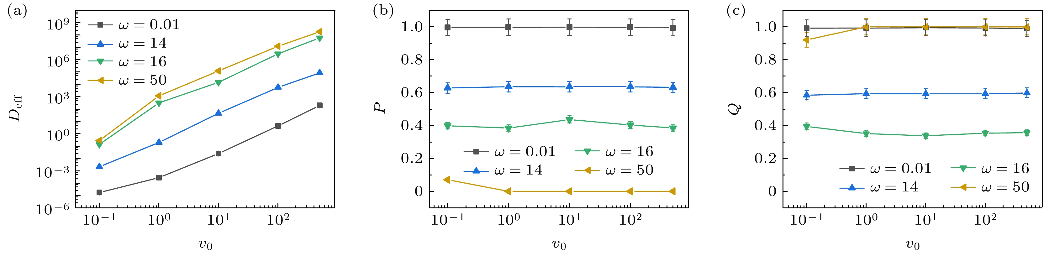
  • 在活性物质系统中, 外部驱动场(如电场、磁场或光场)常被用于调控粒子的运动行为与集体状态. 惯性效应在粒子动力学中扮演关键角色, 它使粒子对场的响应出现延迟, 从而诱发复杂的集体行为. 然而, 具有转动惯性的活性粒子在周期交流场作用下的动力学行为尚不明确. 本文通过数值模拟系统研究具有转动惯性的活性粒子在周期交流场作用下的集体行为. 结果表明, 改变外场频率可诱导系统出现一系列集体运动状态, 包括极性有序、向列有序以及交叉流动带等结构. 粒子的自推进速度与相互作用强度对系统状态转变的影响较弱. 本研究揭示了周期交流场在调控惯性活性粒子系统集体行为中的关键作用, 为进一步理解非平衡系统中驱动场与粒子动力学之间的耦合机制提供了新的见解.

    In active matter systems, external alternating fields, such as electric, magnetic, or optical fields, are widely used to regulate the motion and collective states of self-propelled particles. The presence of inertia introduces a delayed response to such fields, giving rise to complex collective dynamics. Nevertheless, how active particles with rotational inertia behave collectively under an unbiased periodic alternating field remains unclear. In this work, we conduct numerical simulations to study the collective behavior of such particles driven by a time-varying external torque that alternates symmetrically in direction.
    Our results show that the frequency of the alternating field plays a decisive role in shaping the collective state of the system. As the frequency increases, the system undergoes a series of different phase transitions. At low frequencies, the particles exhibit synchronized polar order. With frequency rising, inertial delay disrupts this synchronization, driving the system into a disordered state. When the field period matches the intrinsic rotational relaxation time of the particles, stable horizontal or vertical cross-flow bands emerge, within which groups of particles travel in opposite directions. At very high frequencies, the system develops nematic order, characterized by counter-propagating particle streams. The effective diffusion coefficient reaches its peak during the formation of alternating flow bands, indicating enhanced collective transport. These structural transitions are consistently captured by the evolution of global order parameters. In contrast, variations in the particle self-propulsion speed and repulsive interaction strength exert only minor influences on the collective states, highlighting the dominant role of the alternating field frequency. This study elucidates the fundamental mechanism through which periodic alternating fields regulate the collective behavior of inertial active particles via frequency tuning. The results offer new insights into the coupling between external driving fields and particle dynamics in non-equilibrium systems, with potential applications in the design of micromachines and active smart materials.

    目录

    返回文章
    返回