凝聚物质:电子结构、电学、磁学和光学性质
封面文章
2026, 75 (1): 010704.
doi: 10.7498/aps.75.20251207
摘要 +
La3Ni2O7在高压条件下表现出近80 K的超导电性, 是继铜氧化物高温超导体之后第二类超导转变温度进入液氮温区的层状非常规超导体, 其发现引起了国际上的广泛关注. 利用最近发展的金刚石对顶砧(DAC)准静水压技术, 本课题组在La3Ni2O7高压电输运测量方面取得了一些重要进展, 率先发现了其高温超导零电阻现象, 并揭示了超导与奇异金属态之间的内在联系. 本文简单概述我们在该方面取得的一些研究进展, 包括DAC准静水压技术的发展、La3Ni2O7超导零电阻的发现过程、超导转变温度Tc与线性电阻系数之间的联系, 以及修正后的压力-温度相图等. 结合后续发现的其他类型的镍基高温超导材料的压力-温度相图, 本文还分析了镍基高温超导与密度波转变和结构相变之间的可能联系, 为后续镍基高温超导的研究提供借鉴.
编辑推荐
2026, 75 (1): 010809.
doi: 10.7498/aps.75.20251367
摘要 +
铁电薄膜及其集成的铁电器件受到了极大的关注. 传统铁电薄膜受限于临界尺寸效应, 难以在厚度逐渐变薄至纳米甚至单原子层时保持铁电性, 这为发展相关纳米电子学器件带来了挑战. 二维范德瓦耳斯材料具有天然稳定的层状结构, 具有表面平整无悬挂键、无层间界面陷阱、甚至在原子尺度极限厚度下仍能保持完整的物理化学特性的优点, 逐渐被人们意识到是实现二维铁电性理想的温床. CuInP2S6, α-In2Se3, WTe2等具有本征铁电极化的二维范德瓦耳斯铁电材料先后被报道, 同时人工堆叠的滑移铁电体如t-BN等也逐渐涌现, 极大扩充了二维范德瓦耳斯铁电材料的体系结构, 为进一步实现铁电的电子元器件微型化和柔韧化提供了新的可能. 本文将对近来报道的二维范德瓦耳斯铁电材料的研究进展进行综述, 探讨它们的组分特征、结构特点及性能调控方法, 并展望此类材料的应用潜力和未来的研究热点.
编辑推荐
2026, 75 (1): 010705.
doi: 10.7498/aps.75.20251253
摘要 +
密度泛函理论在当代电子结构计算中占据主流地位, 然而其计算复杂度随体系规模呈立方增长, 制约了在复杂体系或高精度计算中的应用. 近年来, 机器学习与第一性原理计算的结合, 为这一问题提供了新的解决方案. 本文对机器学习加速电子结构计算的方法进行了综述, 重点讨论现有研究在加速材料电子结构计算中所取得的重要进展. 此外, 对未来研究中基于机器学习技术进一步克服电子结构计算的精度和效率瓶颈、扩展适用范围、实现在大尺度材料体系中计算模拟与实验测量的深度融合做了展望.
编辑推荐
2026, 75 (1): 010708.
doi: 10.7498/aps.75.20251455
摘要 +
Dzyaloshinskii-Moriya相互作用(DMI)是一种源于自旋轨道耦合与结构反演对称破缺的非对称交换作用, 是诱导非共线磁序与手性磁结构的关键机制之一. 稀土-过渡金属亚铁磁材料兼具稀土元素的强自旋轨道耦合与过渡金属的强磁交换作用, 表现出超快磁化动力学、高度可调的磁结构以及丰富的自旋输运行为, 为研究与调控DMI提供了理想的材料平台, 在未来高密度磁存储与自旋电子学器件中展现出重要应用潜力. 本文系统阐述了DMI的微观物理起源, 概述了稀土-过渡金属亚铁磁材料的基本特性, 并深入探讨了DMI与亚铁磁序之间的耦合机制, 介绍了基于稀土-过渡金属亚铁磁材料DMI的斯格明子磁性隧道结和类脑神经计算等自旋电子学器件, 为发展面向未来的先进自旋电子技术提供了理论依据与技术指引.
2026, 75 (1): 010401.
doi: 10.7498/aps.75.20250883
摘要 +
晶格模式是周期性结构的固有特性, 通过改变阵列结构的周期可以对其进行有效调控. 本文提出了一种基于金纳米条与以VO2为衬底的金S型开口环的杂化太赫兹超表面结构, 该结构能够同时激发宽带的局域表面等离子体共振(明模式)和受晶格模式影响的窄带表面晶格共振(暗模式). 通过干涉相消效应, 在阵列结构单元中实现了明-明模式与明-暗模式的双诱导透明现象, 两个透明窗口的透射率分别达到66.03%和59.4%. 进一步研究表明, 通过调节阵列结构周期, 不仅可以有效调控透明窗口的形成, 还可以利用VO2电导率的动态变化, 实现透明窗 “ON/OFF” 的动态开关特性. 值得注意的是, 在受晶格模式影响的高频透明窗频点处, 观测到了8.1 ps的群延时. 此外, 周期调节还能显著优化共振性能, 可使低频点杂化共振的品质因子实现一个数量级的提升. 该研究为慢光器件、超灵敏传感器以及多频带窄带滤波器的设计提供了新的思路.
