-
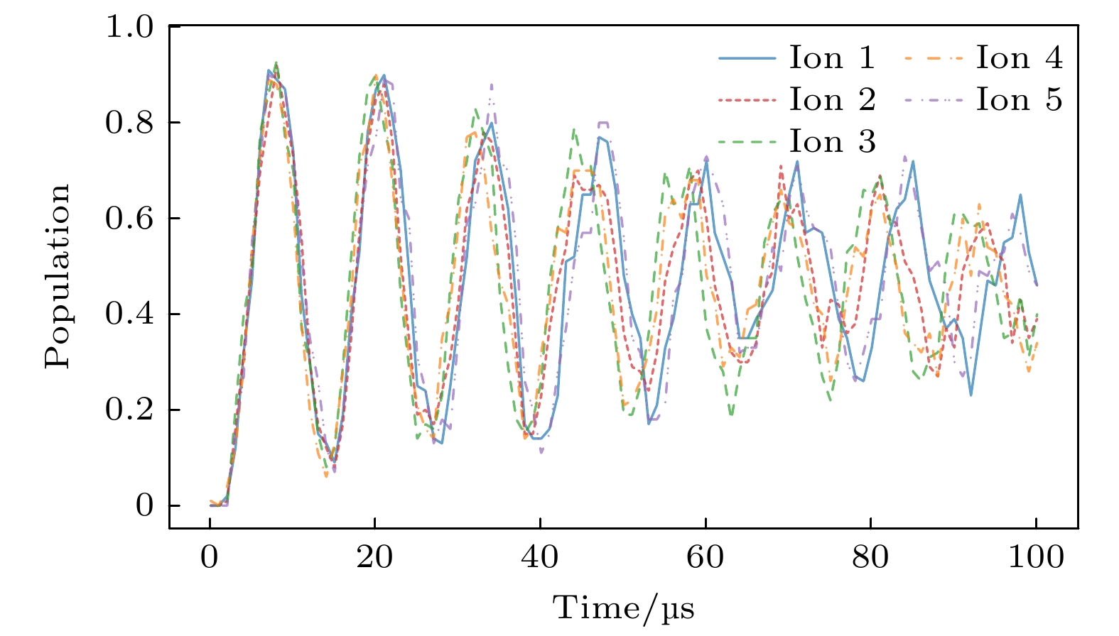
高性能表面电极离子阱是构建可扩展离子阱量子计算机的关键平台. 在室温下实现多离子相干操控, 是迈向量子纠错与大规模集成的关键步骤. 本文报道了在自主研制的室温表面电极离子阱中, 单离子与多离子相干操控的研究进展. 该芯片阱在轴向与横向分别实现了低至0.074(8) quanta/ms(@833 kHz)与0.237(51) quanta/ms(@1.3 MHz)的加热率. 结合电磁诱导透明(EIT)冷却与边带冷却, 单离子被冷却至平均声子数0.04(2)以下. 在此基础上, 利用载波与边带跃迁对多达20个离子进行了全局相干操控, 观测到由集体振动模式介导的离子间耦合, 并清晰地展示了不同位置离子因高阶振动模式向量差异而呈现出的特异相干演化行为. 本工作充分验证了在微型表面电极离子阱的单势阱中囚禁与相干操控链状和二维多离子的能力, 为在芯片电极离子阱中实现高效的多离子纠缠态制备和量子模拟奠定了物理基础.
