-
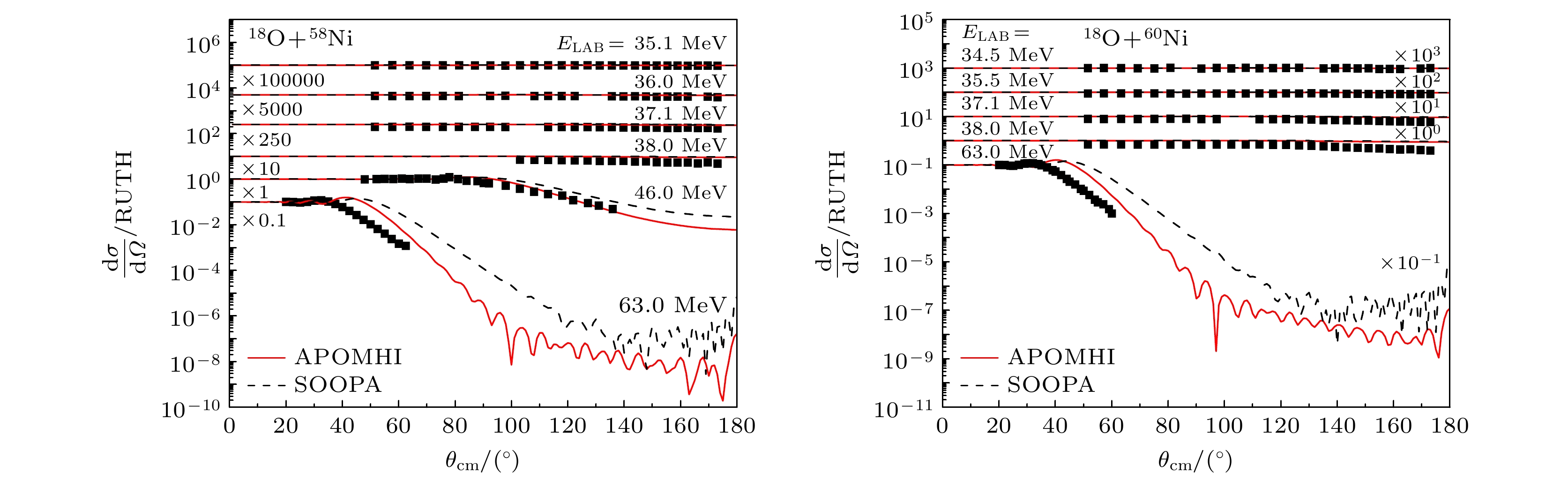
To describe the projectile-target interaction in heavy-ion collision, the traditional optical model is improved and a corresponding optical model for heavy-ion collisions is established in this work The program APOMHI is developed accordingly. In heavy-ion collisions, the mass of the projectile is comparable to the mass of target nucleus. Therefore, the projectile and target nucleus must be treated equally. The potential field for their relative motion must arise from an equivalent contribution of both nuclei, not just from the target nucleus. Consequently, the angular momentum coupling scheme must adopt L - S coupling, instead of j - j coupling. The projectile spin i and target spin I first couple to form the projectile-target system spin S (which varies between $ \left| {I - i} \right| $ and $ i + I $). Then, the spin S of this system couples with the orbital angular momentum L of relative motion, forming a total angular momentum J . Thus, the radial wave function UlSJ (r) involves three quantum numbers: l , S , and J , while traditional optical model only involves l and j . Furthermore, since the mass of projectile is similar the mass of target, the form of the optical model potential is symmetrical relative to the projectile and target. The projectile nucleus and the target nucleus are still assumed to be spherical, and their excited states are not considered. The projectile may be lighter or heavier than the target, but they cannot be identical particles. By using this optical model program APOMHI, the elastic scattering angular distributions and compound nucleus absorption cross sections for heavy-ion collisions can be calculated. Taking for example a series of heavy-ion collision reactions with 18O as the projectile nucleus, a corresponding set of universal optical potential parameters is obtained by fitting experimental data. The comparisons show that the theoretical calculations generally accord well with the available experimental data. Here, the results for fusion cross-sections and elastic scattering angular distributions using several representative target nuclei (lighter, comparable in mass, heavier, and heavy compared to the projectile nucleus) are taken for example. Specifically, the fusion cross-section results correspond to targets 9Be, 27Al, 63Cu and 150Sm, while the elastic scattering angular distributions correspond to targets 16O, 24Mg, 58Ni, and 120Sn.