编辑推荐
2026, 75 (1): 010702.
doi: 10.7498/aps.75.20251158
摘要 +
构建范德瓦耳斯异质结是丰富二维材料物性并增强其光电等性能的有效策略. 本文基于第一性原理模拟, 系统地研究了两种不同界面结构的Janus MoSSe/g-C3N4异质结(即SMoSe/g-C3N4和SeMoS/g-C3N4)的电子性质及其双轴应变调控规律. 结果表明, 针对SMoSe/g-C3N4异质结构, MoSSe本征偶极场与界面电场方向一致, 相互叠加形成由g-C3N4指向MoSSe的增强电场, 体系呈现I型能带排列特征; 而在SeMoS/g-C3N4异质结构中, 两者方向相反, 部分相互抵消后形成由MoSSe指向g-C3N4的净电场, 呈现II型能带排列特征, 可促进载流子的分离从而有效提升其光催化分解水活性. 进一步研究发现, 施加双轴应变可有效地调节两种异质结构的电子能带, 尤其在SeMoS/g-C3N4中可实现I型与II型能带结构的可逆转变. 本研究为Janus MoSSe/g-C3N4异质结在光催化与光电器件领域的应用提供了理论依据.
2026, 75 (1): 010707.
doi: 10.7498/aps.75.20251394
摘要 +
本文基于磁热效应的绿色磁制冷技术, 并以Ni-Mn-Ga Heusler合金为对象, 系统地探索其作为磁制冷工质的潜力. 为阐明富Mn成分对合金磁性与磁热性能的调控机制, 采用第一性原理计算与蒙特卡罗模拟相结合的多尺度方法, 重点分析Mn原子分别占据Ni与Ga位时, 对合金微观结构、原子磁矩、交换作用及宏观磁热行为的影响. 结果表明, Mn占位方式对磁性能具有关键调控作用: Mn占据Ni位会降低总磁矩与居里温度, 并减小磁熵变; 而Mn占据Ga位则显著提升总磁矩与磁熵变, 其中Ni8Mn7Ga1合金在2 T磁场下的最大磁熵变高达2.32 J·kg–1·K–1, 远高于化学计量比Ni8Mn4Ga4合金. 态密度与交换作用分析进一步表明, Mn含量变化可调控其在费米能级附近的电子结构, 优化轨道杂化与铁磁交换作用, 影响磁相变行为. 临界指数分析显示合金中磁相互作用具有长程特性, 并随成分变化趋近于平均场行为. 本工作从微观层面建立了“成分-结构-磁性-磁热性能”之间的构效关系, 为设计高性能、低滞后磁制冷材料提供了理论依据.
编辑推荐
2026, 75 (1): 010803.
doi: 10.7498/aps.75.20251031
摘要 +
为提升钇钡铜氧(YBCO)高温超导带材的临界载流能力, 本文创新性地采用质子辐照技术对工程实用化YBCO带材进行缺陷调控. 基于4.5 MV静电加速器材料辐照终端, 系统开展了3 MeV质子束流在不同注量下的辐照实验, 成功在超导体中构建高密度、低维度的可控人工钉扎中心. 这种缺陷工程通过为磁通线创造低能量钉扎位点, 显著抑制了磁通蠕动现象并增强钉扎作用, 从而显著削弱外磁场对临界电流(Ic)的抑制作用. 实验数据显示, 在注量率为8×1016 p/cm2的辐照条件下, 样品在4.2 K@6.5 T极端工况下的临界电流实现了8倍的突破性提升, 同时在20 K@5 T, 30 K@4 T下临界电流密度最大提升因子分别也达到5.5倍、4.8倍. 这一性能突破显著增强了超导带材在低温高场环境中的应用潜力, 尤其适用于离子加速器、聚变反应堆等对高性能超导磁体有迫切需求的前沿领域. 研究证实, 离子辐照技术无需改变YBCO带材的现有制备工艺, 即可通过缺陷工程实现临界性能的高效优化, 为超导材料的实用化性能调控提供了一条工艺兼容性强、可行性高的技术路径.
编辑推荐
2026, 75 (1): 010804.
