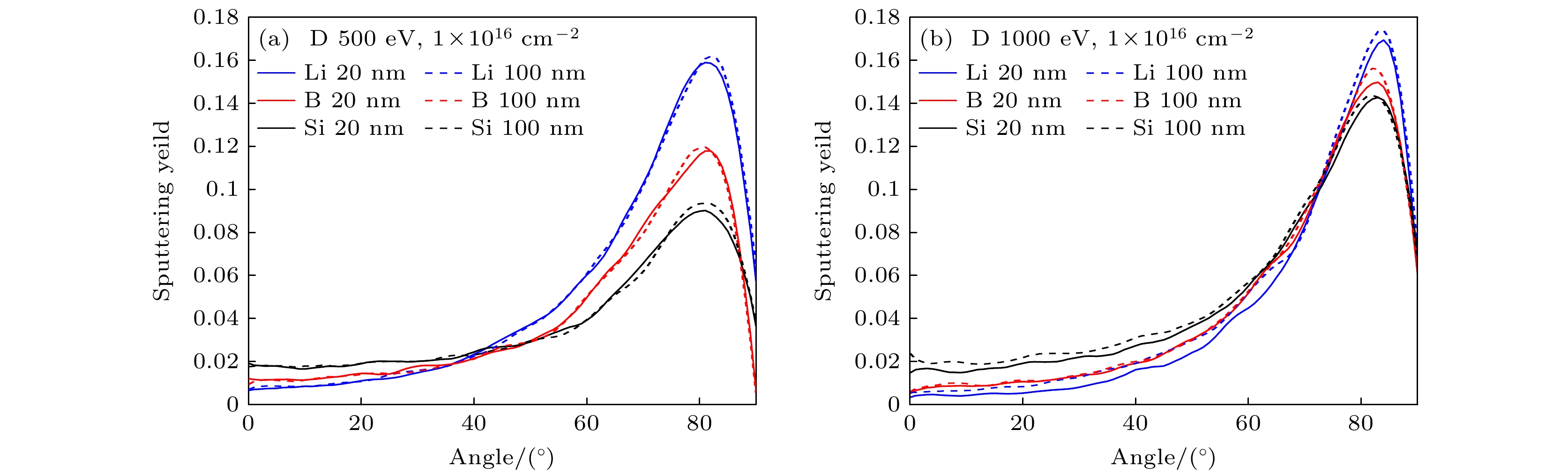
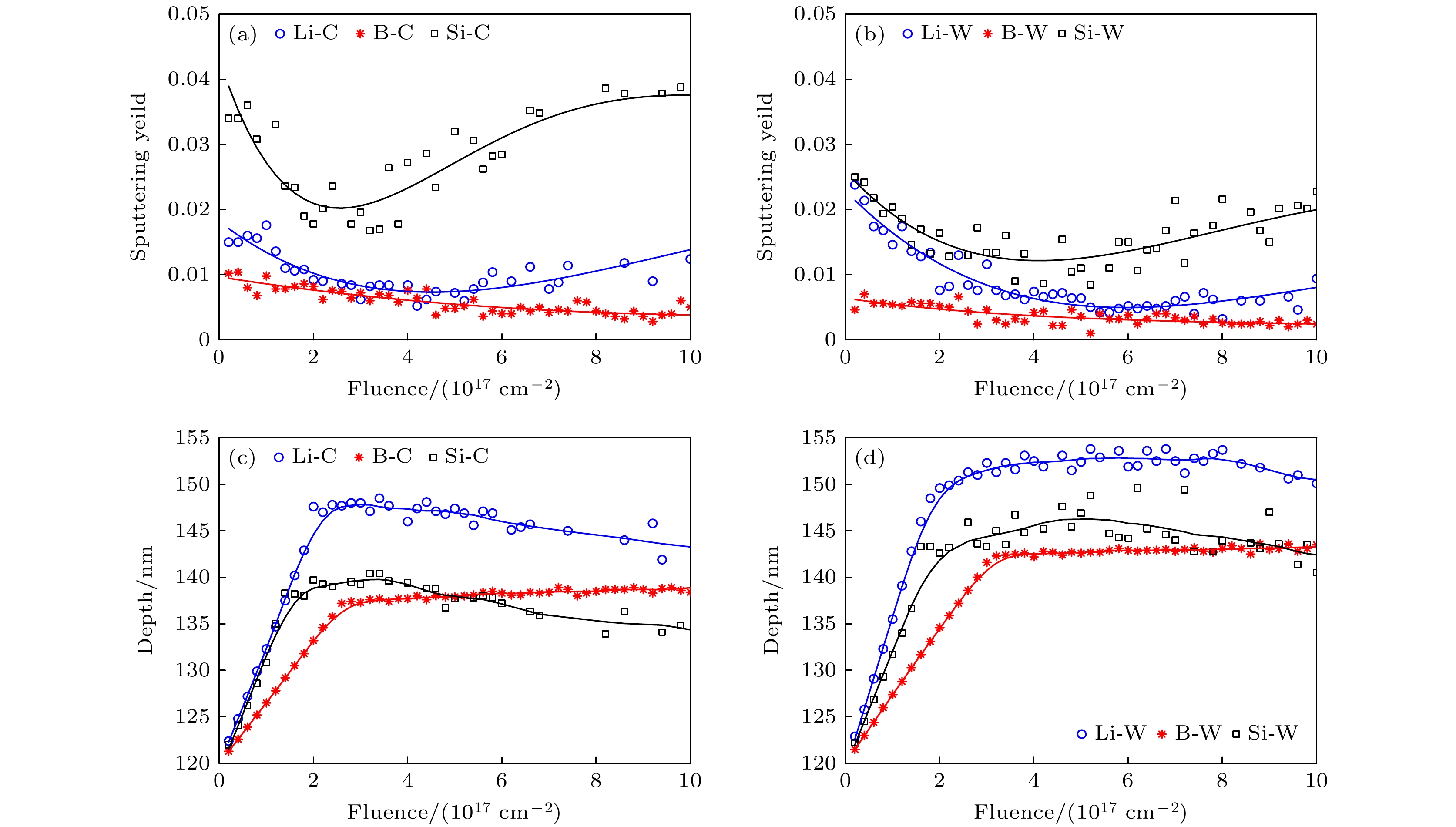
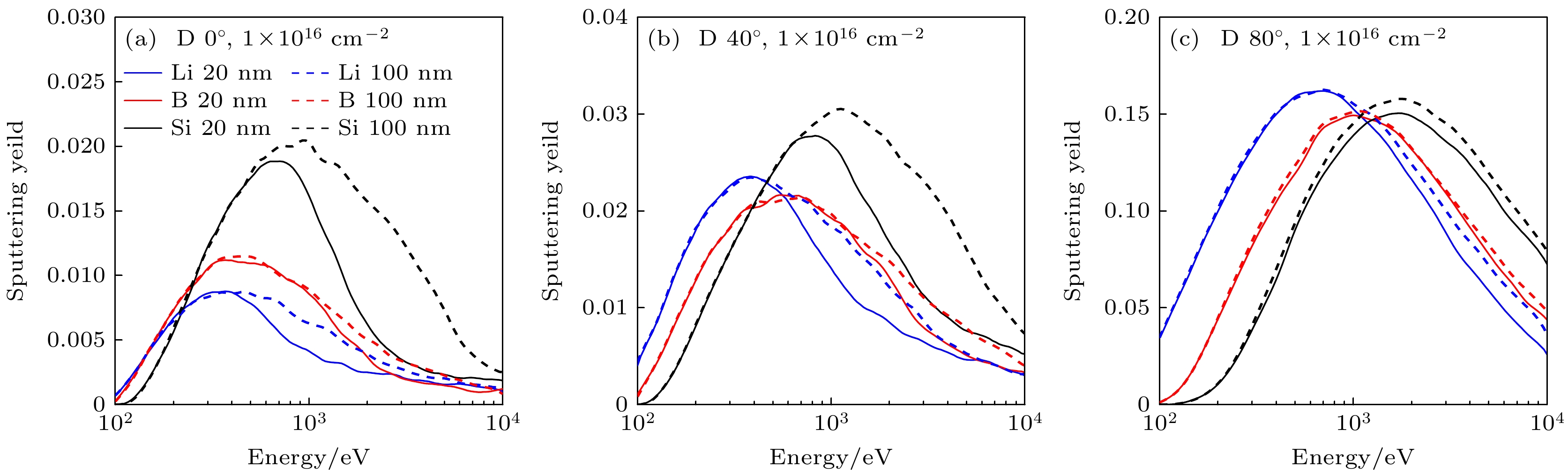
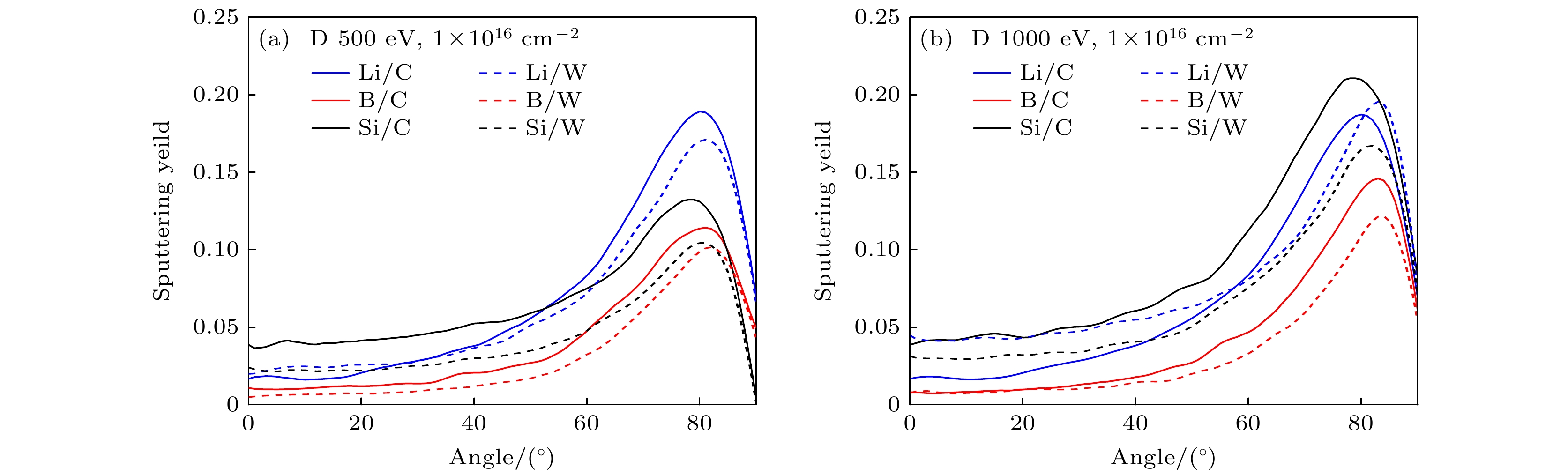
Wall conditioning coatings—lithium (Li), boron (B) and silicon (Si)—introduced by lithiumization, boronization, or siliconization, serve as a critical strategy for suppressing fuel recycling and reducing impurity fluxes from the wall of a tokamak. These techniques directly improve plasma initiation, reproducibility, energy confinement, and operational stability in fusion devices. However, these coatings undergo both physical and chemical sputtering by boundary plasma bombardment. This erosion behavior critically determines coating lifetime and, consequently, long-pulse plasma performance. To evaluate the influence of physical sputtering on coating durability and to compare material-specific differences, binary