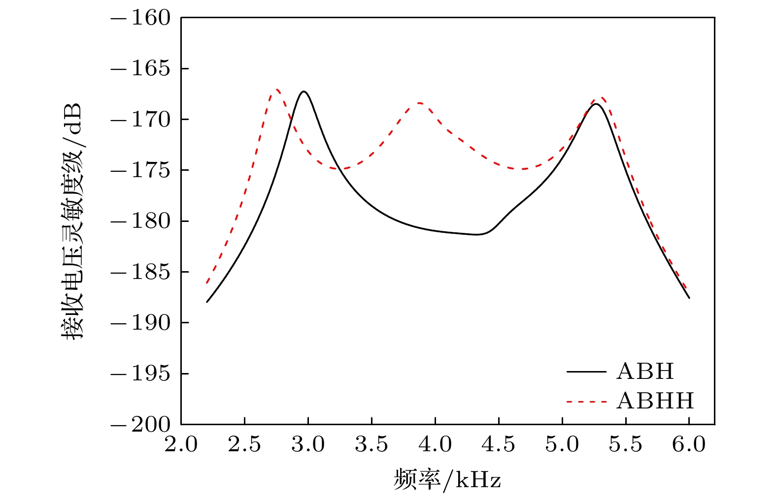
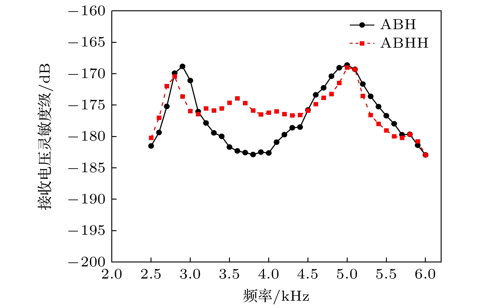
| [1] |
ZHANG Xiuzhen, MO Xiping, CHAI Yong, PAN Rui, TIAN Zhifeng. Low-frequency directional flextensional transducer with concave-convex beam. Acta Physica Sinica,
2025, 74(11): 114301.
doi: 10.7498/aps.74.20250161
|
| [2] |
Yang Ze-Hao, Liu Zi-Wei, Yang Bo, Zhang Cheng-Long, Cai Chen, Qi Zhi-Mei. Performance simulation of terahertz waveguide resonance biochemical sensor based on nanoporous gold films. Acta Physica Sinica,
2022, 71(21): 218701.
doi: 10.7498/aps.71.20220722
|
| [3] |
Li Qin-Ran, Sun Chao, Xie Lei. Modal intensity fluctuation during dynamic propagation of internal solitary waves in shallow water. Acta Physica Sinica,
2022, 71(2): 024302.
doi: 10.7498/aps.71.20211132
|
| [4] |
Gao Fei, Xu Fang-Hua, Li Zheng-Lin, Qin Ji-Xing. Mode coupling and intensity fluctuation of sound propagation over continental slope in presence of internal waves. Acta Physica Sinica,
2022, 71(20): 204301.
doi: 10.7498/aps.71.20220634
|
| [5] |
Duan Jun, Tang Ke, Qin Min, Wang Dan, Wang Mu-Di, Fang Wu, Meng Fan-Hao, Xie Pin-Hua, Liu Jian-Guo, Liu Wen-Qing. Broadband cavity enhanced absorption spectroscopy for measuring atmospheric NO3 radical. Acta Physica Sinica,
2021, 70(1): 010702.
doi: 10.7498/aps.70.20201066
|
| [6] |
. Research on the modal intensity fluctuation during the dynamic propagation of internal solitary waves in the shallow water. Acta Physica Sinica,
2021, (): .
doi: 10.7498/aps.70.20211132
|
| [7] |
Wu Jian, Han Wen, Cheng Zhen-Zhen, Yang Bin, Sun Li-Li, Wang Di, Zhu Cheng-Peng, Zhang Yong, Geng Ming-Xin, Jing Yan. Structure optimization of carbon nanotube ionization sensor based on fluid model. Acta Physica Sinica,
2021, 70(9): 090701.