doi: 10.7498/aps.75.20251089
摘要 +
理解原子尺度下氦浓度对低活化钢缺陷演化和力学性能的内在关联是设计兼具优异抗肿胀和抗辐照性能聚变结构材料的关键. 本文通过分子动力学模拟研究了氦浓度对单晶铁缺陷演化和力学行为的影响机理. 结果表明NHe < 3.0%时, 弗仑克尔缺陷对(Frenkel pairs, FPs)数量快速线性增长至峰值后稳定; 而当NHe ≥ 3.0%时, 形成的间隙大团簇会吸收附近间隙原子而长大, 并减缓湮灭速率, 导致FPs数量继续增长, 但间隙团簇被空位环绕后, 不再阻碍复位, 数量二次稳定. 当NHe增至3.0%时, 单晶铁的弹性模量、屈服强度和韧性分别下降了21%, 88%和57%, 此后氦浓度增大, 力学性能不再降低. 这是由于NHe < 3.0%时, 随着氦浓度上升, 氦致缺陷增多, 导致韧性降低, 促进位错形核, 使弹性模量和屈服强度下降; 而当NHe ≥ 3.0%时, 氦致位错缺陷形成, 而团簇数量变化甚微, 导致韧性不再下降, 弹性模量和屈服强度随之稳定. NHe = 3.0%时出现的大团簇阻碍滑移系滑移, 改变滑移平面方向, 削弱主滑移系作用, 导致小滑移带增多, 塑性变形机制由交滑移转变为滑移带相遇后分解为离散位错和点缺陷. 研究揭示了氦浓度对单晶铁缺陷演化及力学性能的影响规律和关键机制, 为聚变铁基材料设计提供理论依据.
2026, 75 (1): 010805.
doi: 10.7498/aps.75.20251100
摘要 +
Zr/O/W肖特基式热场发射阴极作为电子束类高端分析仪器的核心组件, 其独特的界面发射机制一直是阴极领域的研究热点. 本团队成功制备了高性能Zr/O/W肖特基式热场发射阴极, 其发射电流密度可达2.5×104 A/cm2, 使用寿命超过8000 h. 通过能量色散X射线光谱和俄歇电子能谱分析, 对激活阴极发射区表面及深度方向成分分布进行了系统表征. 结果表明, Zr/O/W阴极表面并非传统理论所认为的Zr-O偶极子单分子层, 而是存在一层纳米级厚度的Zr/O/W(100)复合氧化层结构; 该氧化层由三部分构成: W(100)晶面下方的氧渗入层、W(100)面本身以及晶面上方多原子层的Zr-O薄膜. Zr/O/W(100)氧化层使阴极发射面功函数从纳米WO3的5.02 eV显著降低至2.85 eV, 从而形成局域化电子发射集中区. 基于上述实验结果, 结合第一性原理计算, 本研究模拟了W(100)发射界面动态演变过程, 为Zr/O/W肖特基式热场发射阴极界面发射机制提供了新的理论解释.
物理学交叉学科及有关科学技术领域
编辑推荐
2026, 75 (1): 010810.
doi: 10.7498/aps.75.20251386
摘要 +
在后摩尔时代, 随着器件物理尺寸的缩放极限和冯·诺依曼架构的局限性逐渐显现, 传统硅基集成电路领域面临严峻挑战. 然而, 二维层状材料凭借无悬挂键、高载流子迁移率、高光生载流子浓度等独特的物理特性, 有望突破这些瓶颈. 目前, 许多二维材料已经实现了规模化生长与应用, 在高性能单一功能器件、多功能融合器件、逻辑电路和集成芯片制造与应用当中展现出巨大的潜力. 本文综述了二维材料的基本特性、构成的基础功能器件、功能电路模块以及三维集成等方面的研究进展, 重点探讨了二维材料在规模化集成方案方面的挑战和解决路径, 并为未来的发展方向提出了展望.
编辑推荐
2026, 75 (1): 010706.
doi: 10.7498/aps.75.20251372
摘要 +
随着三维异构集成技术的兴起与大规模应用, 电感型集成电压调节器在移动终端及高算力设备中的重要性日益凸显, 同时也为高频软磁薄膜材料带来了重要的发展机遇. 本文基于片上薄膜功率电感的应用需求, 首先梳理了坡莫合金、Co基非晶金属薄膜以及FeCo基纳米复合颗粒膜三类磁芯膜材料的优势与局限性, 重点探讨了微米级厚度叠层磁芯膜所面临的技术要求与挑战. 其次, 几乎所有的片上电感都工作在难轴激发模式, 即电感激发磁场的方向与磁芯膜的难磁化方向平行. 本文对比了两种制备大面积均匀单轴各向异性磁芯膜的工艺方法、各自特点及对静态和高频软磁性能的影响, 并且分析了图形化对于磁芯膜磁畴结构、高频磁损耗的作用机制以及相应的优化策略. 随后, 从工艺兼容与长期服役两个维度, 探讨了磁芯膜磁导率与各向异性的温度稳定性问题. 尽管三类磁芯膜的居里温度和晶化温度较高, 但是实际制程温度的上限会受到热对于磁性原子对取向、微观结构缺陷和晶粒尺寸的影响. 最后, 针对当前高频、大信号条件下磁芯膜磁损耗测试中存在的瓶颈问题进行了总结, 并展望了为满足片上功率电感对更高饱和电流和更低磁损耗需求, 未来磁芯膜发展的技术路径.
编辑推荐
2026, 75 (1): 010301.
doi: 10.7498/aps.75.20251108
摘要 +
锂-氧电池虽有超高的理论能量密度, 但实际应用仍面临氧化反应动力学缓慢、充电过电位高等严峻问题. 大多数应用于锂-氧电池的单原子催化剂主要是基于过渡金属不饱和配位的d轨道, 而稀土元素Sm有丰富的4f轨道电子. 最近研究表明Sm单原子催化剂在锂-硫电池中能提升多硫化物的转化, 并在全电池实验中实现超稳定的循环性能. 因此, 本研究设计并优化了17种Sm单原子催化剂SmNxCy (x+ y = 4, 6), 通过稳定性和催化活性筛选出SmN3C3-1催化剂应用于锂-氧电池. 通过研究对Li2O2分子的催化氧化, 发现Li2O2分子氧化的速率决定步为第2步, 充电过电位为0.52 V. 机理分析表明SmN3C3-1催化剂的d-f-p轨道杂化消除了对Sm原子4f轨道的屏蔽, 促进了界面电荷转移, 从而增强了对Li2O2分子的催化氧化. 本工作为稀土单原子催化剂在锂-氧电池中的应用提供了新视角.
2026, 75 (1): 010404.
doi: 10.7498/aps.75.20251078
摘要 +
光学空间涡旋(OV)和时空涡旋光(STOV)是携带不同形式轨道角动量(OAM)的特殊光束. OV具有纵向OAM, 而STOV则展示了横向OAM, 并且与时间协同调控. 由于它们依赖于不同的物理机制, 因此传统的光学平台难以同时实现这两种涡旋光的独立调控. 本文提出一种基于二氧化钒(VO2)相变材料的太赫兹(THz) 超表面器件, 能够在同一超表面平台中实现OV和STOV的动态切换. 当VO2处于绝缘态时, 使用圆偏振波反射生成拓扑黑暗点和拓扑暗线, 激发STOV; 当VO2转变为金属态时, 通过合理排列超表面编码元素结合Pancharatnam-Berry (PB)相位, 生成多通道和多功能的OV. 随后, 通过对结构参数的影响进行详细分析, 发现两种涡旋光在不同条件下具有较强的拓扑稳定性, 可以通过温度调控进行可逆切换. 本文为实现太赫兹频段的多功能涡旋光生成提供了新的思路, 并为涡旋光在太赫兹通信和光信息处理中的应用拓展了新途径.
编辑推荐
2026, 75 (1): 010601.
doi: 10.7498/aps.75.20251101
摘要 +
超导量子处理器芯片的制造工艺面临特殊的金属污染挑战, 其材料体系和工艺特性与传统半导体芯片存在显著差异. 本研究系统分析了量子芯片中金属污染的来源、扩散机制及防控策略, 重点探讨了超导材料(如Ta, Nb, Al, TiN等)在蓝宝石和硅衬底上的体扩散与表面扩散行为. 研究发现, 蓝宝石衬底因其致密晶格结构表现出优异的抗扩散性能, 而硅衬底需重点关注Au, In, Sn等易迁移金属的污染风险. 通过实验验证, Ti/Au结构的凸点下金属化层在硅衬底上易发生Au穿透扩散, 且增加Ti层厚度无法显著改善阻挡效果. 量子芯片的低温工艺(<250 ℃)和超低温工作环境(mK级)有效抑制了金属扩散, 但暴露的金属表面和材料多样性仍带来独特挑战. 研究建议建立量子芯片专属的金属污染防控体系, 并提出了后续在新型材料评估、表面态调控及长期可靠性研究等方向的发展路径. 本文为超导量子芯片的工艺优化和性能提升提供了重要理论支撑和技术指导.
2026, 75 (1): 010801.
doi: 10.7498/aps.75.20250894
摘要 +
为提升超导磁体的抗冲击能力, 使其适用于车载运输环境, 本文进行了磁体三维冷质量支撑系统动载模型的推导, 结合方向余弦平方和公式与高速公路卡车振动环境构造边界条件, 通过引入应力差异的惩罚项对悬挂结构空间倾角进行优化. 经过分析, 在最优倾角分布下, 冷质量支撑系统共呈现四类不同装配方式的空间姿态. 结合车载运输激励频段分布, 本文基于最大化一阶固有频率的原则设计出最优姿态, 并确定了该姿态下悬挂结构的预紧力上下限. 最后通过有限元仿真研究了高速公路谱随机振动激励下超导磁体的同轴度和应力变化特征. 结果表明, 当悬挂结构的三维空间角度为31.22°, 68.50°和68.50°时, 磁体力学性能达到最佳. 该角度分布对应的最优空间姿态具有125.99 Hz的一阶固有频率. 仿真结果显示, 在高速公路谱随机振动激励下, 超导磁体同轴度变化量小于0.1 mm, 最大von Mises应力出现于碳纤维拉杆根部, 其值远低于碳纤维复合材料的强度极限, 表明该冷质量支撑系统满足车载运输环境的设计要求.
2026, 75 (1): 010806.
doi: 10.7498/aps.75.20251122
摘要 +
实验研究了微合金化元素La对经Al-5Ti-1B细化处理的Al-Mg合金凝固组织的影响, 发现添加微量的La可进一步细化Al-Mg合金凝固组织, 降低α-Al的形核过冷度. 建立了微合金化元素La在Al合金熔体和TiB2界面处偏析行为模型, 探明了微合金化元素La增强TiB2粒子对α-Al异质形核能力的作用机理, 计算结果表明, 微合金化元素La富集于Al熔体和TiB2粒子间界面处, 降低TiB2和α-Al间的界面能和接触角, 增强TiB2对α-Al的形核能力, 进一步细化基体晶粒组织.
综述
编辑推荐
2026, 75 (1): 010701.
doi: 10.7498/aps.75.20250833
摘要 +
磁共振无线电能传输(wireless power transfer, WPT)技术是近年来近场调控的研究重点之一, 其在移动电话、植入式医疗设备以及电动汽车等诸多方面都具有重要的应用价值. 对于复杂传能通道需求(例如机械臂等), 通常需要引入中继线圈构造多米诺耦合阵列. 然而, 传统的多米诺耦合阵列存在明显的局限性: 近场耦合导致的多重频率劈裂, 使得系统无法保持固定的工作频率; 耦合阵列易受到构造误差及参数扰动影响; 目前研究多数集中在单负载传输, 多负载传输系统仍然亟待开发; 能量传输方向难以灵活控制. 近年来, 光子人工微结构为拓扑物理提供了良好的研究平台, 使得拓扑特性得到了广泛的研究. 拓扑结构的最显著特征是具有非零的拓扑不变量以及由体边对应确定的鲁棒性边界态, 这一天然特性能够免疫制造缺陷和无序扰动. 不仅如此, 通过调整拓扑态的波函数分布能够使能量精准局域, 从而实现定向的WPT. 因此, 将拓扑模式用于耦合阵列WPT具有重要的科学意义. 本文主要阐明了基于宇称-时间(parity-time, PT)对称的通用型双线圈和三线圈WPT的基本原理, 并且介绍了不同拓扑构型下的多米诺线圈阵列能够实现鲁棒的WPT, 包括一维周期性模型(SSH链组成的有效二阶PT对称和有效三阶PT对称系统)、一维非周期性模型(拓扑缺陷态、类SSH链、准周期Harper链)以及高阶拓扑模型, 最后对拓扑模式在WPT的应用方向进行了展望.
编辑推荐
2026, 75 (1): 010808.
doi: 10.7498/aps.75.20251241
摘要 +
作为新一代的纤锌矿铁电材料, Al1–xScxN具有高的剩余极化强度、理想的矩形电滞回线、与CMOS后道工艺兼容、稳定的铁电相等优点. 作为近几年铁电领域的热点材料, 国内外科研人员进行了深入研究. 本文对Al1–xScxN铁电薄膜的研究进展进行了全面的综述. 在Al1–xScxN铁电性的影响因素方面, 讨论了Sc含量、衬底类型、沉积条件、薄膜厚度、测试频率及温度等因素对薄膜的作用. 在极化翻转机制方面, 详细阐述Al1–xScxN电畴特性、翻转动力学、形核位置等微观物理机制. 在应用前景上, Al1–xScxN薄膜在铁电随机存储器、铁电场效应管和铁电隧道结等铁电存储器中表现出巨大潜力, 为新一代高密度、低功耗铁电存储器及纳米电子器件的发展提供有力支持.
总论
2026, 75 (1): 010001.
doi: 10.7498/aps.75.20251114
摘要 +
神经形态计算的硬件实现, 正从传统架构转向对生物神经元内在物理机制的更精细模拟. 聚焦于电场-磁场能量交换这一核心过程, 本文提出一种基于荷控忆阻器的无电容嵌入式神经元电路设计方法. 通过构建无量纲动力学方程并采用雅可比矩阵特征值分析, 验证了该模型的稳定性特征. 研究结果表明, 该模型不仅可通过外界刺激、反转电位及离子通道导通性等参数灵活调控神经元放电模式, 还展现出良好的噪声鲁棒性与能量效率. 进一步通过电阻参数优化策略, 使电路能耗得到显著控制. 本文可为发展高集成度、低能耗的下一代神经形态计算电路提供理论支撑与设计参考.
2026, 75 (1): 010002.
doi: 10.7498/aps.75.20251167
摘要 +
本文研究了一类分段光滑不连续一维映像的动力学, 该映像左支是一线性函数, 右支是指数为z的幂律函数. 在$x=0$处存在间断$[\mu,\mu+\delta]$, 其中μ为控制参数. 当周期轨道失稳时, 系统会进入混沌状态. 而不连续性的出现导致了边界碰撞分岔的发生, 可以使稳定的周期轨道转变为混沌状态或者另外一个稳定的周期状态. 在这类转变点的附近, 常常伴随着吸引子共存现象. 此外, 随控制参数减小出现周期递增现象. 得到了求解这类不连续映像在任意参数z和δ下边界碰撞分岔临界控制参数的一般方法, 将其归结为求解无量纲控制参数($\mu/\mu_0$, 其中$\mu_0$为$\delta=0$时的控制参数)的代数方程, 该方程对于简单的有理数或者较小的整数z, 可以解析求解; 对于任意实数z, 可以数值求解. 据此, 解析得到了$L^{n-1}R$周期轨道的稳定性和边界碰撞分岔的临界控制参数. 基于稳定性和边界碰撞分岔的解析分析, 获得了双参数$\mu\text{-}\delta$平面中系统动力学的相平面, 讨论了系统的动力学行为, 发现了三类余维-2分岔点, 并给出了坐标通式. 同时, 在相平面中还发现了余维分岔点的融合, 构成一类特殊的三相点, 并解析得到其存在的条件.
