必威体育下载 //m.getgobooth.com/ Acta Physica Sinica daily 15 2024-11-21 09:33:26 apsoffice@iphy.ac.cn apsoffice@iphy.ac.cn 2024-11-21 09:33:26 zh 版权所有 ©必威体育下载 京ICP备05002789号-1 地址:北京市603信箱,《必威体育下载 》编辑部邮编:100190 电话:010-82649829,82649241,82649863Email:apsoffice@iphy.ac.cn



必威体育下载 . 2024 73(21): 210701. 刊出日期: 2024-11-05 邓祥文, 伍力源, 赵锐, 王嘉鸥, 赵丽娜



必威体育下载 . 2024 73(21): 210701. Published 2024-11-05
机器学习在光电子能谱中的应用及展望 邓祥文, 伍力源, 赵锐, 王嘉鸥, 赵丽娜 2024-11-05T00:00:00+00:00 Personal use only, all commercial or other reuse prohibited 必威体育下载 . 2024 73(21): 210701. article doi:10.7498/aps.73.20240957



必威体育下载 . 2024 73(21): 218701. 刊出日期: 2024-11-05 窦玉江, 李文文, 魏裕双, 杨恺, 元冰



必威体育下载 . 2024 73(21): 218701. Published 2024-11-05
光电压瞬态技术: 实时分析膜界面动态过程的新手段 窦玉江, 李文文, 魏裕双, 杨恺, 元冰 2024-11-05T00:00:00+00:00 Personal use only, all commercial or other reuse prohibited 必威体育下载 . 2024 73(21): 218701. article doi:10.7498/aps.73.20241093



必威体育下载 . 2024 73(21): 218702. 刊出日期: 2024-11-05 黄晓东, 贺彬烜, 宋震, 弭元元, 屈支林, 胡岗



必威体育下载 . 2024 73(21): 218702. Published 2024-11-05
心律失常的多尺度建模、计算与动力学理论进展综述 黄晓东, 贺彬烜, 宋震, 弭元元, 屈支林, 胡岗 2024-11-05T00:00:00+00:00 Personal use only, all commercial or other reuse prohibited 必威体育下载 . 2024 73(21): 218702. article doi:10.7498/aps.73.20240977



必威体育下载 . 2024 73(21): 210201. 刊出日期: 2024-11-05 廖宇轩, 申文龙, 吴学志, 喇永孝, 柳文波



必威体育下载 . 2024 73(21): 210201. Published 2024-11-05
陶瓷型复合燃料烧结过程的相场模拟研究 廖宇轩, 申文龙, 吴学志, 喇永孝, 柳文波 2024-11-05T00:00:00+00:00 Personal use only, all commercial or other reuse prohibited 必威体育下载 . 2024 73(21): 210201. article doi:10.7498/aps.73.20241112



必威体育下载 . 2024 73(21): 210301. 刊出日期: 2024-11-05 赵林阳, 贺衎, 张艳芳



必威体育下载 . 2024 73(21): 210301. Published 2024-11-05
含噪声的三体量子非局域共享的持久性 赵林阳, 贺衎, 张艳芳 2024-11-05T00:00:00+00:00 Personal use only, all commercial or other reuse prohibited 必威体育下载 . 2024 73(21): 210301. article doi:10.7498/aps.73.20241150



必威体育下载 . 2024 73(21): 210302. 刊出日期: 2024-11-05 吴晓东, 黄端



必威体育下载 . 2024 73(21): 210302. Published 2024-11-05
基于非理想测量基选择的水下连续变量量子密钥分发方案 吴晓东, 黄端 2024-11-05T00:00:00+00:00 Personal use only, all commercial or other reuse prohibited 必威体育下载 . 2024 73(21): 210302. article doi:10.7498/aps.73.20240804



必威体育下载 . 2024 73(21): 210501. 刊出日期: 2024-11-05 周双, 尹彦力, 王诗雨, 张盈谦



必威体育下载 . 2024 73(21): 210501. Published 2024-11-05
n维离散超混沌系统及其在音频加密中的应用 周双, 尹彦力, 王诗雨, 张盈谦 2024-11-05T00:00:00+00:00 Personal use only, all commercial or other reuse prohibited 必威体育下载 . 2024 73(21): 210501. article doi:10.7498/aps.73.20241028



必威体育下载 . 2024 73(21): 210502. 刊出日期: 2024-11-05 陈亮, 郭志良, 李永行, 张健, 唐铁桥, 陈艳艳



必威体育下载 . 2024 73(21): 210502. Published 2024-11-05
零视野条件下考虑结伴行为的行人疏散研究 陈亮, 郭志良, 李永行, 张健, 唐铁桥, 陈艳艳 2024-11-05T00:00:00+00:00 Personal use only, all commercial or other reuse prohibited 必威体育下载 . 2024 73(21): 210502. article doi:10.7498/aps.73.20241007



必威体育下载 . 2024 73(21): 214201. 刊出日期: 2024-11-05 袁鹏举, 杨蕴哲, 董世杰, 唐苗苗



必威体育下载 . 2024 73(21): 214201. Published 2024-11-05
镜像与反镜像扭曲高斯谢尔模光束的传输特性 袁鹏举, 杨蕴哲, 董世杰, 唐苗苗 2024-11-05T00:00:00+00:00 Personal use only, all commercial or other reuse prohibited 必威体育下载 . 2024 73(21): 214201. article doi:10.7498/aps.73.20241023



必威体育下载 . 2024 73(21): 214202. 刊出日期: 2024-11-05 李佳凝, 刘雯, 任志君



必威体育下载 . 2024 73(21): 214202. Published 2024-11-05
虚源法研究广义抛物光束的近场传输 李佳凝, 刘雯, 任志君 2024-11-05T00:00:00+00:00 Personal use only, all commercial or other reuse prohibited 必威体育下载 . 2024 73(21): 214202. article doi:10.7498/aps.73.20241026



必威体育下载 . 2024 73(21): 214203. 刊出日期: 2024-11-05 张嘉禧, 李凌峰, 钟洪文, 肖嘉莹



必威体育下载 . 2024 73(21): 214203. Published 2024-11-05
用于深层组织分子成像的小型化光声/超声内窥成像探头 张嘉禧, 李凌峰, 钟洪文, 肖嘉莹 2024-11-05T00:00:00+00:00 Personal use only, all commercial or other reuse prohibited 必威体育下载 . 2024 73(21): 214203. article doi:10.7498/aps.73.20241076



必威体育下载 . 2024 73(21): 214204. 刊出日期: 2024-11-05 禄靖雯, 赵瑾, 张永春, 涂茹婷, 刘馥妮, 冷稚华



必威体育下载 . 2024 73(21): 214204. Published 2024-11-05
固态照明用Li2Gd4(MoO4)7:Sm3+橙红色荧光粉的结构和发光特性 禄靖雯, 赵瑾, 张永春, 涂茹婷, 刘馥妮, 冷稚华 2024-11-05T00:00:00+00:00 Personal use only, all commercial or other reuse prohibited 必威体育下载 . 2024 73(21): 214204. article doi:10.7498/aps.73.20241017



必威体育下载 . 2024 73(21): 214301. 刊出日期: 2024-11-05 黄泽鑫, 圣宗强, 程乐乐, 曹三祝, 陈华俊, 吴宏伟



必威体育下载 . 2024 73(21): 214301. Published 2024-11-05
一维非互易声学晶体的非厄米趋肤态操控 黄泽鑫, 圣宗强, 程乐乐, 曹三祝, 陈华俊, 吴宏伟 2024-11-05T00:00:00+00:00 Personal use only, all commercial or other reuse prohibited 必威体育下载 . 2024 73(21): 214301. article doi:10.7498/aps.73.20241087



必威体育下载 . 2024 73(21): 214401. 刊出日期: 2024-11-05 王宇枭, 成泽帅, 江可扬, 魏琳扬, 历秀明



必威体育下载 . 2024 73(21): 214401. Published 2024-11-05
基于辐射制冷与电致变色的可调节多层膜性能研究 王宇枭, 成泽帅, 江可扬, 魏琳扬, 历秀明 2024-11-05T00:00:00+00:00 Personal use only, all commercial or other reuse prohibited 必威体育下载 . 2024 73(21): 214401. article doi:10.7498/aps.73.20240863



必威体育下载 . 2024 73(21): 215201. 刊出日期: 2024-11-05 赵明亮, 邢思雨, 唐雯, 张钰如, 高飞, 王友年



必威体育下载 . 2024 73(21): 215201. Published 2024-11-05
面向半导体工艺的平面线圈感性耦合氩等离子体源的三维流体模拟研究 赵明亮, 邢思雨, 唐雯, 张钰如, 高飞, 王友年 2024-11-05T00:00:00+00:00 Personal use only, all commercial or other reuse prohibited 必威体育下载 . 2024 73(21): 215201. article doi:10.7498/aps.73.20240952



必威体育下载 . 2024 73(21): 215202. 刊出日期: 2024-11-05 杨楠楠, 王尚民, 张家良, 温小琼, 赵凯



必威体育下载 . 2024 73(21): 215202. Published 2024-11-05
改进型机-电模型及脉冲等离子体推力器能量转化效率分析 杨楠楠, 王尚民, 张家良, 温小琼, 赵凯 2024-11-05T00:00:00+00:00 Personal use only, all commercial or other reuse prohibited 必威体育下载 . 2024 73(21): 215202. article doi:10.7498/aps.73.20241117



必威体育下载 . 2024 73(21): 216101. 刊出日期: 2024-11-05 莫云飞, 蒋丽贵, 稂林, 文大东, 张海涛, 李媛, 田泽安, 彭平, 刘让苏



必威体育下载 . 2024 73(21): 216101. Published 2024-11-05
高压下金属钽液体中拓扑密堆团簇对凝固路径的影响规律 莫云飞, 蒋丽贵, 稂林, 文大东, 张海涛, 李媛, 田泽安, 彭平, 刘让苏 2024-11-05T00:00:00+00:00 Personal use only, all commercial or other reuse prohibited 必威体育下载 . 2024 73(21): 216101. article doi:10.7498/aps.73.20241089



必威体育下载 . 2024 73(21): 216102. 刊出日期: 2024-11-05 姬慧慧, 高兴国, 李枝兰



必威体育下载 . 2024 73(21): 216102. Published 2024-11-05
铜/锰异质结中维度驱动的交换耦合效应 姬慧慧, 高兴国, 李枝兰 2024-11-05T00:00:00+00:00 Personal use only, all commercial or other reuse prohibited 必威体育下载 . 2024 73(21): 216102. article doi:10.7498/aps.73.20240849



必威体育下载 . 2024 73(21): 216103. 刊出日期: 2024-11-05 赵有鹏, 刘晓勇, 刘辉, 房坤, 王佳, 罗先甫, 徐宁, 孙绪鲁, 刘煜, 高宇昊, 吴泽鹏, 李雪峰, 张欣耀



必威体育下载 . 2024 73(21): 216103. Published 2024-11-05
Ti-2.5Al-2Zr-1Fe在慢应变速率下的氢脆行为与机理研究 赵有鹏, 刘晓勇, 刘辉, 房坤, 王佳, 罗先甫, 徐宁, 孙绪鲁, 刘煜, 高宇昊, 吴泽鹏, 李雪峰, 张欣耀 2024-11-05T00:00:00+00:00 Personal use only, all commercial or other reuse prohibited 必威体育下载 . 2024 73(21): 216103. article doi:10.7498/aps.73.20240896



必威体育下载 . 2024 73(21): 216701. 刊出日期: 2024-11-05 谢轲, 罗继红, 姚星灿



必威体育下载 . 2024 73(21): 216701. Published 2024-11-05
基于退磁冷却的镝原子玻色-爱因斯坦凝聚制备 谢轲, 罗继红, 姚星灿 2024-11-05T00:00:00+00:00 Personal use only, all commercial or other reuse prohibited 必威体育下载 . 2024 73(21): 216701. article doi:10.7498/aps.73.20241299



