必威体育下载 //m.getgobooth.com/ Acta Physica Sinica daily 15 2025-08-21 17:14:50 apsoffice@iphy.ac.cn apsoffice@iphy.ac.cn 2025-08-21 17:14:50 zh 版权所有 ©必威体育下载 京ICP备05002789号-1 地址:北京市603信箱,《必威体育下载 》编辑部邮编:100190 电话:010-82649829,82649241,82649863Email:apsoffice@iphy.ac.cn



必威体育下载 . 2025 74(12): 120301. 刊出日期: 2025-06-20 ]]>



必威体育下载 . 2025 74(12): 120301. Published 2025-06-20 ]]>
2025-06-20T00:00:00+00:00 Personal use only, all commercial or other reuse prohibited 必威体育下载 . 2025 74(12): 120301. article doi:10.7498/aps.74.20250322



必威体育下载 . 2025 74(12): 120702. 刊出日期: 2025-06-20 ]]>



必威体育下载 . 2025 74(12): 120702. Published 2025-06-20 ]]>
2025-06-20T00:00:00+00:00 Personal use only, all commercial or other reuse prohibited 必威体育下载 . 2025 74(12): 120702. article doi:10.7498/aps.74.20250127



必威体育下载 . 2025 74(12): 123101. 刊出日期: 2025-06-20 ]]>



必威体育下载 . 2025 74(12): 123101. Published 2025-06-20 ]]>
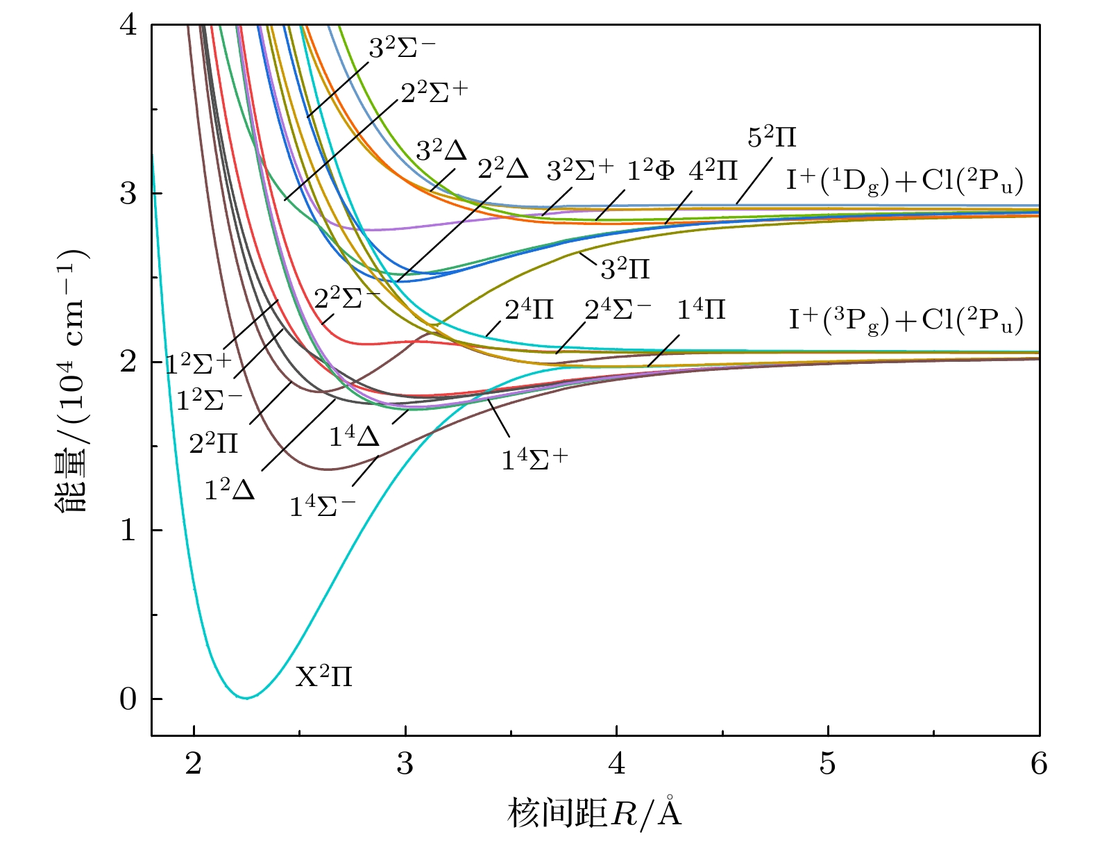
+分子离子X2Σ+, A2Π和B2Σ+态的不透明度]]> 2025-06-20T00:00:00+00:00 Personal use only, all commercial or other reuse prohibited 必威体育下载 . 2025 74(12): 123101. article doi:10.7498/aps.74.20250380



