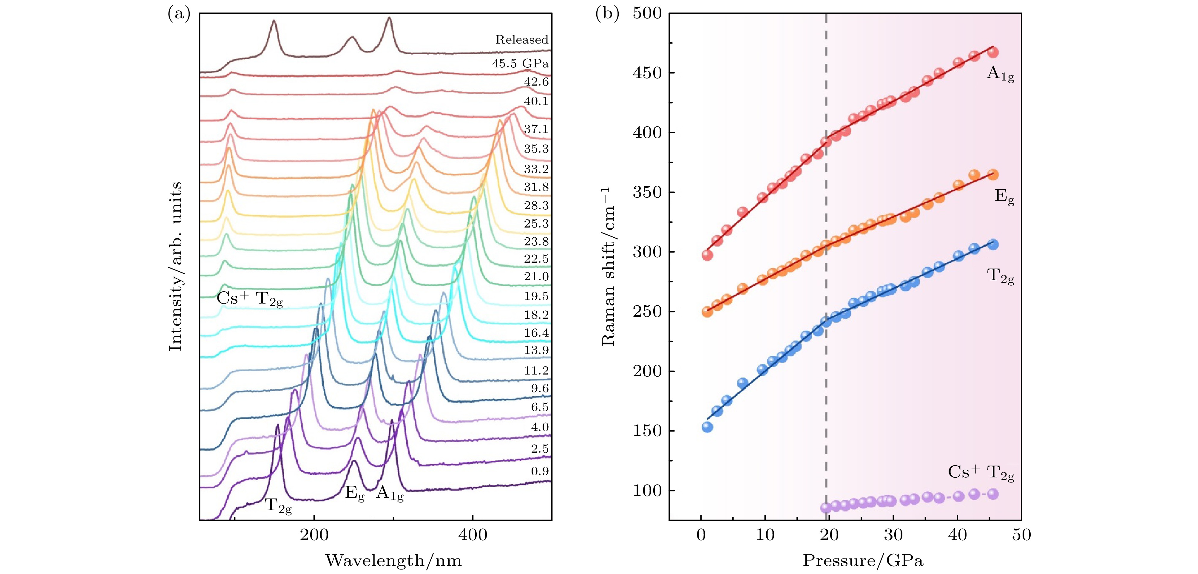
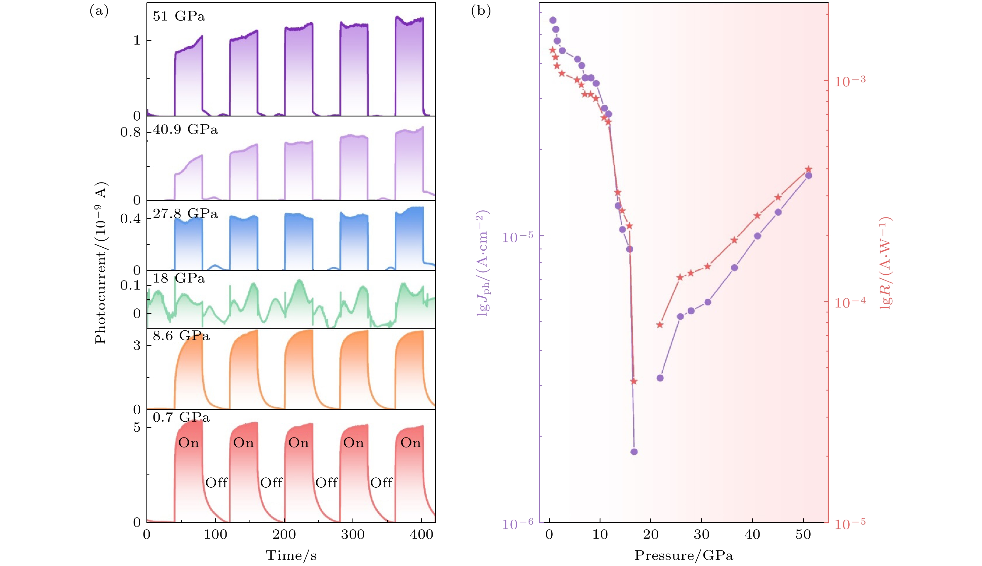
As a core component of modern optoelectronic systems, photodetectors play an indispensable role in optical communications, environmental monitoring, medical imaging, and military detection. With the rapid development of related technologies, the development of novel photodetector materials featuring high sensitivity, fast response, and excellent stability has become a key research focus. Among various candidate materials, A2BX6-type vacancy-ordered double perovskites have attracted significant attention due to their unique crystal structures and outstanding optoelectronic properties. These materials not only possess tunable bandgap structures and high carrier mobility but also demonstrate excellent environmental stability, showing broad application prospects in the field of photodetection. In this study, the optoelectronic response behaviors of a representative lead-free double perovskite, Cs2TeCl6, under high-pressure conditions are systematically investigated. Precise experimental observations reveal an anomalous transition in photocurrent from decrease to increase when the pressure reaches 21.7 GPa. By employing advanced characterization techniques, including high-pressure in situ Raman spectroscopy, UV-Vis absorption spectroscopy, and synchrotron X-ray diffraction, the underlying physical mechanism are elucidated: At the critical pressure of 18 GPa, the material enters an intensified compression stage, leading to a significantly accelerated bandgap narrowing rate. This continuous reduction in bandgap effectively mitigates the weak absorption limitation of the indirect bandgap, enabling efficient absorption of previously unexcitable low-energy photons and ultimately resulting in enhanced photocurrent. This finding not only clarifies the intrinsic relationship between the structure and optoelectronic properties of Cs2TeCl6 at a microscopic level, but, more importantly, offers new insights into regulating the optoelectronic performance of perovskite materials through pressure engineering. These outcomes in this work provide important guidance for developing novel high-performance photodetection devices and establish a valuable research method of optimizing other semiconductor materials. In the future, by further refining material compositions and pressure modulation strategies, the design and fabrication of more efficient and stable photodetector materials can be anticipated.