必威体育下载 . 2024 73(21): 217101. 刊出日期: 2024-11-05 王壮, 金凡, 李伟, 阮嘉艺, 王龙飞, 吴雪莲, 张义坤, 袁晨晨



必威体育下载 . 2024 73(21): 217101. Published 2024-11-05
设计制备具有优异形成能力和磁热效应的GdHoErCoNiAl高熵非晶合金 王壮, 金凡, 李伟, 阮嘉艺, 王龙飞, 吴雪莲, 张义坤, 袁晨晨 2024-11-05T00:00:00+00:00 Personal use only, all commercial or other reuse prohibited 必威体育下载 . 2024 73(21): 217101. article doi:10.7498/aps.73.20241132



必威体育下载 . 2024 73(21): 217201. 刊出日期: 2024-11-05 张磊, 陈起航, 曹硕, 钱萍



必威体育下载 . 2024 73(21): 217201. Published 2024-11-05
基于第一性原理计算单层IrSCl和IrSI的载流子迁移率 张磊, 陈起航, 曹硕, 钱萍 2024-11-05T00:00:00+00:00 Personal use only, all commercial or other reuse prohibited 必威体育下载 . 2024 73(21): 217201. article doi:10.7498/aps.73.20241044



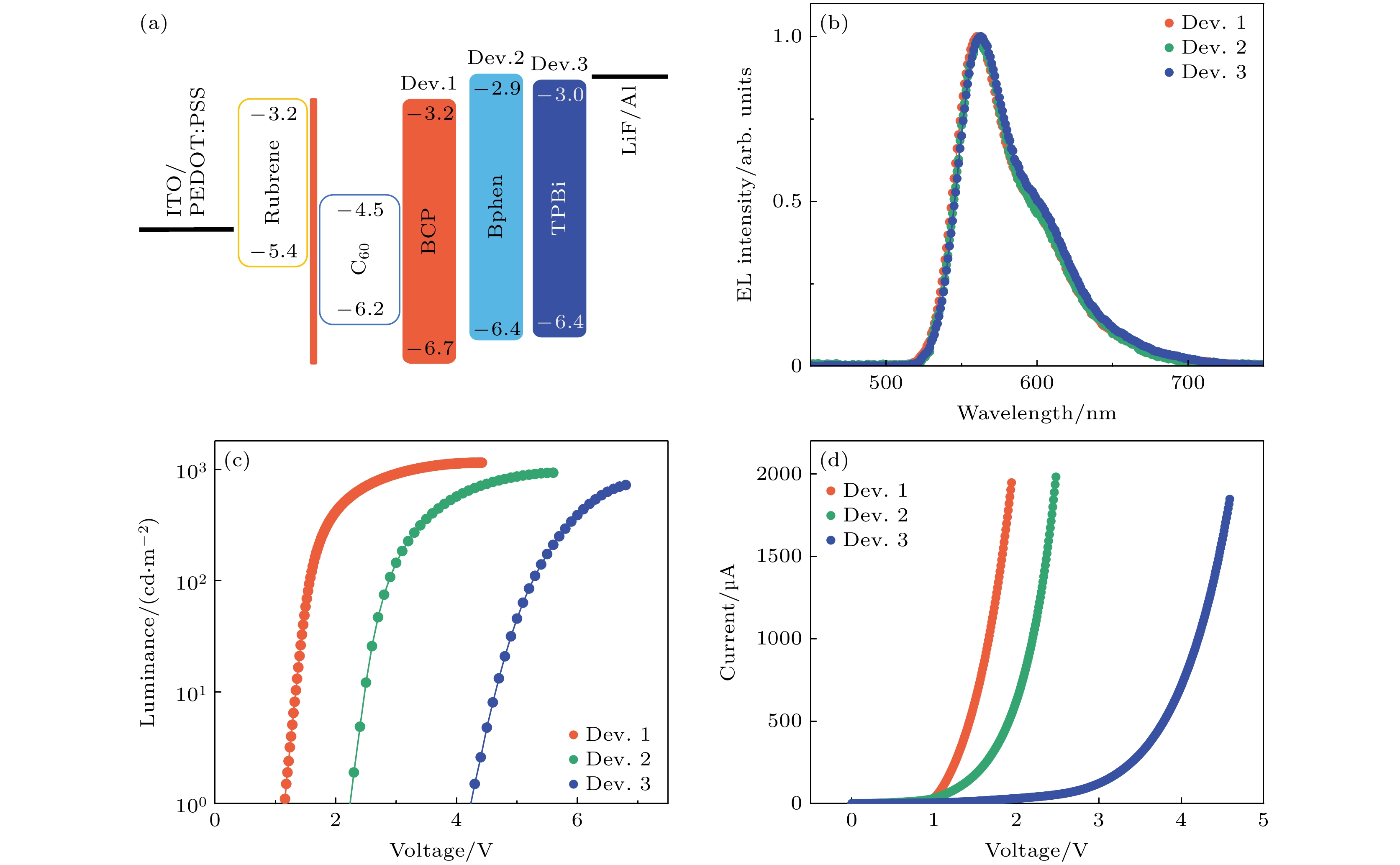
必威体育下载 . 2024 73(21): 217202. 刊出日期: 2024-11-05 彭腾, 王辉耀, 赵茜, 刘俊宏, 汪波, 王晶晶, 周银琼, 张可怡, 杨俊, 熊祖洪