必威体育下载 . 2025 74(12): 123102. 刊出日期: 2025-06-20 ]]>



必威体育下载 . 2025 74(12): 123102. Published 2025-06-20 ]]>
+分子离子激发态的包含自旋-轨道耦合效应的理论研究]]> 2025-06-20T00:00:00+00:00 Personal use only, all commercial or other reuse prohibited 必威体育下载 . 2025 74(12): 123102. article doi:10.7498/aps.74.20250510



必威体育下载 . 2025 74(12): 125202. 刊出日期: 2025-06-20 ]]>



必威体育下载 . 2025 74(12): 125202. Published 2025-06-20 ]]>
2025-06-20T00:00:00+00:00 Personal use only, all commercial or other reuse prohibited 必威体育下载 . 2025 74(12): 125202. article doi:10.7498/aps.74.20250301



必威体育下载 . 2025 74(12): 127102. 刊出日期: 2025-06-20 ]]>



必威体育下载 . 2025 74(12): 127102. Published 2025-06-20 ]]>
2025-06-20T00:00:00+00:00 Personal use only, all commercial or other reuse prohibited 必威体育下载 . 2025 74(12): 127102. article doi:10.7498/aps.74.20250352



必威体育下载 . 2025 74(12): 120201. 刊出日期: 2025-06-20 ]]>



必威体育下载 . 2025 74(12): 120201. Published 2025-06-20 ]]>
2025-06-20T00:00:00+00:00 Personal use only, all commercial or other reuse prohibited 必威体育下载 . 2025 74(12): 120201. article doi:10.7498/aps.74.20250305



必威体育下载 . 2025 74(12): 120501. 刊出日期: 2025-06-20 ]]>



必威体育下载 . 2025 74(12): 120501. Published 2025-06-20 ]]>
2025-06-20T00:00:00+00:00 Personal use only, all commercial or other reuse prohibited 必威体育下载 . 2025 74(12): 120501. article doi:10.7498/aps.74.20241501



必威体育下载 . 2025 74(12): 120701. 刊出日期: 2025-06-20 ]]>



必威体育下载 . 2025 74(12): 120701. Published 2025-06-20 ]]>
2025-06-20T00:00:00+00:00 Personal use only, all commercial or other reuse prohibited 必威体育下载 . 2025 74(12): 120701. article doi:10.7498/aps.74.20250249



必威体育下载 . 2025 74(12): 124101. 刊出日期: 2025-06-20 ]]>



必威体育下载 . 2025 74(12): 124101. Published 2025-06-20 ]]>
2025-06-20T00:00:00+00:00 Personal use only, all commercial or other reuse prohibited 必威体育下载 . 2025 74(12): 124101. article doi:10.7498/aps.74.20241789



必威体育下载 . 2025 74(12): 124201. 刊出日期: 2025-06-20 ]]>



必威体育下载 . 2025 74(12): 124201. Published 2025-06-20 ]]>
2025-06-20T00:00:00+00:00 Personal use only, all commercial or other reuse prohibited 必威体育下载 . 2025 74(12): 124201. article doi:10.7498/aps.74.20250373



必威体育下载 . 2025 74(12): 124202. 刊出日期: 2025-06-20 ]]>



必威体育下载 . 2025 74(12): 124202. Published 2025-06-20 ]]>
2025-06-20T00:00:00+00:00 Personal use only, all commercial or other reuse prohibited 必威体育下载 . 2025 74(12): 124202. article doi:10.7498/aps.74.20250333



必威体育下载 . 2025 74(12): 124203. 刊出日期: 2025-06-20 ]]>



必威体育下载 . 2025 74(12): 124203. Published 2025-06-20 ]]>
2025-06-20T00:00:00+00:00 Personal use only, all commercial or other reuse prohibited 必威体育下载 . 2025 74(12): 124203. article doi:10.7498/aps.74.20250172