-
Keywords:
- optical model /
- heavy-ion collision /
- global /
- phenomenological
[1] [2] [3] [4] [5] [6] [7] [8] [9] [10] [11] [12] [13] [14] [15] [16] [17] [18] [19] [20] [21] [22] [23] [24] [25] [26] [27] [28] [29] [30] [31] [32] [33] [34] [35] [36] [37] [38] [39] [40] [41] [42] [43] [44] [45] [46] [47] [48] [49] [50] [51] [52] [53] [54] [55] [56] [57] [58] [59] [60] [61] [62] [63] [64] [65] [66] [67] [68] [69] [70] [71] [72] [73] [74] [75] [76] [77] [78] [79] [80] [81] [82] -
各部分光学势 参数 数目 库仑势 $ {V}_{\mathrm{C}}\left(r\right) $ $ {r}_{\mathrm{C}\mathrm{A}}, {r}_{\mathrm{C}\mathrm{B}} $ 2 中心势 $ {V}_{\mathrm{c}}\left(r\right) $ $ {r}_{\mathrm{c}\mathrm{A}} $,$ {r}_{\mathrm{c}\mathrm{B}}, {a}_{\mathrm{c}\mathrm{A}}, {a}_{\mathrm{c}\mathrm{B}0}, {a}_{\mathrm{C}\mathrm{B}1} $ 5 面吸收虚部势 $ {W}_{\mathrm{S}}\left(r\right) $ $ r_{\mathrm{S}\mathrm{A}},r_{\mathrm{S}\mathrm{B}},a_{\mathrm{S}\mathrm{A}},a_{\mathrm{S}\mathrm{B}0},a_{\mathrm{S}\mathrm{B}1} $ 5 体系收虚部势 $ {W}_{\mathrm{V}}\left(r\right) $ $ {r}_{\mathrm{V}\mathrm{A}}, {r}_{\mathrm{V}\mathrm{B}}, {a}_{\mathrm{V}\mathrm{A}}, {a}_{\mathrm{V}\mathrm{B}0}, {a}_{\mathrm{V}\mathrm{B}1} $ 5 自旋-轨道实部势 $ {V}_{\mathrm{SO}}(r) $ rRSOA, rRSOB, aRSOA,
aRSOB0, aRSOB1,$ {\overline{V}_{\mathrm{SO}}} $6 自旋-轨道虚部势 $ {W}_{\mathrm{S}\mathrm{O}}(r) $ rISOA, rISOB, aISOA,
aISOB0, aISOB1${\overline{W}_{\mathrm{SO}}} $6 中心势强度 $ {\overline{V}_{\mathrm{c}}} $ $ {\overline{V}_{0}, {\overline{V}}_{1}, {\overline{V}}_{2}, {\overline{V}}_{\mathrm{B}}, {\overline{V}}_{4}} $ 5 面吸收势强度 $ {\overline{W}_{\mathrm{S}}} $ $ {\overline{W}_{\mathrm{S}0}, {\overline{W}}_{\mathrm{S}1}, {\overline{W}}_{\mathrm{S}\mathrm{B}}, {\overline{W}}_{\mathrm{S}2}} $ 4 体系收势强度 $ {\overline{W}_{\mathrm{V}}} $ $ {\overline{W}_{\mathrm{V}0}, {\overline{W}}_{\mathrm{V}1}, {\overline{W}}_{\mathrm{V}2}} $ 3 总计 41 各部分光学势 参数 数目 库仑势 $ {V}_{\mathrm{C}}\left(r\right) $ $ {r}_{\mathrm{C}} $ 1 0级弥散宽度 $ {a}_{i0} $ $ a_{\mathrm{c}0},a_{\mathrm{S}0},a_{\mathrm{V}0},a_{\mathrm{S}\mathrm{O}0} $ 4 0级半径参数 $ {r}_{i0} $ $ r_{\mathrm{c}0},r_{\mathrm{S}0},r_{\mathrm{V}0},r_{\mathrm{S}\mathrm{O}0} $ 4 修正参数 $ \xi $ $ \xi $ 1 1级弥散宽度 $ a_{\mathrm{\mathit{i}1}} $ $ a_{\mathrm{c}1},a_{\mathrm{S}1},a_{\mathrm{V}1},a_{\mathrm{S}\mathrm{O}1} $ 4 1级半径参数 $ r_{i1} $ $ r_{\mathrm{c}1},r_{\mathrm{S}1},r_{\mathrm{V}1},r_{\mathrm{S}\mathrm{O}1} $ 