2026, 75 (1): 010003.
doi: 10.7498/aps.75.20251242
摘要 +
设计新型混沌系统能够丰富加密系统的候选资源, 是基于混沌加密安全性的重要途径. 离散忆阻器因其固有的非线性特性与电路友好特性, 为构建新型混沌系统提供了有效途径. 然而, 其在复值离散混沌系统中的应用仍有待探索. 为此, 本文构建了一种基于离散忆阻器的复高斯混沌模型, 其中忆阻器由复数模长驱动. 通过李雅普诺夫指数、分岔图和相图等数值仿真分析, 验证了该系统具有增强的混沌特性. 同时, 在FPGA数字平台上实现了该模型的硬件部署, 证明其硬件可行性. 基于该模型生成的复值混沌序列, 本文进一步设计了一种双图像加密方案, 将两幅图像视为复数矩阵的实部和虚部, 通过混沌序列进行置乱和扩散操作. 仿真结果表明, 该加密方案具有高安全性, 能够抵抗多种攻击.
2026, 75 (1): 010602.
doi: 10.7498/aps.75.20251171
摘要 +
基于量子存储辅助的测量设备无关量子密钥分发(MDI-QKD)协议原理上能有效提升量子密钥分发系统的传输距离和密钥率, 但现有三强度诱骗态方案受有限长效应影响严重, 仍存在密钥率低、安全传输距离受限等问题. 针对以上问题, 本文提出了一种基于双参数扫描的量子存储辅助MDI-QKD协议, 一方面, 通过使用四强度诱骗态方法降低有限长效应的影响; 另一方面, 结合集体约束模型与双参数扫描算法来优化有限样本下的单光子计数率和相位误码率的估算精度, 从而有效提升系统的整体性能. 同时, 本文开展了相关数值仿真计算, 仿真结果显示, 本方案与现有其他同类MDI-QKD方案, 比如基于存储辅助的三强度诱骗态方案以及不使用存储的四强度诱骗态方案相比, 在相同的实验条件下, 分别提升了超过30 km和100 km的安全传输距离. 因此, 本文工作将为未来发展远距离量子通信网络提供重要的参考价值.
编辑推荐
2026, 75 (1): 010901.
doi: 10.7498/aps.75.20251168
摘要 +
本文通过朗之万动力学模拟研究了具有非互易相互作用的布朗粒子对不对称齿轮的驱动. 结果表明, 即便在没有自推进活性的情况下, 非互易相互作用所产生的净力仍可作为一种有效的非平衡驱动力, 驱动不对称齿轮发生可控的定向旋转. 该系统展现出丰富的非平衡动力学行为: 齿轮的旋转方向不仅受其自身结构不对称性调控, 还可通过改变粒子的填充分数实现反转. 此外, 齿轮的角速度随粒子非互易强度的增强而增大, 并随温度及粒子填充分数呈现非单调变化关系, 在一定参数区间内存在使齿轮角速度达到最大的最优条件. 这些发现为微纳尺度下的定向输运与控制提供了新思路.
原子和分子物理学
编辑推荐
2026, 75 (1): 010302.
doi: 10.7498/aps.75.20251144
摘要 +
太阳辐射层与对流层边界区域($ T\approx180$ eV, $ n_{\mathrm{e}}\approx 9\times10^{22}\;{\rm{cm}}^{-3}$)是太阳内部能量传输方式从辐射主导向对流主导转变的关键界面, 也是研究高温稠密等离子体物理的天然实验室. 这一区域的物理特性决定了恒星演化模型的可靠性与能量传输机制的稳定性, 特别是高温稠密等离子体中强烈的碰撞电离会改变电子数密度分布, 进而影响能量的输运过程. 本文发展了一种耦合等离子体环境效应来计算原子结构的新方法: 通过将计算原子结构的Flexible Atomic Code (FAC)与超网链(hypernetted-chain, HNC)近似相结合, 在原子波函数计算中引入电子-电子、电子-离子关联函数来考虑等离子体中屏蔽效应, 系统研究了极端条件下电子碰撞电离的物理机制. 基于扭曲波近似的计算表明, 考虑等离子体环境效应时, 碳、氮和氧元素的电子碰撞电离截面较自由原子模型显著增强, 同时电离阈值出现明显下降的现象. 研究发现这种增强效应主要源于离子间强耦合导致的原子势场重叠和自由电子屏蔽引起的束缚态能级移动. 本研究直接将离子结构引入电子结构计算的哈密顿量中, 所获得的电离参数可直接用于改进太阳内部辐射输运模型, 为惯性约束聚变等极端条件等离子体研究提供了理论支持.