必威体育下载 . 2025 74(12): 124204. 刊出日期: 2025-06-20 ]]>



必威体育下载 . 2025 74(12): 124204. Published 2025-06-20 ]]>
2025-06-20T00:00:00+00:00 Personal use only, all commercial or other reuse prohibited 必威体育下载 . 2025 74(12): 124204. article doi:10.7498/aps.74.20250153



必威体育下载 . 2025 74(12): 124205. 刊出日期: 2025-06-20 ]]>



必威体育下载 . 2025 74(12): 124205. Published 2025-06-20 ]]>
2025-06-20T00:00:00+00:00 Personal use only, all commercial or other reuse prohibited 必威体育下载 . 2025 74(12): 124205. article doi:10.7498/aps.74.20250123



必威体育下载 . 2025 74(12): 124301. 刊出日期: 2025-06-20 ]]>



必威体育下载 . 2025 74(12): 124301. Published 2025-06-20 ]]>
2025-06-20T00:00:00+00:00 Personal use only, all commercial or other reuse prohibited 必威体育下载 . 2025 74(12): 124301. article doi:10.7498/aps.74.20250382



必威体育下载 . 2025 74(12): 124401. 刊出日期: 2025-06-20 ]]>



必威体育下载 . 2025 74(12): 124401. Published 2025-06-20 ]]>
2025-06-20T00:00:00+00:00 Personal use only, all commercial or other reuse prohibited 必威体育下载 . 2025 74(12): 124401. article doi:10.7498/aps.74.20250347



必威体育下载 . 2025 74(12): 124701. 刊出日期: 2025-06-20 ]]>



必威体育下载 . 2025 74(12): 124701. Published 2025-06-20 ]]>
2025-06-20T00:00:00+00:00 Personal use only, all commercial or other reuse prohibited 必威体育下载 . 2025 74(12): 124701. article doi:10.7498/aps.74.20250269



必威体育下载 . 2025 74(12): 124702. 刊出日期: 2025-06-20 ]]>



必威体育下载 . 2025 74(12): 124702. Published 2025-06-20 ]]>
2025-06-20T00:00:00+00:00 Personal use only, all commercial or other reuse prohibited 必威体育下载 . 2025 74(12): 124702. article doi:10.7498/aps.74.20250288



必威体育下载 . 2025 74(12): 124703. 刊出日期: 2025-06-20 ]]>



必威体育下载 . 2025 74(12): 124703. Published 2025-06-20 ]]>
2025-06-20T00:00:00+00:00 Personal use only, all commercial or other reuse prohibited 必威体育下载 . 2025 74(12): 124703. article doi:10.7498/aps.74.20250289


必威体育下载 . 2025 74(12): 125201. 刊出日期: 2025-06-20 ]]>


必威体育下载 . 2025 74(12): 125201. Published 2025-06-20 ]]>
2025-06-20T00:00:00+00:00 Personal use only, all commercial or other reuse prohibited 必威体育下载 . 2025 74(12): 125201. article doi:10.7498/aps.74.20250340



必威体育下载 . 2025 74(12): 126101. 刊出日期: 2025-06-20 ]]>



必威体育下载 . 2025 74(12): 126101. Published 2025-06-20 ]]>
2025-06-20T00:00:00+00:00 Personal use only, all commercial or other reuse prohibited 必威体育下载 . 2025 74(12): 126101. article doi:10.7498/aps.74.20250286



必威体育下载 . 2025 74(12): 126301. 刊出日期: 2025-06-20 ]]>



必威体育下载 . 2025 74(12): 126301. Published 2025-06-20 ]]>
2O2Se本征点缺陷及光电性能]]> 2025-06-20T00:00:00+00:00 Personal use only, all commercial or other reuse prohibited 必威体育下载 . 2025 74(12): 126301. article doi:10.7498/aps.74.20241701



必威体育下载 . 2025 74(12): 126302. 刊出日期: 2025-06-20 ]]>



必威体育下载 . 2025 74(12): 126302. Published 2025-06-20 ]]>
2025-06-20T00:00:00+00:00 Personal use only, all commercial or other reuse prohibited 必威体育下载 . 2025 74(12): 126302. article doi:10.7498/aps.74.20250251



必威体育下载 . 2025 74(12): 126401. 刊出日期: 2025-06-20 ]]>



必威体育下载 . 2025 74(12): 126401. Published 2025-06-20 ]]>
2025-06-20T00:00:00+00:00 Personal use only, all commercial or other reuse prohibited 必威体育下载 . 2025 74(12): 126401. article doi:10.7498/aps.74.20250329



必威体育下载 . 2025 74(12): 127101. 刊出日期: 2025-06-20 ]]>



必威体育下载 . 2025 74(12): 127101. Published 2025-06-20 ]]>
2025-06-20T00:00:00+00:00 Personal use only, all commercial or other reuse prohibited 必威体育下载 . 2025 74(12): 127101. article doi:10.7498/aps.74.20250107



必威体育下载 . 2025 74(12): 127401. 刊出日期: 2025-06-20 ]]>



必威体育下载 . 2025 74(12): 127401. Published 2025-06-20 ]]>
2/沸石咪唑酯骨架-67异质结构提高SERS检测性能]]> 2025-06-20T00:00:00+00:00 Personal use only, all commercial or other reuse prohibited 必威体育下载 . 2025 74(12): 127401. article doi:10.7498/aps.74.20250410



必威体育下载 . 2025 74(12): 127402. 刊出日期: 2025-06-20 ]]>



必威体育下载 . 2025 74(12): 127402. Published 2025-06-20 ]]>
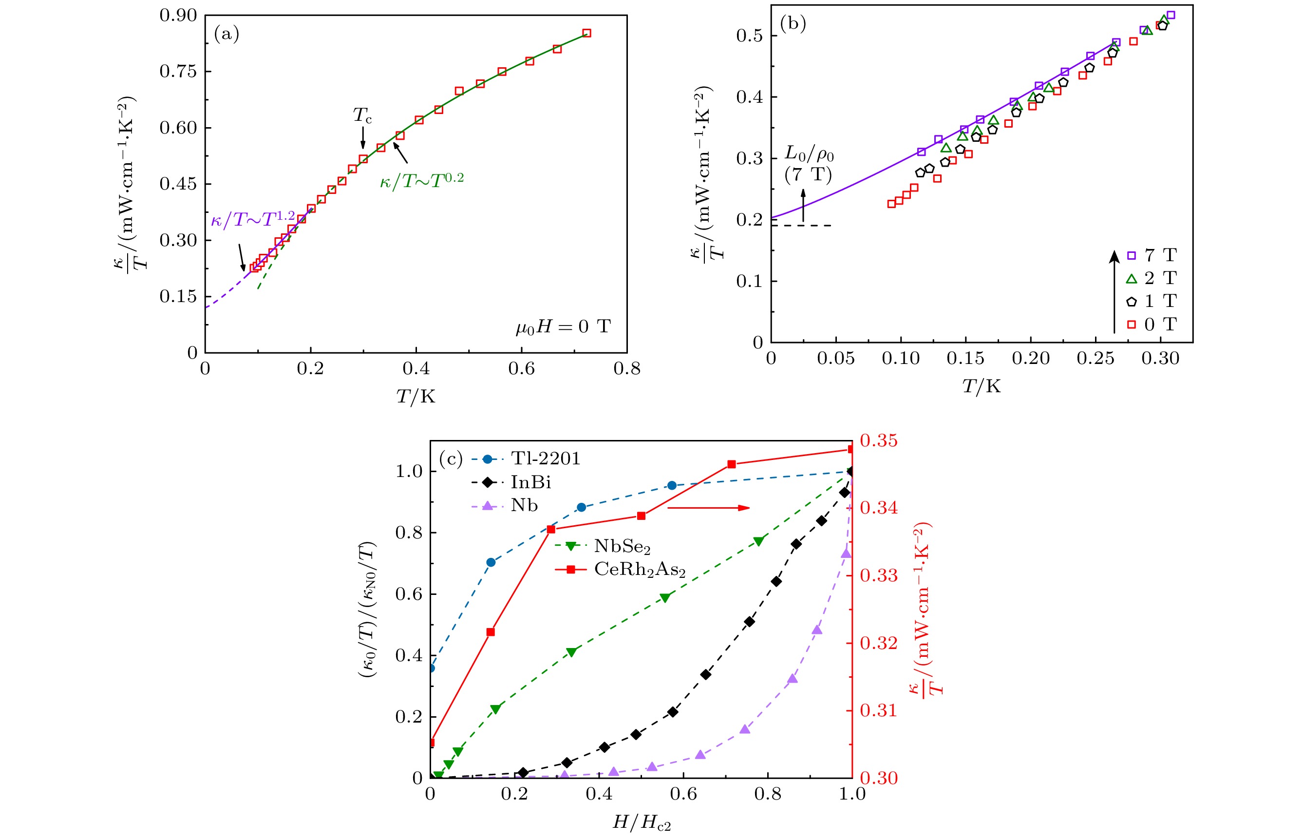
2As2的电热输运研究]]> 2025-06-20T00:00:00+00:00 Personal use only, all commercial or other reuse prohibited 必威体育下载 . 2025 74(12): 127402. article doi:10.7498/aps.74.20250391



