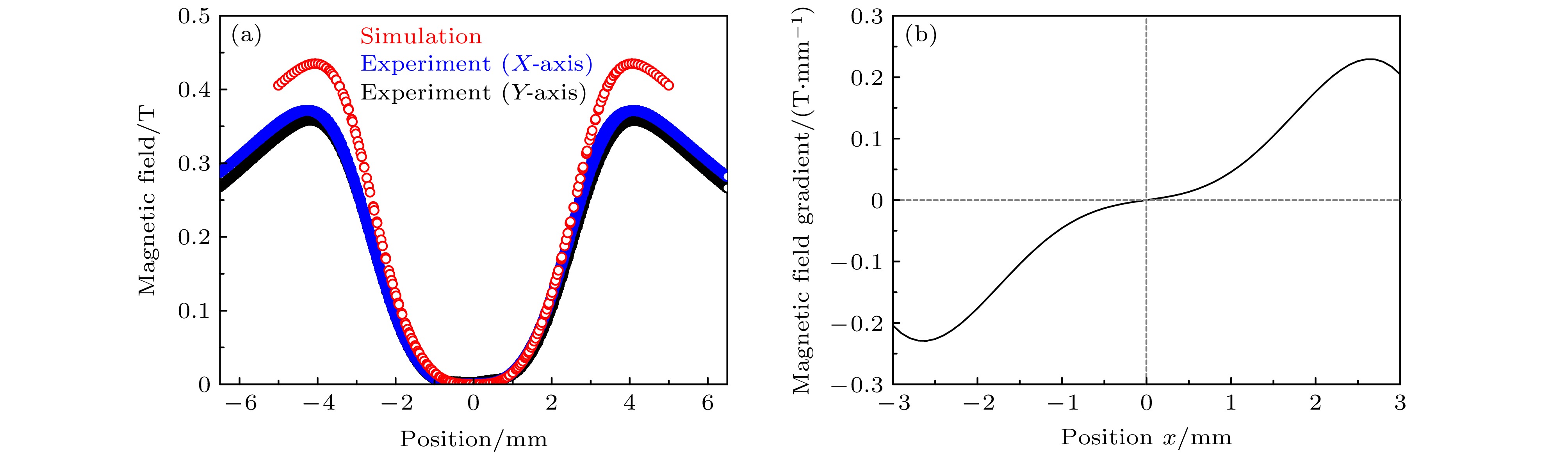
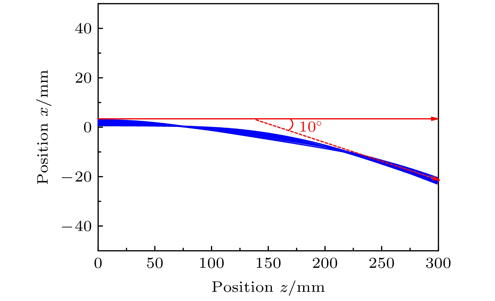
Studying low-temperature atomic and molecular reaction dynamics in quantum state selection is one of the key research methods for exploring the collision reaction mechanisms and revealing quantum effects in scattering processes. The merging beam collision experimental method is a powerful approach to achieving cold collisions of mK collision energy, by deflecting one reactant beam to collide with another reactant beam in a collinear manner.In this work, based on the Zeeman effect, the interaction between atomic magnetic moments and a magnetic field, a permanent-magnet “magnetic guide” system is developed to deflect metastable helium atom beams, with the aim of achieving collinear transport of neutral helium atoms and molecules in cold merged-beams collisions. Metastable helium atoms He(23S1) are produced through RF discharge. Utilizing this “magnetic guide”, the quantum-state-resolved neutral helium atoms (He(23S1), $ {M_J} = + 1 $) are prepared. Helium flux measurements demonstrate about 10°deflection of metastable helium atoms with a flux exceeding 106 atoms/s, accompanied by successful preparation of $ {M_J} = + 1 $ magnetic sublevel helium atoms. Furthermore, by combining the magnetic field measurements and magnetic force calculations for 23S1 metastable helium atom, the simulated trajectories propagating through the magnetic guide are analyzed.This work lays an experimental foundation for quantum-state-resolved cold collisions between excited-state helium and molecules below 1 K, advancing the understanding of cold reaction mechanisms governing the evolution of interstellar media and promoting chemical reaction control. The developed magnetic guidance technology in this study also has important application prospects in fields such as atomic velocity filtering and cold atom transport.In the future, optical pumping experimental methods will be employed to pump 23S1 helium atoms into the $ {M_J} = + 1 $ magnetic sublevel helium atoms, enhancing the population of single quantum state. Moreover, two-dimensional magneto-optical traps and optical molasses will be implemented to optimize beam, which is expected to further improve the beam flux of helium atoms.