collision approximation (BCA) simulations are conducted to investigate the physical sputtering behaviors of Li, B, and Si coatings. Carbon (C) and tungsten (W) substrates are also modeled to assess interface effects. The results reveal the significant differences in sputtering yields between Li, B, and Si in incident angles and deuterium energies. Owing to its low surface binding energy, lithium exhibits the highest sputtering yield at large angles and low energies, while silicon, with the highest atomic number, presents the highest sputtering yield at small angles and high energies. Sputtering yields of carbon-based and tungsten-based coatings vary with angle and energy, driven by their differences of deuterium backscattering and substrate sputtering at the interface. Notably, for tungsten-based coatings, the sputtering yields increase dramatically at specific energies. This occurs because tungsten’s high surface binding energy causes incident deuterium atoms to reflect off the tungsten interface and then collide with coating elements. Consequently, when the energy transferred to the surface element is higher than its sputtering threshold, the sputtering yield increases. Additionally, increasing incident fluence modifies the target composition, leading to corresponding changes in the sputtering yields of coating materials. In summary, coating materials should be selected according to the expected angle distribution and energy distribution of the incident plasma particles. To suppress the abrupt yield increase observed in tungsten substrates at specific energies, the coatings must be sufficiently thick. These findings provide a theoretical basis for selecting conditioning materials and optimizing wall conditioning strategies in fusion devices.