doi: 10.7498/aps.70.20201828
|
| [8] |
Zhou Zi-Xin, Huang Yin-Bo, Lu Xing-Ji, Yuan Zi-Hao, Cao Zhen-Song. Design and experiment of re-injection off-axis integrated cavity output spectroscopy technology in 2 μm band. Acta Physica Sinica,
2019, 68(12): 129201.
doi: 10.7498/aps.68.20190061
|
| [9] |
Yan De-Xian, Li Jiu-Sheng, Wang Yi. High sensitivity terahertz refractive index sensor based on sunflower-shaped circular photonic crystal. Acta Physica Sinica,
2019, 68(20): 207801.
doi: 10.7498/aps.68.20191024
|
| [10] |
Ma Yu-Fei, He Ying, Yu Xin, Yu Guang, Zhang Jing-Bo, Sun Rui. Research on high sensitivity detection of carbon monoxide based on quantum cascade laser and quartz-enhanced photoacoustic spectroscopy. Acta Physica Sinica,
2016, 65(6): 060701.
doi: 10.7498/aps.65.060701
|
| [11] |
Shi Sheng-Cai, Li Jing, Zhang Wen, Miao Wei. Terahertz high-sensitivity superconducting detectors. Acta Physica Sinica,
2015, 64(22): 228501.
doi: 10.7498/aps.64.228501
|
| [12] |
Li Ke-Wu, Wang Zhi-Bin, Chen You-Hua, Yang Chang-Qing, Zhang Rui. High sensitive measurement of optical rotation based on photo-elastic modulation. Acta Physica Sinica,
2015, 64(18): 184206.
doi: 10.7498/aps.64.184206
|
| [13] |
An Ping, Guo Hao, Chen Meng, Zhao Miao-Miao, Yang Jiang-Tao, Liu Jun, Xue Chen-Yang, Tang Jun. Preparation and force-sensitive properties of carbon nanotube/polydimethylsiloxane composites films. Acta Physica Sinica,
2014, 63(23): 237306.
doi: 10.7498/aps.63.237306
|
| [14] |
Tian He, Sun Wei-Min, Zhang Yun-Dong. Phase sensitivity of rotation sensing in coupled resonator waveguides. Acta Physica Sinica,
2013, 62(19): 194204.
doi: 10.7498/aps.62.194204
|
| [15] |
Yang Shen, Rong Qiang-Zhou, Sun Hao, Zhang Jing, Liang Lei, Xu Qin-Fang, Zhan Su-Chang, Du Yan-Ying, Feng Ding-Yi, Qiao Xue-Guang, Hu Man-Li. High temperature probe sensor with high sensitivity based on Michelson interferometer. Acta Physica Sinica,
2013, 62(8): 084218.
doi: 10.7498/aps.62.084218
|
| [16] |
Zhang Zhe, Liu Qian, Qi Zhi-Mei. Study of Au-Ag alloy film based infrared surface plasmon resonance sensors. Acta Physica Sinica,
2013, 62(6): 060703.
doi: 10.7498/aps.62.060703
|
| [17] |
Lou Shu-Qin, Wang Xin, Yin Guo-Lu, Han Bo-Lin. Curvature sensor based on side-leakage photonic crystal fiber with high sensitivity and broad linear measurement range. Acta Physica Sinica,
2013, 62(19): 194209.
doi: 10.7498/aps.62.194209
|
| [18] |
Lu Dan-Feng, Qi Zhi-Mei. Characterization and chemical/biosensing application of a high-sensitivity integrated optical polarimetric interferometer. Acta Physica Sinica,
2012, 61(11): 114212.
doi: 10.7498/aps.61.114212
|
| [19] |
Wang Ze-Feng, Hu Yong-Ming, Meng Zhou, Luo Hong, Ni Ming. Frequency response of fourth-order acoustic low-pass filtering fiber-optic hydrophones. Acta Physica Sinica,
2009, 58(10): 7034-7043.
doi: 10.7498/aps.58.7034
|
| [20] |
Zhu Tao, Rao Yun-Jiang, Mo Qiu-Ju. A high sensitivity fiber-optic torsion sensor based on a novel ultra long-period fiber grating. Acta Physica Sinica,
2006, 55(1): 249-253.
doi: 10.7498/aps.55.249
|