4 中心势强度 $ {\overline{V}}_{\mathrm{c}} $ $ {\overline{V}}_{0}, {\overline{V}}_{1}, {\overline{V}}_{2}, {\overline{V}}_{3}, {\overline{V}}_{4} $ 5 面吸收势强度 $ {\overline{W}}_{\mathrm{S}} $ $ {\overline{W}}_{\mathrm{S}0}, {\overline{W}}_{\mathrm{S}1}, {\overline{W}}_{\mathrm{S}2}, {\overline{W}}_{\mathrm{S}3} $ 4 体系收势强度 $ {\overline{W}}_{\mathrm{V}} $ $ {\overline{W}}_{\mathrm{V}0}, {\overline{W}}_{\mathrm{V}1}, {\overline{W}}_{\mathrm{V}2}{, \stackrel{-}{W}}_{\mathrm{V}3} $ 4 自旋-轨道实部
势强度$ {\overline{V}}_{\mathrm{S}\mathrm{O}} $ VSO 1 自旋-轨道虚部
势强度$ {\overline{W}}_{\mathrm{S}\mathrm{O}} $ WSO 1 总计 33 序号 靶核 熔合截面 弹性散射角分布 EL/MeV 文献 EL/MeV 文献 1 9Be 7.0—21.0 [31] 2 10B 22.0—63.0 [32] 3 11B 21.0—65.0 [32] 4 13C 105.0 [33] 5 16O 13.9—85.0 [34,35] 85.0 [36] 6 24Mg 32.0—72.0 [37] 50.0 [38] 7 27Al 28.0—72.0 [39,40] 8 28Si 34.0—72.0 [39] 9 44Ca 27.0—60.0 [41] 10 58Ni 35.0—64.0 [42,43] 35.1, 36.0, 37.1, 38.0, 46.0, 63.0 [44–46] 11 60Ni 40.0—63.0 [43] 34.5, 35.5, 37.1, 38.0, 63.0 [44,46] 12 64Ni 38.5—64.0 [43] 13 63Cu 40.0—65.0 [47] 14 65Cu 40.0—65.0 [47] 15 64Zn 49.0 [48] 16 74Ge 37.0—61.0 [49] 17 90Zr 90.0 [50] 18 92Mo 50.0—65.0 [51] 19 112Sn 60.0 [52] 20 116Sn 67.0 [53] 21 148Nd 61.8—77.0 [54] 22 150Sm 65.0—125.0 [55,56] 23 174Yb 83.0 [57] 24 188Os 80.0—140.0 [58] 25 192Os 79.0—124.0 [55,56] 26 194Pt 77.6—106.0 [59] 27 197Au 77.6—102.0 [60,61] 28 208Pb 75.0—102.0 [62] 29 7Li 114 [63] 30 12C 15.0—216 [64–69] 66.2, 85.0, 100.0, 120.0, 216.0 [70,71] 31 120Sn 60.0, 66.7, 72.0 [46,52,53] 32 14C 105.0 [72] 33 61Ni 33.5—52.6 [73] 序号 参数 数值 序号 参数 数值 1 $ {\overline{V}}_{0} $ 451.00000000 22 $ {a}_{\mathrm{R}\mathrm{S}\mathrm{O}\mathrm{B}0} $ 0.06584537 2 $ {\overline{V}}_{1} $ 15.30000000 23 $ {a}_{\mathrm{I}\mathrm{S}\mathrm{O}\mathrm{A}} $ 0.48015487 3 $ {\overline{V}}_{2} $ 0.48000000 24 $ {a}_{\mathrm{I}\mathrm{S}\mathrm{O}\mathrm{B}0} $ 0.01976280 4 $ {\overline{V}}_{\mathrm{B}} $ 0.00000000 25 $ {r}_{\mathrm{c}\mathrm{A}} $ 1.03999996 5 $ {\overline{V}}_{4} $ 18.73192978 26 $ {r}_{\mathrm{c}\mathrm{B}} $ 1.04000000 6 $ {\overline{W}}_{\mathrm{S}0} $ 30.00000000 27 $ {r}_{\mathrm{S}\mathrm{A}} $ 1.84839511 7 $ {\overline{W}}_{\mathrm{S}1} $ –0.99000000 28 $ {r}_{\mathrm{S}\mathrm{B}} $ 1.46500000 8 $ {\overline{W}}_{\mathrm{S}\mathrm{B}} $ 0.00000000 29 $ {r}_{\mathrm{V}\mathrm{A}} $ 1.93000000 9 $ {\overline{W}}_{\mathrm{S}2} $ 0.00000000 30 $ {r}_{\mathrm{V}\mathrm{B}} $ 1.47000000 10 $ {\overline{W}}_{\mathrm{V}0} $ 10.00000000 31 $ {r}_{\mathrm{R}\mathrm{S}\mathrm{O}\mathrm{A}} $ 1.04999995 11 $ {\overline{W}}_{\mathrm{V}1} $ 13.00000000 32 $ {r}_{\mathrm{R}\mathrm{S}\mathrm{O}\mathrm{B}} $ 1.55366528 12 $ {\overline{W}}_{\mathrm{V}2} $ –0.01200000 33 $ {r}_{\mathrm{I}\mathrm{S}\mathrm{O}\mathrm{A}} $ 1.05001342 13 $ {\overline{V}}_{\mathrm{S}\mathrm{O}} $ 80.00000000 34 $ {r}_{\mathrm{I}\mathrm{S}\mathrm{O}\mathrm{B}} $ 1.75388050 14 $ {\overline{W}}_{\mathrm{S}\mathrm{O}} $ 25.00000000 35 $ {r}_{\mathrm{C}\mathrm{A}} $ 1.25000000 15 $ {a}_{\mathrm{c}\mathrm{A}} $ 0.85000000 36 $ {r}_{\mathrm{C}\mathrm{B}} $ 1.25000000 16 $ {a}_{\mathrm{c}\mathrm{B}0} $ 0.08229566 37 $ {a}_{\mathrm{c}\mathrm{B}1} $ 0.24493097 17 $ {a}_{\mathrm{S}\mathrm{A}} $ 0.35107821 38 $ {a}_{\mathrm{S}\mathrm{B}1} $ 0.35000000 18 $ {a}_{\mathrm{S}\mathrm{B}0} $ 0.34775448 39 $ {a}_{\mathrm{V}\mathrm{B}1} $ 0.09000000 19 $ {a}_{\mathrm{V}\mathrm{A}} $ 0.39626881 40 $ {a}_{\mathrm{R}\mathrm{S}\mathrm{O}\mathrm{B}1} $ 0.11783799 20 $ {a}_{\mathrm{V}\mathrm{B}0} $ 0.38336781 41 $ {a}_{\mathrm{I}\mathrm{S}\mathrm{O}\mathrm{B}1} $ 0.07000000 21 $ {a}_{\mathrm{R}\mathrm{S}\mathrm{O}\mathrm{A}} $ 0.79141617 序号 参数 数值 序号 参数 数值 1 $ {\overline{V}}_{0} $ 1300.00000000 18 $ {a}_{\mathrm{V}0} $ 0.64614904 2 $ {\overline{V}}_{1} $ 9.32954121 19 $ {a}_{\mathrm{S}\mathrm{O}0} $ 0.55000001 3 $ {\overline{V}}_{2} $ –0.03310557 20 $ {r}_{\mathrm{R}0} $ 1.20000005 4 $ {\overline{V}}_{3} $ –45.00000000 21 $ {r}_{\mathrm{S}0} $ 1.24034297 5 $ {\overline{V}}_{4} $ 34.97342682 22 $ {r}_{\mathrm{V}0} $ 1.20000005 6 $ {\overline{W}}_{\mathrm{S}0} $ 27.79658127 23 $ {r}_{\mathrm{S}\mathrm{O}0} $ 1.25000000 7 $ {\overline{W}}_{\mathrm{S}1} $ –0.87972260 24 $ {r}_{\mathrm{C}} $ 1.25000000 8 $ {\overline{W}}_{\mathrm{S}2} $ 1.87557280 25 $ \xi $ 0.11376333 9 $ {\overline{W}}_{\mathrm{S}3} $ 1.07613444 26 $ {a}_{\mathrm{R}1} $ 0.02999442 10 $ {\overline{W}}_{\mathrm{V}0} $ 65.99987030 27 $ {a}_{\mathrm{S}1} $ 0.02947382 11 $ {\overline{W}}_{\mathrm{V}1} $ 5.40153790 28 $ {a}_{\mathrm{V}1} $ –0.03926823 12 $ {\overline{W}}_{\mathrm{V}2} $ 0.08881600 29 $ {a}_{\mathrm{S}\mathrm{O}1} $ 0.00000000 13 $ {\overline{W}}_{\mathrm{V}3} $ –5.09999990 30 $ {r}_{\mathrm{R}1} $ –0.00313194 14 $ {\overline{V}}_{\mathrm{S}\mathrm{O}0} $ 10.00000000 31 $ {r}_{\mathrm{S}1} $ 0.18612149 15 $ {\overline{W}}_{\mathrm{S}\mathrm{O}0} $ 1.00000000 32 $ {r}_{\mathrm{V}1} $ 0.01397228 16 $ {a}_{\mathrm{R}0} $ 0.52152246 33 $ {r}_{\mathrm{S}\mathrm{O}1} $ 0.00000000 17 $ {a}_{\mathrm{S}0} $ 0.34999999 靶核 APOMI SPOOA $ \chi _{\text{f}}^2 $ $ \chi _{\text{e}}^{2} $ $ {\chi ^2} $ $ \chi _{\text{f}}^{2} $ $ \chi _{\text{e}}^{2} $ $ {\chi ^2} $ 9Be 1.39 1.39 2.33 2.33 10B 2.17 2.17 2.89 2.89 11B 4.02 4.02 4.51 4.51 13C 286.27 286.27 467.75 467.75 16O 21.00 162.44 91.72 32.16 147.74 89.95 24Mg 3.11 9.74 6.43 0.38 97.82 49.10 27Al 17.60 17.60 16.52 16.52 28Si 15.43 15.43 7.72 7.72 44Ca 12.05 12.05 6.10 6.10 58Ni 88.30 646.73 367.51 97.93 2046.43 1072.18 60Ni 21.25 1404.33 712.79 35.38 3194.35 1614.86 64Ni 43.28 43.28 42.01 42.01 63Cu 5.06 5.06 4.42 4.42 65Cu 3.90 3.90 5.24 5.24 64Zn 120.98 120.98 579.60 579.60 74Ge 2165.57 2165.57 2468.20 2468.20 90Zr 498.31 498.31 69.48 69.48 92Mo 10.45 10.45 8.45 8.45 112Sn 74.11 74.11 88.79 88.79 116Sn 403.03 403.03 1026.08 1026.08 148Nd 42.07 42.07 21.85 21.85 150Sm 9.20 9.20 5.31 5.31 174Yb 12.57 12.57 9.34 9.34 188Os 80.49 80.49 1422.2 1422.20 192Os 13.57 13.57 3.84 3.84 194Pt 26.65 26.65 30.66 30.66 197Au 32.45 32.45 15.85 15.85 208Pb 33.29 33.29 14.77 14.77 总(以上多核综合) 120.56 361.85 181.87 193.12 772.73 326.79 7Li 166.49 166.49 85.95 85.95 12C 42.23 32018.88 16030.55 42.54 6563.20 3302.87 120Sn 229.43 229.43 354.57 354.57 14C 21.35 21.35 30.14 30.14 61Ni 14.08 14.08 137.80 137.80 靶核 APOMHI(单核) SOOPA(单核) $ \chi _{\text{f}}^{2} $ $ \chi _{\text{e}}^{2} $ $ {\chi ^2} $ $ \chi _{\text{f}}^{2} $ $ \chi _{\text{e}}^{2} $ $ {\chi ^2} $ 7Li 5.79 5.79 5.86 5.86 12C 84.23 1437.90 761.07 109.70 2501.96 1305.83 120Sn 24.84 24.84 15.87 15.87 -
[1] [2] [3] [4] [5] [6] [7] [8] [9] [10] [11] [12] [13] [14] [15] [16] [17] [18] [19] [20] [21] [22] [23] [24] [25] [26] [27] [28] [29] [30] [31] [32] [33] [34] [35] [36] [37] [38] [39] [40] [41] [42] [43] [44] [45] [46] [47] [48] [49] [50] [51] [52] [53] [54] [55] [56] [57] [58] [59] [60] [61] [62] [63] [64] [65] [66] [67] [68] [69] [70] [71] [72] [73] [74] [75] [76] [77] [78] [79] [80] [81] [82]
Catalog
Metrics
- Abstract views: 1592
- PDF Downloads: 26
- Cited By: 0









DownLoad: