In the recent decades, the half-metallic materials have become a research hotspot because of their unique electronic structure. The 100% spin polarization at the Fermi level makes them widely used in spintronic devices. The Co-based Heusler alloys belong to an important class of magnetic material, and Co
2FeAl and Co
2FeSi have been experimentally confirmed to be half-metallic materials with 100% spin polarization at the Fermi level, and the Co
2FeSi has a high Curie temperature of 1100 K and a large magnetic moment of 6.0
${{\text{μ}}{\rm{B}}}$
, which is a good candidate for spintronic devices. We here choose and substitute Al atoms in Co
2FeAl with Si atoms, and then carry out the theoretical predictions of Co
2FeAl
1–xSi
x(
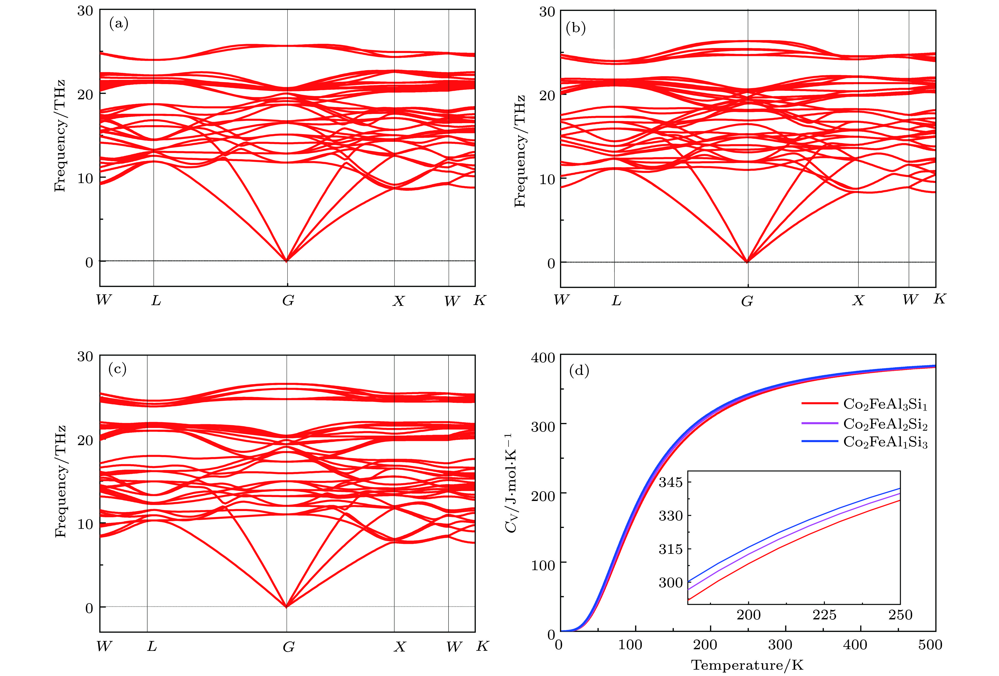
x= 0.25, 0.5, 0.75) for both bulk and film . In this paper, using the first principles calculations based on the density functional theory (DFT) we study the electronic structure, tetragonal distortion, elastic constants, phonon spectrum and thermoelectric properties of Co
2FeAl
1–xSi
x(
x= 0.25, 0.5, 0.75) series alloys. The calculation results show that the electronic structure of Co
2FeAl
1–xSi
x(
x= 0.25, 0.5, 0.75) series alloys are all half-metallic with 100% spin polarization, and the down spin states (semiconducting character) all exhibit good thermoelectric properties, and the power factor increases with the substitution concentration of Si atoms increasing. The calculated phonon spectrum does not have virtual frequency, indicating its dynamic stability, and all cubic phases fulfill the mechanical stability criteria, i.e. Born criteria: C
11> 0, C
44> 0, C
11–C
12> 0, C
11+ 2C
12> 0, and C
12< B < C
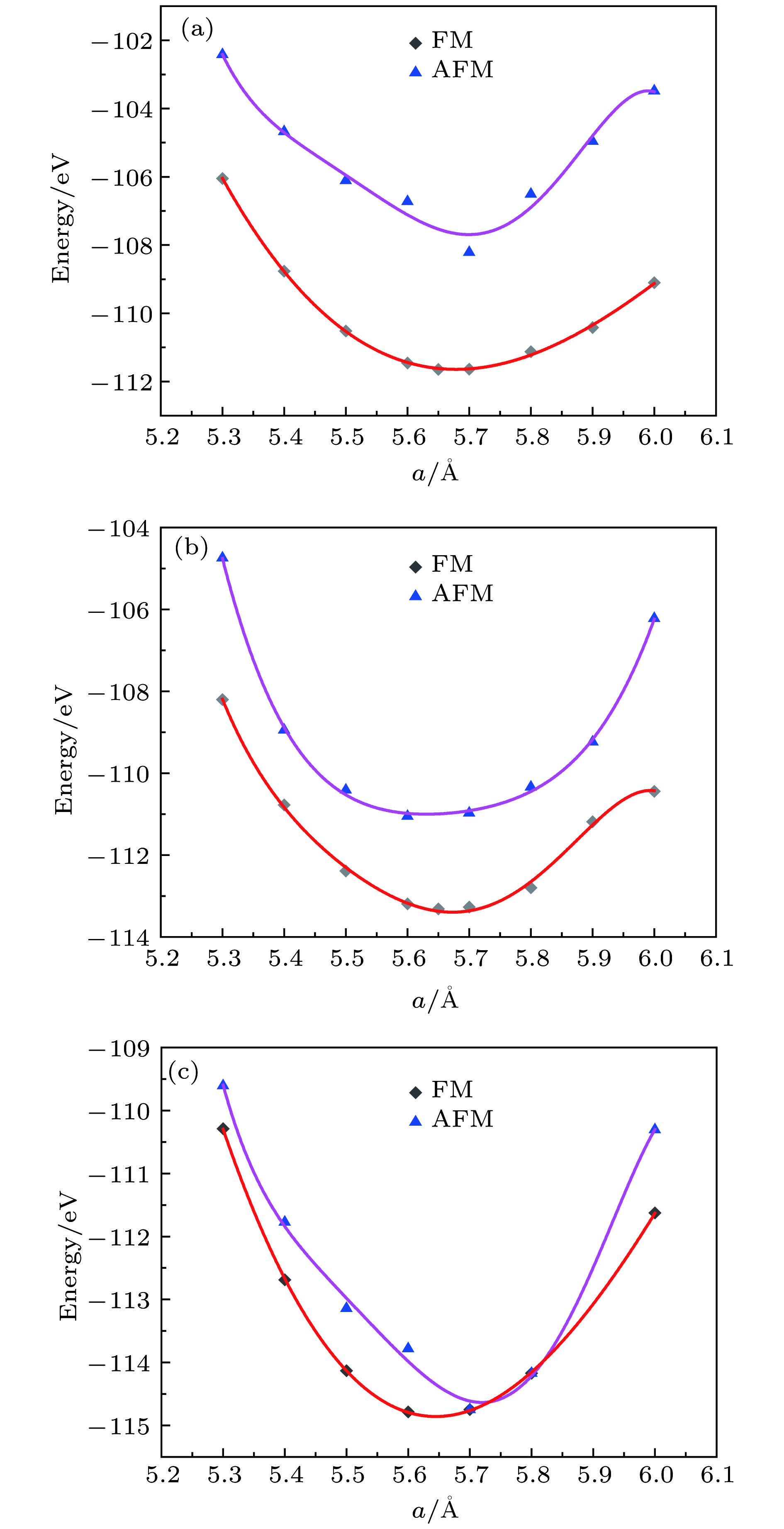
11. With the variation of lattice constant ratio c/a, the lowest energy point of the structure for Co
2FeAl
1–xSi
x(
x= 0.25, 0.5, 0.75) series alloys are all at c/a = 1, showing that the stability of the structure does not change with the variation of distortion c/a, and further the martensitic transformation cannot occur. For the Co
2FeAl
1–xSi
x(
x= 0.25, 0.5, 0.75) series alloy thin films, the calculated electronic structures all show a high spin polarization, and it reaches 100% at
x= 0.75, and for
x= 0.75, the lowest energy point of the structure is at
c/
a= 1.2, suggesting the martensitic transformation in this structure. With the variation of the tetragonal distortion, the total magnetic moment also changes and it is mainly determined by the changes of atomic magnetic moment of transition-metals Fe and Co.