必威体育下载 . 2024 73(21): 217202. Published 2024-11-05
电子注入层迁移率对Rubrene/C60基发光二极管半带隙开启电压的调控 彭腾, 王辉耀, 赵茜, 刘俊宏, 汪波, 王晶晶, 周银琼, 张可怡, 杨俊, 熊祖洪 2024-11-05T00:00:00+00:00 Personal use only, all commercial or other reuse prohibited 必威体育下载 . 2024 73(21): 217202. article doi:10.7498/aps.73.20240864



必威体育下载 . 2024 73(21): 217301. 刊出日期: 2024-11-05 张妮妮, 任娟, 罗澜茜, 刘平平



必威体育下载 . 2024 73(21): 217301. Published 2024-11-05
Be掺杂石墨双炔作为锂离子电池负极材料的第一性原理研究 张妮妮, 任娟, 罗澜茜, 刘平平 2024-11-05T00:00:00+00:00 Personal use only, all commercial or other reuse prohibited 必威体育下载 . 2024 73(21): 217301. article doi:10.7498/aps.73.20240996



必威体育下载 . 2024 73(21): 218901. 刊出日期: 2024-11-05 王建伟, 赵乃萱, 望楚佩, 向玲慧, 温廷新



必威体育下载 . 2024 73(21): 218901. Published 2024-11-05
相互依赖网络上级联故障鲁棒性悖论研究 王建伟, 赵乃萱, 望楚佩, 向玲慧, 温廷新 2024-11-05T00:00:00+00:00 Personal use only, all commercial or other reuse prohibited 必威体育下载 . 2024 73(21): 218901. article doi:10.7498/aps.73.20241002



必威体育下载 . 2024 73(21): 219901. 刊出日期: 2024-11-05 张建威, 牛莹, 闫润圻, 张荣奇, 曹猛, 李永东, 刘纯亮, 张嘉伟



必威体育下载 . 2024 73(21): 219901. Published 2024-11-05
更正: 体空位缺陷对氧化铝二次电子发射特性的影响分析 张建威, 牛莹, 闫润圻, 张荣奇, 曹猛, 李永东, 刘纯亮, 张嘉伟 2024-11-05T00:00:00+00:00 Personal use only, all commercial or other reuse prohibited 必威体育下载 . 2024 73(21): 219901. article doi:10.7498/aps.73.219901 10.7498/aps.73.219901 必威体育下载 73 21 2024-11-05 //m.getgobooth.com/article/doi/10.7498/aps.73.219901 219901