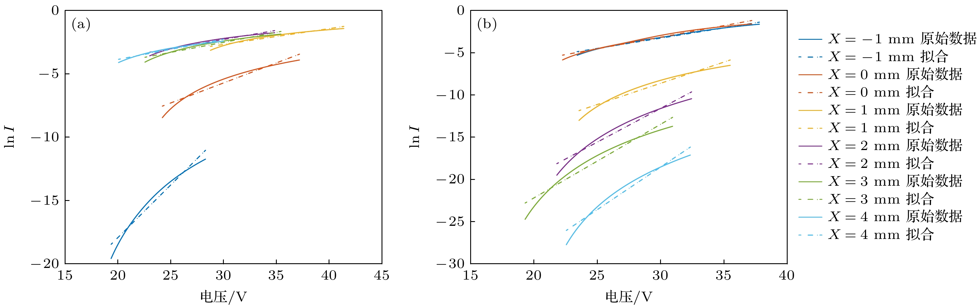
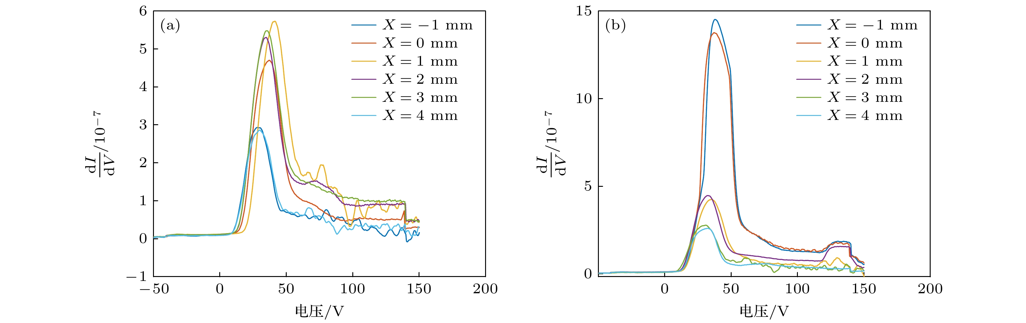
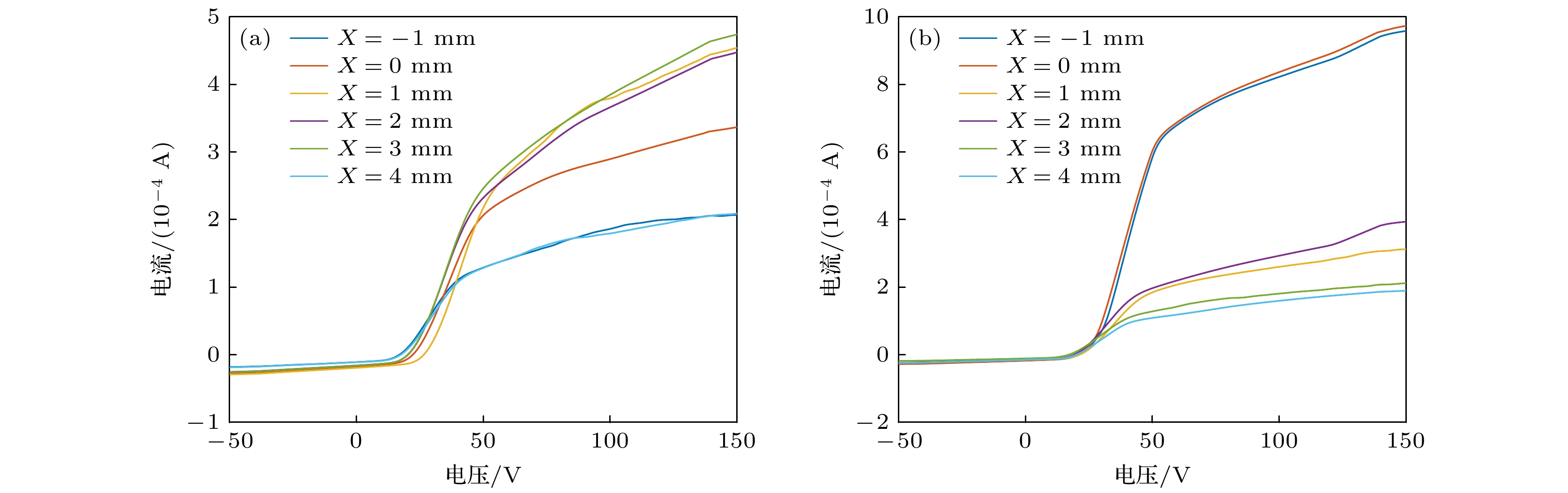
| [1] |
WU Jiahao, ZENG Ming, LIU Hui, YU Daren. Research on Mode Transition of Micro-Newton Cusped Field Hall Thruster. Acta Physica Sinica,
2026, 75(3): .
doi: 10.7498/aps.75.20251214
|
| [2] |
LIANG Yuanyi, FANG Zhensong, HE Yafeng, LI Qing, HE Shoujie. Experiment and simulation on spatiotemporal microscopic dynamics of self-pulsing discharge in micro-hollow cathode. Acta Physica Sinica,
2025, 74(5): 055201.
doi: 10.7498/aps.74.20241586
|
| [3] |
Lü Yu-Xi, Wang Chen, Duan Tian-Qi, Zhao Tong, Chang Peng-Fa, Wang An-Bang. Asymmetric transmission of cascaded acousto-optic device and whispering gallery mode microcavity. Acta Physica Sinica,
2024, 73(1): 014101.
doi: 10.7498/aps.73.20230653
|
| [4] |
Zhi Wen-Qiang, Fei Hong-Ming, Han Yu-Hui, Wu Min, Zhang Ming-Da, Liu Xin, Cao Bin-Zhao, Yang Yi-Biao. Unidirectional transmission of funnel-shaped waveguide with complete bandgap. Acta Physica Sinica,
2022, 71(3): 038501.
doi: 10.7498/aps.71.20211299
|
| [5] |
Yang Jia-Hao, Zhang Ao-Yan, Xia Chang-Ming, Deng Zhi-Peng, Liu Jian-Tao, Huang Zhuo-Yuan, Kang Jia-Jian, Zeng Hao-Ran, Jiang Ren-Jie, Mo Zhi-Feng, Hou Zhi-Yun, Zhou Gui-Yao. Preparation and mode conversion application of narrowband hollow-core anti-resonant fiber. Acta Physica Sinica,
2022, 71(13): 134207.
doi: 10.7498/aps.70.20212194
|
| [6] |
. Study on unidirectional transmission of funnel-shaped waveguide with complete bandgap. Acta Physica Sinica,
2021, (): .
doi: 10.7498/aps.70.20211299
|
| [7] |
Zhou Yu, Cao Li-Yang, Ma Xiao-Ping, Deng Li-Li, Xin Yu. Diagnosis of capacitively coupled plasma driven by pulse-modulated 27.12 MHz by using an emissive probe. Acta Physica Sinica,
2020, 69(8): 085201.
doi: 10.7498/aps.69.20191864
|
| [8] |
Liu Hui, Jiang Wen-Jia, Ning Zhong-Xi, Cui Kai, Zeng Ming, Cao Xi-Feng, Yu Da-Ren. Cusped field thruster using different propellants. Acta Physica Sinica,
2018, 67(14): 145201.
doi: 10.7498/aps.67.20180366
|
| [9] |
Wang Chen, An Hong-Hai, Jia Guo, Fang Zhi-Heng, Wang Wei, Meng Xiang-Fu, Xie Zhi-Yong, Wang Shi-Ji. Diagnosis of high-Z plasma with soft X-ray laser probe. Acta Physica Sinica,
2014, 63(21): 215203.