必威体育下载 . 2025 74(12): 127501. 刊出日期: 2025-06-20 ]]>



必威体育下载 . 2025 74(12): 127501. Published 2025-06-20 ]]>
2025-06-20T00:00:00+00:00 Personal use only, all commercial or other reuse prohibited 必威体育下载 . 2025 74(12): 127501. article doi:10.7498/aps.74.20250334



必威体育下载 . 2025 74(12): 127701. 刊出日期: 2025-06-20 ]]>



必威体育下载 . 2025 74(12): 127701. Published 2025-06-20 ]]>
2025-06-20T00:00:00+00:00 Personal use only, all commercial or other reuse prohibited 必威体育下载 . 2025 74(12): 127701. article doi:10.7498/aps.74.20250335



必威体育下载 . 2025 74(12): 127702. 刊出日期: 2025-06-20 ]]>



必威体育下载 . 2025 74(12): 127702. Published 2025-06-20 ]]>
2025-06-20T00:00:00+00:00 Personal use only, all commercial or other reuse prohibited 必威体育下载 . 2025 74(12): 127702. article doi:10.7498/aps.74.20250277



必威体育下载 . 2025 74(12): 128101. 刊出日期: 2025-06-20 ]]>



必威体育下载 . 2025 74(12): 128101. Published 2025-06-20 ]]>
2025-06-20T00:00:00+00:00 Personal use only, all commercial or other reuse prohibited 必威体育下载 . 2025 74(12): 128101. article doi:10.7498/aps.74.20250164



必威体育下载 . 2025 74(12): 128701. 刊出日期: 2025-06-20 ]]>



必威体育下载 . 2025 74(12): 128701. Published 2025-06-20 ]]>
2025-06-20T00:00:00+00:00 Personal use only, all commercial or other reuse prohibited 必威体育下载 . 2025 74(12): 128701. article doi:10.7498/aps.74.20250171



必威体育下载 . 2025 74(12): 128702. 刊出日期: 2025-06-20 ]]>



必威体育下载 . 2025 74(12): 128702. Published 2025-06-20 ]]>
2025-06-20T00:00:00+00:00 Personal use only, all commercial or other reuse prohibited 必威体育下载 . 2025 74(12): 128702. article doi:10.7498/aps.74.20250504



必威体育下载 . 2025 74(12): 128801. 刊出日期: 2025-06-20 ]]>



必威体育下载 . 2025 74(12): 128801. Published 2025-06-20 ]]>
2钙钛矿的结晶及其光伏性能]]> 2025-06-20T00:00:00+00:00 Personal use only, all commercial or other reuse prohibited 必威体育下载 . 2025 74(12): 128801. article doi:10.7498/aps.74.20250184



必威体育下载 . 2025 74(12): 129401. 刊出日期: 2025-06-20 ]]>



必威体育下载 . 2025 74(12): 129401. Published 2025-06-20 ]]>
2025-06-20T00:00:00+00:00 Personal use only, all commercial or other reuse prohibited 必威体育下载 . 2025 74(12): 129401. article doi:10.7498/aps.74.20250183 10.7498/aps.74.20250183 必威体育下载 74 12 2025-06-20 //m.getgobooth.com/article/doi/10.7498/aps.74.20250183 129401