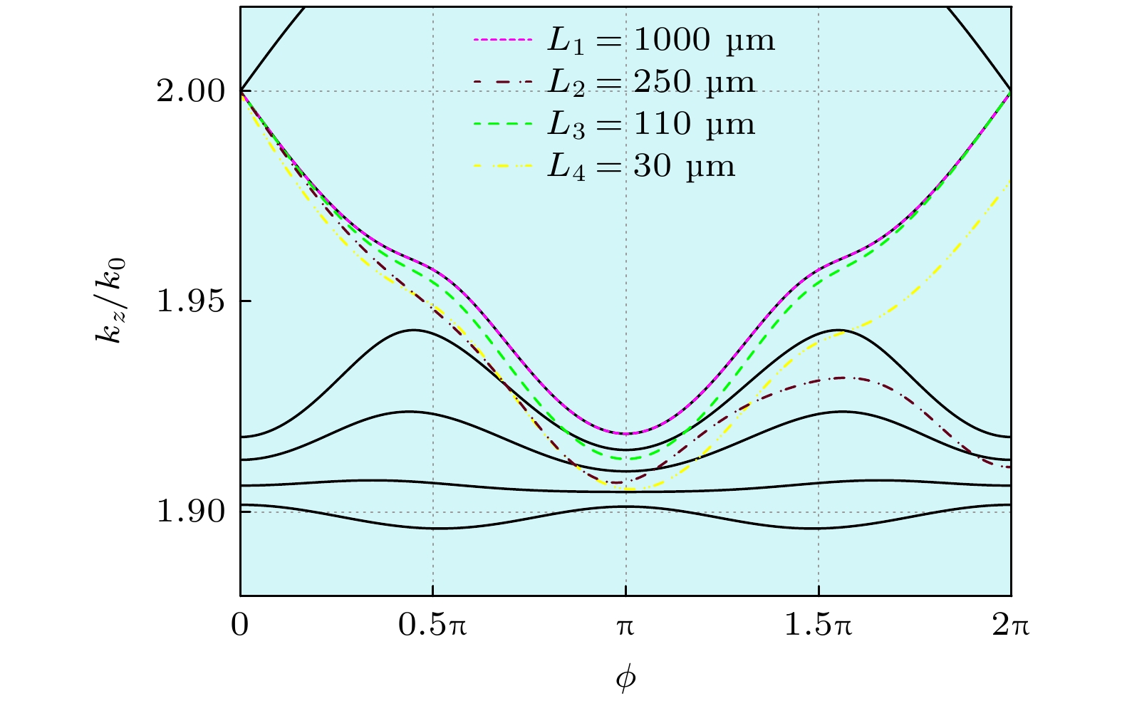
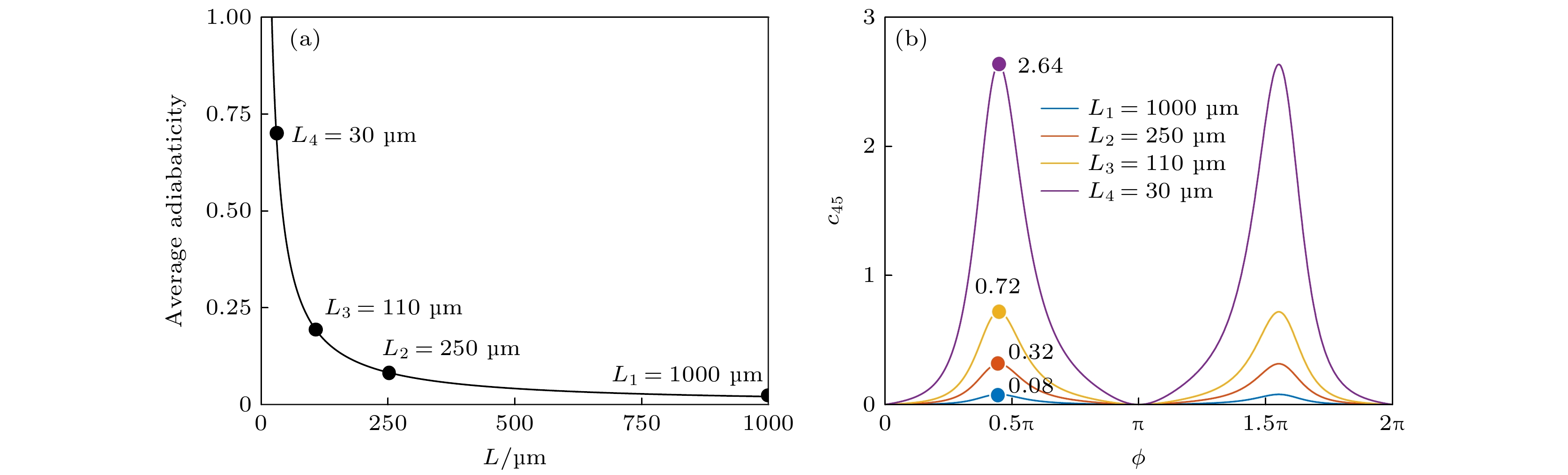
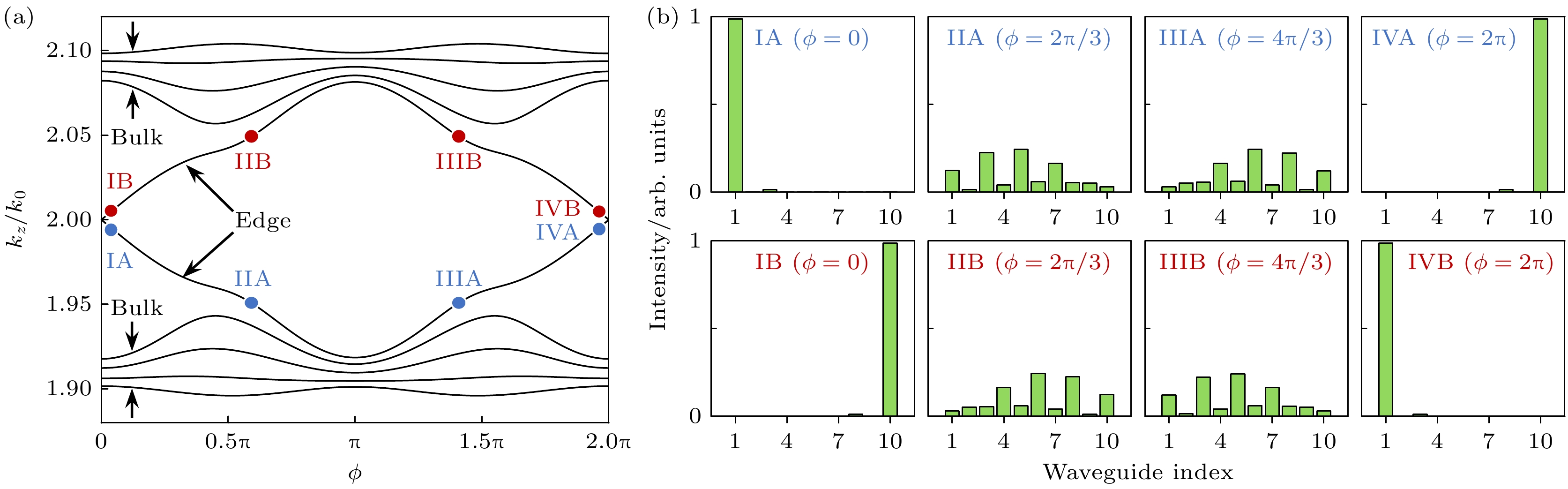
Topological pumping based on Thouless pumping can be effectively applied to optical waveguide array systems to achieve robust light manipulation with strong disturbance resistance. One of its typical models, the Rice-Mele (R-M) model, enables directional light field to transmit from the leftmost (rightmost) waveguide to the rightmost (leftmost) waveguide, which can be utilized to realize fabrication-tolerant optical couplers. Adiabatic evolution is a critical factor influencing the transport of topological eigenstates. However, it requires the system’s parameter variation to be sufficiently slow, which leads to excessively long waveguide lengths, limiting device compactness. To reduce the size, non-adiabatic evolution offers a feasible alternative. Meanwhile, the adiabatic properties of topological pumping models introduce new degrees of freedom, expanding possibilities for light manipulation. Based on the R-M model, this work analyzes the relationship between adiabatic property and structure length L, investigates light field evolution behavior when adiabatic condition is violated, and explores the transition from adiabatic to non-adiabatic regimes. When adiabatic condition is satisfied (L1 = 1000 μm), the light field evolution aligns with the eigen edge state. The output mode is manifested as an edge state and localized at the edge waveguide. As length shortens (L2 = 250 μm and L4 = 30 μm), the deviation between light field and eigen edge state arises, and the eigen bulk states get involved in the light field. The output modes are manifested as the superposition of edge state and bulk state, with energy spreading to other waveguides. At a specific length (L3 = 110 μm), the light-field undergoes non-adiabatic evolution: initially deviating from the edge state and later returning to the edge state. This phenomenon is termed adiabatic equivalent evolution. The output mode is localized at the edge waveguide, which is the same as the adiabatic evolution. By analyzing the fidelity between output mode and eigen edge state, we demonstrate that the adiabaticity can effectively regulate fidelity, achieving signal on/off at the edge waveguide. As structural length decreases, fidelity gradually declines and exhibits an oscillating behavior. When fidelity approaches to 1, the adiabatic equivalent evolution emerges. The first-order perturbation approximation reveals that these oscillations stem from destructive interference between edge and bulk states, thereby confirming their intrinsic origin in band interference. This mechanism enables eigen edge state output at shorter lengths than adiabatic requirements, providing a reliable approach for miniaturizing devices. Furthermore, the fabrication tolerance is analyzed. Within the whole waveguides width deviation range of –35–+30 nm (relative deviation range of –7%–+6%), the transmission of edge waveguide through the adiabatic equivalent evolution is larger than 0.9. This work analyses light-field evolution process and underlying physics for topological pumping in non-adiabatic regimes, supplements theoretical methods for analyzing non-adiabatic evolution, and provides strategies for achieving eigen edge state output at reduced lengths. This work provides some feasible principles for designing topological optical waveguide arrays, guiding the development of compact and robust on-chip photonic devices such as optical couplers and splitters, which have broad application prospects in integrated photonics.