doi: 10.7498/aps.63.215203
|
| [10] |
Qing Shao-Wei, E Peng, Duan Ping. Effect of electron temperature anisotropy on plasma-wall interaction in Hall thruster. Acta Physica Sinica,
2012, 61(20): 205202.
doi: 10.7498/aps.61.205202
|
| [11] |
Hao Peng, Wu Yi-Hui, Zhang Ping. Study of interaction of surface plasmon resonance sensor with nano-gold. Acta Physica Sinica,
2010, 59(9): 6532-6537.
doi: 10.7498/aps.59.6532
|
| [12] |
Niu Tian-Ye, Cao Jin-Xiang, Liu Lei, Liu Jin-Ying, Wang Yan, Wang Liang, Lü You, Wang Ge, Zhu Ying. The techniques of single probe and emission spectroscopy diagnostics in low temperature argon plasmas. Acta Physica Sinica,
2007, 56(4): 2330-2336.
doi: 10.7498/aps.56.2330
|
| [13] |
Xu Miao-Hua, Liang Tian-Jiao, Zhang Jie. Bremsstrahlung diagnostics of hot electrons in laser-plasma interactions. Acta Physica Sinica,
2006, 55(5): 2357-2363.
doi: 10.7498/aps.55.2357
|
| [14] |
CHI LING-FEI, LIN KUI-XUN, YAO RUO-HE, LIN XUAN-YING, YU CHU-YING, YU YUN-PENG. DIAGNOSTIC OF RF PLASMA BY USING LANGMUIR PROBE AND ITS NUMERICAL PROCESSING. Acta Physica Sinica,
2001, 50(7): 1313-1317.
doi: 10.7498/aps.50.1313
|
| [15] |
YAO RUO-HE, CHI LING-FEI, LIN XUAN-YING, SHI WANG-ZHOU, LIN KUI-XUN. THE DIAGNOSTICS OF RF GLOW DISCHARGE PLASMA BY A PROBE AND ITS DATA PROCESS. Acta Physica Sinica,
2000, 49(5): 922-925.
doi: 10.7498/aps.49.922
|
| [16] |
YU WEI, XU ZHI-ZHAN, MA JIN-XIU, CHEN RONG-QING. DEVELOPMENT OF THREE-WAVE INTERACTIONS IN A PLASMA BEAT-WAVE ACCELERATOR. Acta Physica Sinica,
1993, 42(3): 431-436.
doi: 10.7498/aps.42.431
|
| [17] |
ZHU WEN-HAO, ZHU NAN-QIANG, CHEN YUE-SHAN. PROBE DIAGNOSTICS OF THE ELECTRON ENERGY DISTRIBUTION FUNCTION IN A LOW PRESSURE RF PLASMA. Acta Physica Sinica,
1989, 38(2): 236-246.
doi: 10.7498/aps.38.236
|
| [18] |
JIANG ZHI-MING, XU ZHI-ZHAN, CHEN SHI-SHENG, LIN LI-HUANG, ZHANG WEI-QING, QIAN AI-DI. INVESTIGATION OF LASER-PRODUCED PLASMA USING MULTI-FRAME OPTICAL PROBING DIAGNOSTICS. Acta Physica Sinica,
1988, 37(10): 1658-1663.
doi: 10.7498/aps.37.1658
|
| [19] |
YU WEI, XU ZHI-ZHAN, CHEN ZE-ZUN. THE TWO MODE CONVERSION IN AN INHOMOGENEOUS MAGNETIZED PLASMA. Acta Physica Sinica,
1987, 36(3): 382-385.
doi: 10.7498/aps.36.382
|
| [20] |
ZHU WEN-HAO, WU YI-FENG, CHEN YUE-SHAN. INFLUENCE OF THE HIGH FREQUENCY ELECTRIC FIELD ON THE PLASMA DIAGNOSTICS BY THE DOUBLE PROBE. Acta Physica Sinica,
1986, 35(11): 1426-1435.
doi: 10.7498/aps.35.1426
|