The development of high-performance chip-scale ion traps is crucial for the integration and scaling of ion-trap-based quantum computers. Although cryogenic environments can greatly reduce anomalous heating, operating ion traps at room temperature remains highly attractive due to its simplicity and lower cost. This work reports significant progress in coherently controlling multiple ions confined in a custom-fabricated, room-temperature surface-electrode trap, establishing a critical foundation for advanced quantum protocols such as quantum error correction and future scalable architectures. Research objectives and methods This study aims to characterize a home-built chip trap and demonstrate its capabilities for multi-ion quantum logic under ambient conditions. The trap adopts a six-wire electrode design on a high-resistivity silicon substrate, with ions trapped at a height of 154 μm. A combination of Doppler cooling, electromagnetically induced transparency (EIT) cooling, and resolved-sideband cooling is used to prepare the ions in their motional ground state. Coherent manipulations are performed using both a 729 nm laser (for optical qubits between the $|\text{S}_{1/2},m_j=-1/2\rangle$ and $|\text{D}_{5/2},m_j=-3/2\rangle$ states) and microwave radiation (for qubits between the $|\text{S}_{1/2},m_j=-1/2\rangle$ and $|\text{S}_{1/2},m_j=+1/2\rangle$ states). Quantum state detection is achieved via state-dependent fluorescence by using an EMCCD camera, thereby enabling site-resolved readout. Key results Low room-temperature heating rates: The trap exhibits low heating rates, measured to be 0.074(8) quanta/ms in the axial direction (at 833 kHz) and 0.237(51) quanta/ms in the radial direction (at 1.3 MHz). The spectral density of electric-field noise is on the order of $10^{-13}$ ${{\rm{V}}^2 /({\rm{m}}^{2}\cdot{\rm{Hz}}})$ at trap frequencies above 500 kHz, ranking among the best for room-temperature devices. The spectral density of electric-field noise follows an approximate $f^{-2.52(22)}$ dependence, potentially influenced by external filtering circuits. High-fidelity single-ion control A single 40Ca+ ion is cooled to an average phonon number of 0.04(2) in its axial motion. High-fidelity coherent operations are demonstrated: carrier Rabi oscillations using the 729 nm laser shows a single-pulse fidelity of approximately 98.98(8)%, while microwave-driven operations achieves a fidelity of 99.95(2)%. Ramsey interferometry with microwaves reveals a coherence time $T_2^*$ of 5.0(4) ms. Site-resolved multi-ion coherent control: The core achievement is the global coherent manipulation of ion chains containing up to 20 ions. The system is characterized by driving motional sideband transitions on various axial modes of 5- and 6-ion chains. The resulting Rabi oscillations, measured using site-resolved fluorescence, clearly show the collective dynamics and mode-dependent coupling strengths determined by the normalized mode eigenvectors. Furthermore, global carrier transitions are demonstrated on a two-dimensional (2D) zigzag crystal of 20 ions, confirming the ability to execute simultaneous operations on a large qubit array. Global control of 2D ion crystals Using 20 ions, a 2D zigzag crystal is formed and globally addressed using both laser and microwave drives. Laser-driven carrier transitions show strong decay due to multimode motional coupling, whereas microwave-driven oscillations remain nearly decay-free, consistent with the Lamb–Dicke parameter being negligible for microwave fields. Conclusion The room-temperature surface-electrode trap can support low-heating confinement, high-fidelity single- and multi-qubit operations, as well as coherent control of large ion arrays. The site-resolved observations of mode-dependent coupling highlight the potential for utilizing collective vibrational modes for selective quantum control. These results validate the trap as a robust and promising platform for medium-scale quantum information processing and quantum simulation at room temperature. Future work will focus on structural optimizations to reduce radial heating and integration with cryogenic systems to further suppress noise, ultimately advancing toward large-scale quantum computing architectures. [1] [2] [3] [4] [5] [6] [7] [8] [9] [10] [11] [12] [13] [14] [15] [16] [17] [18] [19] [20] [21] [22] [23] [24] [25] [26] [27] [28] [29] [30] [31] -
[1] [2] [3] [4] [5] [6] [7] [8] [9] [10] [11] [12] [13] [14] [15] [16] [17] [18] [19] [20] [21] [22] [23] [24] [25] [26] [27] [28] [29] [30] [31]
计量
- 文章访问数: 259
- PDF下载量: 7
- 被引次数: 0








下载: