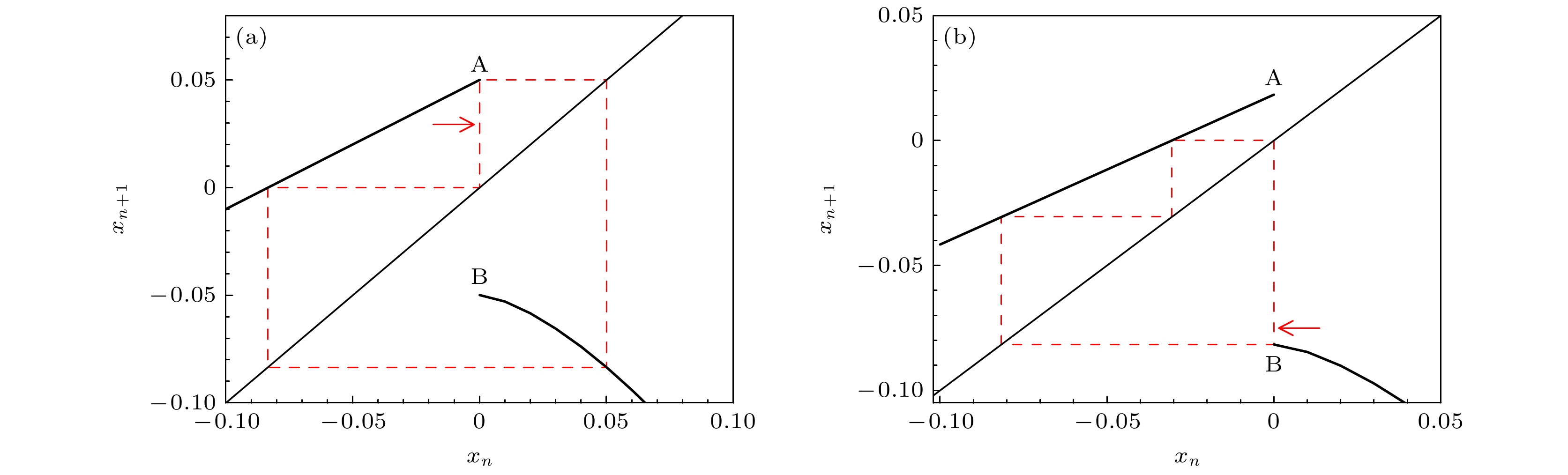
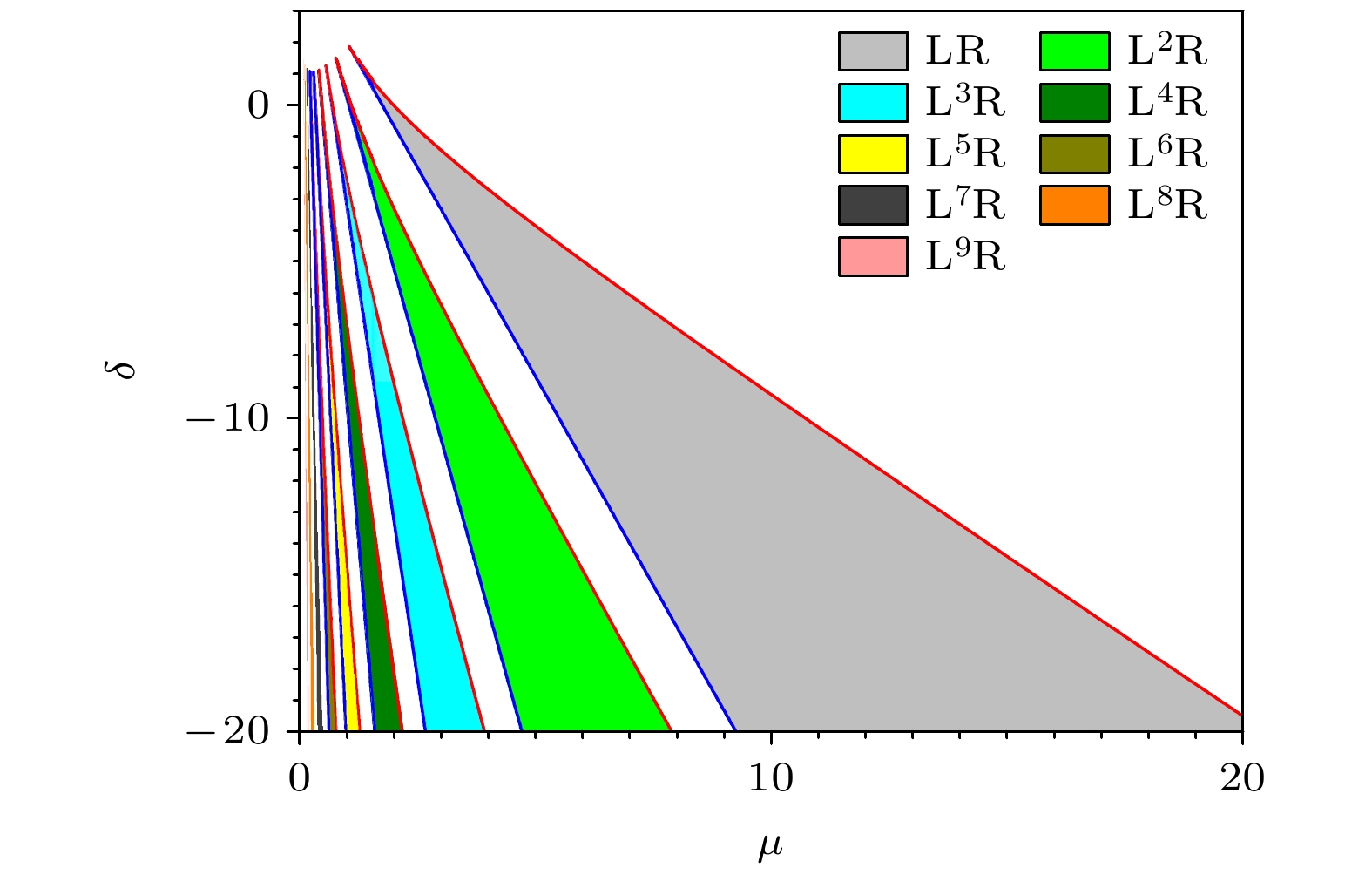
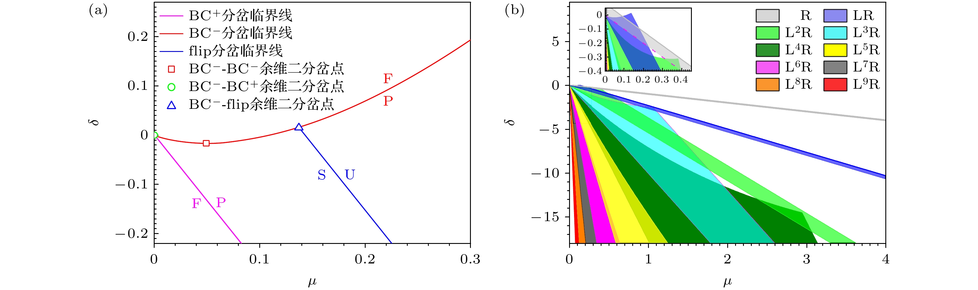
The investigation of chaos is an important field of science and has got many significant achievements. In the earlier age of the field, the main focus is on the study of the systems that are smooth everywhere. Less attention has been paid to nonsmooth systems. Nonsmooth dynamical systems are broadly appeared in practices, such as impact oscillators, relaxation oscillators, switch circuits, neuron firing, epidemic and even economic models, and have become an active field of study recently. The typical characteristics of those systems is the abruptly variation of the dynamics after slowly evolving over a longer time. Piecewise smooth maps are a type of important models and often employed to describe the dynamics of those systems. Among them, much attention is paid to a class of generally one dimensional piecewise linear discontinuous maps since they are easy to hand and can display rich classes of dynamical phenomena with new characteristics.Enclosed in this work is a discontinuous two-piece mapping function. The left branch is a linear function with slope α, and the right is a power law function with exponent z. There is a gap confined by $[\mu,\mu+\delta]$ at $x=0$, where μ is the control parameter, and δ is the with of the gap. Even though the dynamics of nonsmooth and continuous maps under some special z values have been intensively studied, while their discontinuous counterparts have not been investigated under arbitrary z and discontinuous gap δ. The appearance of the discontinuity may induce border collision bifurcations. The interplay between the bifurcations associated with stability analysis and the border collision bifurcations may produce complex dynamics with new characteristics. Therefore, the investigation on the dynamics of those maps are carried out in this paper, in which the periodic increments, periodic adding and coexistence of attractors are observed. The border collision bifurcation often interrupts a stable periodic orbit and make it transform to a chaotic state or another periodic orbit. In the neighborhood of critical parameters of this bifurcation, there often occurs the coexistence of a periodic orbit with a chaotical or another periodic attractor. A general approach is proposed to analytically and numerically calculate the critical control parameters at which the border collision bifurcations happen, which transform the problem into the solution of an algebraic equation of dimensionless control parameter $\mu/\mu_0$, where $\mu_0$ is the critical control parameter when $\delta=0$. The solution can be obtained analytically when z is a simple rational number or small integer, and numerically for an arbitrary real number. By this way, the stability condition and critical control parameters for the periodic orbit of type $L^{n-1}R$ are analytically or numerically obtained under the arbitrary exponent z and discontinuous gap δ. The results are accordance with the numerical simulations very well. Based on the stability and border collision bifurcation analysis, the phase diagrams in the plane of two dimensional parameters $\mu-\delta$ are built for different ranges of z. Their dynamical behaviors are discussed, and three types of co-dimension-2 bifurcations are observed, and the general expressions for the coordinates at which those phenomena occur are obtained in the phase plane. Meanwhile, a specular tripe-point induced by merging of co-dimension-2 bifurcation points ${\rm{BC-flip}}$ and ${\rm{BC-BC}}$ is observed in the phase plane, and the condition for the appearance of it is analytical obtained.