编辑推荐
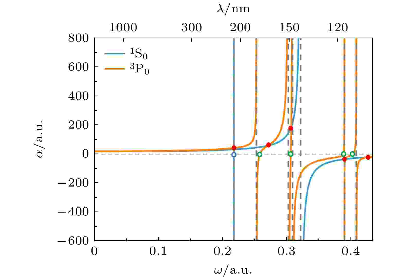
2026, 75 (1): 010303.
doi: 10.7498/aps.75.20251234
摘要 +
原子分子中的光电离时间延迟是阿秒物理学中的基本现象, 它编码了原子分子中的电子结构和动力学信息. 本文主要研究了CO分子最高占据轨道$ 5\sigma \to k\sigma$通道光电离时间延迟的核间距依赖性. 采用基于李普曼-施温格方程的量子散射理论, 计算了不同核间距下的微分光电离截面和时间延迟. 结果表明, 在截面峰值和极小值能量附近, 光电离时间延迟出现明显极值, 且随核间距显著变化. 分波分析表明, $ l=3$分波的形状共振是光电离截面与时间延迟出现峰值的原因, 其有效势场的核间距依赖性决定了光电离时间延迟的峰值能量位置和大小的变化. 在截面极小值附近, 利用双中心干涉模型解释了沿O端和C端出射时的光电离时间延迟分别出现正、负峰值的现象, 并阐明了其随核间距变化的物理机制. 本文揭示了CO分子光电离时间延迟的核间距依赖规律, 有助于推动光电离时间延迟在分子结构及电子动力学探测中的应用.
电磁学、光学、声学、传热学、经典力学和流体动力学
2026, 75 (1): 010402.
doi: 10.7498/aps.75.20251048
摘要 +
本文提出了一种基于卷积神经网络(convolutional neural network, CNN)与改进视觉变换器(vision transformer, VIT)的涡旋光束叠加态轨道角动量(orbital angular momentum, OAM)模式识别方法. 以海洋湍流畸变的三组拉盖尔-高斯光束模式叠加光场强度分布图为输入, 有机整合了CNN的局部特征提取优势与稀疏注意力机制驱动的VIT的全局快速分类能力, 实现端到端的波前畸变高效精准识别. 通过数值仿真模拟海洋湍流环境叠加态OAM模式, 利用功率谱反演法模拟海洋湍流, 以识别准确率和混淆矩阵作为OAM模式识别的评估指标. 实验结果表明, CNN-VIT模型在不同海洋湍流强度、波长、传输距离和模式间隔条件下均展现出优异的OAM模式识别准确率性能. 与现有的CNN和VIT相比, 本文模型在强海洋湍流条件下识别准确率分别提升了23.5%和9.65%. 这证明了CNN-VIT模型在涡旋光叠加态OAM模式识别的应用潜力.
2026, 75 (1): 010403.
doi: 10.7498/aps.75.20251074
摘要 +
为应对未来多变电磁环境对高频宽带信号处理的需求, 突破传统电子器件的带宽限制, 本文提出了一种基于硅基光电子集成平台的可重构微波光子信道化接收芯片. 该芯片采用双级光学处理架构, 前端级联马赫-曾德尔干涉型波分复用器实现粗粒度光谱划分, 规避自由光谱范围严格对齐的复杂性; 核心集成耦合谐振器光波导滤波器阵列作为可调谐带通滤波器, 通过热调耦合系数动态重构带宽(2.25—3.12 GHz), 其20 dB/3 dB形状因子达3.08, 显著提升滚降特性. 仿真验证表明: 该系统支持8—28 GHz或8—36 GHz射频信号的信道化处理, 分割为8个中频子带(1.4—3.6 GHz或2—5 GHz), 聚合带宽覆盖X—K波段; 并通过5 GHz带宽线性调频信号的接收和重构实验证实其宽带信号实时处理能力. 该芯片的高集成度设计与带宽动态重构功能, 为微波光子雷达、多频段射频系统等应用提供了软件定义解决方案, 推动超宽带信号处理向多功能、低功耗方向发展.
编辑推荐
2026, 75 (1): 010405.
doi: 10.7498/aps.75.20251211
摘要 +
1.5 μm和1.7 μm双波长泵浦方案, 可以在实现高效率2.8 μm激光产生的同时解决1.7 μm单波长泵浦由于基态吸收较弱需要较长掺铒氟化物光纤的问题. 建立了基于双波长泵浦低掺铒氟化物光纤的2.8 μm光纤激光器仿真模型, 系统分析了不同泵浦波长组合对2.8 μm激光输出功率和光光转换效率的影响. 仿真结果表明选取1470 nm和1680 nm的双波长泵浦组合, 可以高效地将粒子由基态能级4I15/2搬运至激光上能级4I9/2, 实现粒子数反转, 达到使用米级低掺铒氟化物光纤实现高效率2.8 μm波段激光输出的目标.
2026, 75 (1): 011001.
doi: 10.7498/aps.75.20251095
摘要 +
基于具有守恒性与相容性的N相相场模型, 发展了一种用于高效模拟N相非混溶不可压流体流动的正则化格子Boltzmann方法. 通过设计辅助矩, 该方法能够精确恢复二阶Allen-Cahn方程与修正的动量方程. 通过数值模拟三相液滴透镜铺展与三相Kelvin-Helmholtz不稳定性现象, 验证了所发展的N相正则化格子Boltzmann方法的正确性与有效性. 最后, 对三相Rayleigh-Taylor不稳定性进行了数值模拟与分析, 重点探究了雷诺数在$500\leqslant Re \leqslant 20000$范围内(特别是高雷诺数$Re=20000$工况下)相界面的演化过程, 定量分析了两个界面处气泡与尖钉的振幅以及无量纲化速度的变化规律.
2026, 75 (1): 011002.
doi: 10.7498/aps.75.20251261
摘要 +
有效的气体-表面相互作用参数对准确预测气体在稀薄环境中的流动特性至关重要. 然而微观分子碰撞模型中不同分子动力学模拟方法得到的适应系数差异很大. 为了准确描述非平衡环境中分子碰撞与动量、能量适应的关系, 本文采用分子动力学模拟研究了氩与铂表面的相互作用. 通过单个散射(SS)和连续散射(CS)方法系统地讨论了气-气碰撞对适应系数的影响. 比较了两种方法在不同表面形态、表面温度、入射气体分子速度等影响因素下的气体-表面相互作用特性. 得到了适应系数与表面温度、入射速度等参数之间的依赖关系. 通过分析两种模拟方法的差异, 揭示了多参数入射条件下适应系数变化的物理机制, 为建立更精准的气体-表面相互作用模型提供了重要基础和依据.
气体、等离子体和放电物理
编辑推荐
2026, 75 (1): 010501.
doi: 10.7498/aps.75.20251022
摘要 +
高能粒子(energetic particles, EP)驱动的不稳定性及其调控规律, 是受控核聚变研究中亟需解决的关键科学问题之一. 本文以京都大学Heliotron J装置为实验平台, 系统研究了电子回旋加热(electron cyclotron heating, ECH)与中性束注入(neutral beam injection, NBI)对EP驱动不稳定性的影响. 研究采用实验诊断与数值模拟相结合的方式, 揭示了典型等离子体参数在不稳定性激发与抑制中的作用机制, 以及磁场位型和等离子体参数耦合作用在ECH加热系统影响不稳定性中发挥的作用. 文章通过FAR3D程序分析了随着ECH功率的变化, 高能离子比压、热比压、电子温度以及电阻率对模态驱动和阻尼过程的影响规律. 模拟结果与实验观测在模数和径向结构上高度一致, 证实了增长率对快粒子比压的敏感性, 以及电子温度对朗道阻尼和连续谱阻尼的增强效应. 模拟结果表明高能离子慢化时间的改变在模态演化中发挥重要作用. 研究结果不仅为理解不同磁场位型下ECH加热系统对不稳定性的差异化作用提供了物理依据, 也为未来螺旋器/仿星器类装置中优化加热方式、提升等离子体运行稳定性提供了重要参考.
2026, 75 (1): 010502.
doi: 10.7498/aps.75.20251240
摘要 +
低温感应耦合射频等离子体作为半导体制造中的关键等离子体源, 其中性气体温度通过调控化学反应动力学、活性自由基分布以及等离子体-表面相互作用, 对高质量芯片制造工艺具有重要影响. 本文通过光谱法、布拉格光栅和光纤传感测温等3种测温手段, 系统研究了氮气以及氮氩混合等离子体在不同射频功率、气体压力和气体组分条件下中性气体温度(Tg)的变化规律. 另外, 还结合朗缪尔探针测量的电子密度、电子温度、电子能量概率函数以及整体模型模拟, 分析了中性气体加热的物理机制. 结果表明, 当射频功率增大时, 耦合到等离子体的能量增大, 电离反应增强, 电子-中性粒子之间的碰撞过程和能量传递增大, 使Tg呈单调递增趋势. 而当气压升高初期, 电子密度和背景气体密度增大共同提升了加热效率, Tg快速上升, 但在气压超过3 Pa后, 电子平均自由程缩短, 电子密度下降, 而背景气体密度持续增大, 因而导致Tg 增大变缓. 在氮/氩混合体系放电中, 氩气比例增大显著提高了Tg的上升速率, 这是由于随着氩气比例增大, 高能电子比例和电子密度上升, 增强了电离和中性气体加热, 同时氩亚稳态原子通过彭宁电离提高了氮激发态粒子密度, 并促使氮分子向高能级激发, 进一步加热气体. 此外, 研究发现纯氮等离子体的径向温度分布在轴向高度增大时呈现由抛物线形向马鞍形的转变, 这是因为离线圈越近, 受到电磁场的影响电子碰撞激发反应越强. 研究还发现了径向边缘处的Tg随气压的升高几乎不发生变化, 这是由于当气压不断升高时, 线圈下方的电子很难运动到径向边缘处与中性粒子发生碰撞, 从而限制了边缘中性粒子的加热

