-
耦合Duffing振子在检测强噪声中的微弱脉冲信号时具有可检测信噪比低等优点, 但目前检测模型还存在系统性能与初始状态有关、只能工作在倍周期分岔状态等缺陷. 为此本文构建了一种能克服上述缺点的新的微弱脉冲信号检测模型, 通过对两个Duffing振子同时施加较大的恢复力和阻尼力耦合, 可使振子间产生广义的“阱内失同步”现象, 基于这种现象可实现微弱脉冲信号的检测与恢复. 以信噪比改善和波形相似度为衡量指标, 研究了周期策动力幅值与周期、耦合系数、计算步长、阻尼系数等参量对模型信号检测与波形恢复效果的影响. 对方波、双指数脉冲和高斯导数脉冲进行检测和恢复的实验结果表明, 本文所构建的模型能够在较低信噪比条件下有效地检测并恢复出高斯白噪声背景中的微弱脉冲信号, 进而改善了现有的Duffing振子对非周期脉冲信号的检测能力并扩展了其应用领域.
-
关键词:
- 微弱脉冲信号/
- 强耦合Duffing振子/
- 信号检测/
- 参数估计
Pulse signal detection is widely used in nuclear explosion electromagnetic pulse detection, lightning signal detection, power system partial discharge detection, electrostatic discharge detection, and other fields. The signal strength becomes weak with the increase of the detection distance and may be submerged in strong Gaussian noise for remote detection. Therefore, the detection and recovery of the weak signals, especially the weak pulse signals, have important applications in signal processing area. Some methods have been reported to detect and estimate weak pulse signals in strong background noise. Coupled Duffing oscillators are usually used in processing periodic signals, though it is still in an exploration stage for aperiodic transient signals. There remain some problems to be solved, for example, the system performance depends on some initial values, results are valid only for the period-doubling bifurcation state, the waveform time domain information cannot be accurately estimated, etc. In this paper, we explain the reasons why there exist these inherent defects in the current weakly coupled Duffing oscillators. In order to solve the above-mentioned problems, a new signal detection and recovery model is constructed, which is characterized by coupling the restoring force and damping force of the two oscillators simultaneously. A large coupling coefficient is applied to the two Duffing oscillators, and a generalized " in-well out-of-synchronization”phenomenon arises between the oscillators which conduces to detecting and recovering the weak pulse signals, and also overcoming the defects mentioned above. Using the metrics of signal-to-noise ratio improvement (SNRI) and waveform similarity, the effects of amplitude and period of periodic driving force, coupling coefficient, step size and damping coefficient on signal detection and waveform recovery are studied. Finally, experiments are performed to detect and recover the following three kinds of pulses: square wave pulses, double exponential pulses, and Gaussian derivative pulses. The input SNR thresholds of these three waveforms are –15, –12, and –16 dB, respectively, under the detection probabilities and waveform similarity all being greater than 0.9 simultaneously. The maximum error of the pulse amplitude and pulse width are both less than 5% of their corresponding true values. In summary, the strongly coupled Duffing system has advantages of being able to operate in any phase-space state and being no longer limited by the initial values. Especially, the time domain waveform of weak pulse signals can be well recovered in the low SNR case, and the error and the minimum mean square error are both very low.-
Keywords:
- weak pulse signal/
- strongly coupled Duffing oscillators/
- signal detection/
- parameter estimation
[1] [2] [3] [4] [5] [6] [7] [8] [9] [10] [11] [12] [13] [14] [15] [16] [17] [18] [19] [20] [21] [22] [23] [24] [25] [26] [27] [28] -
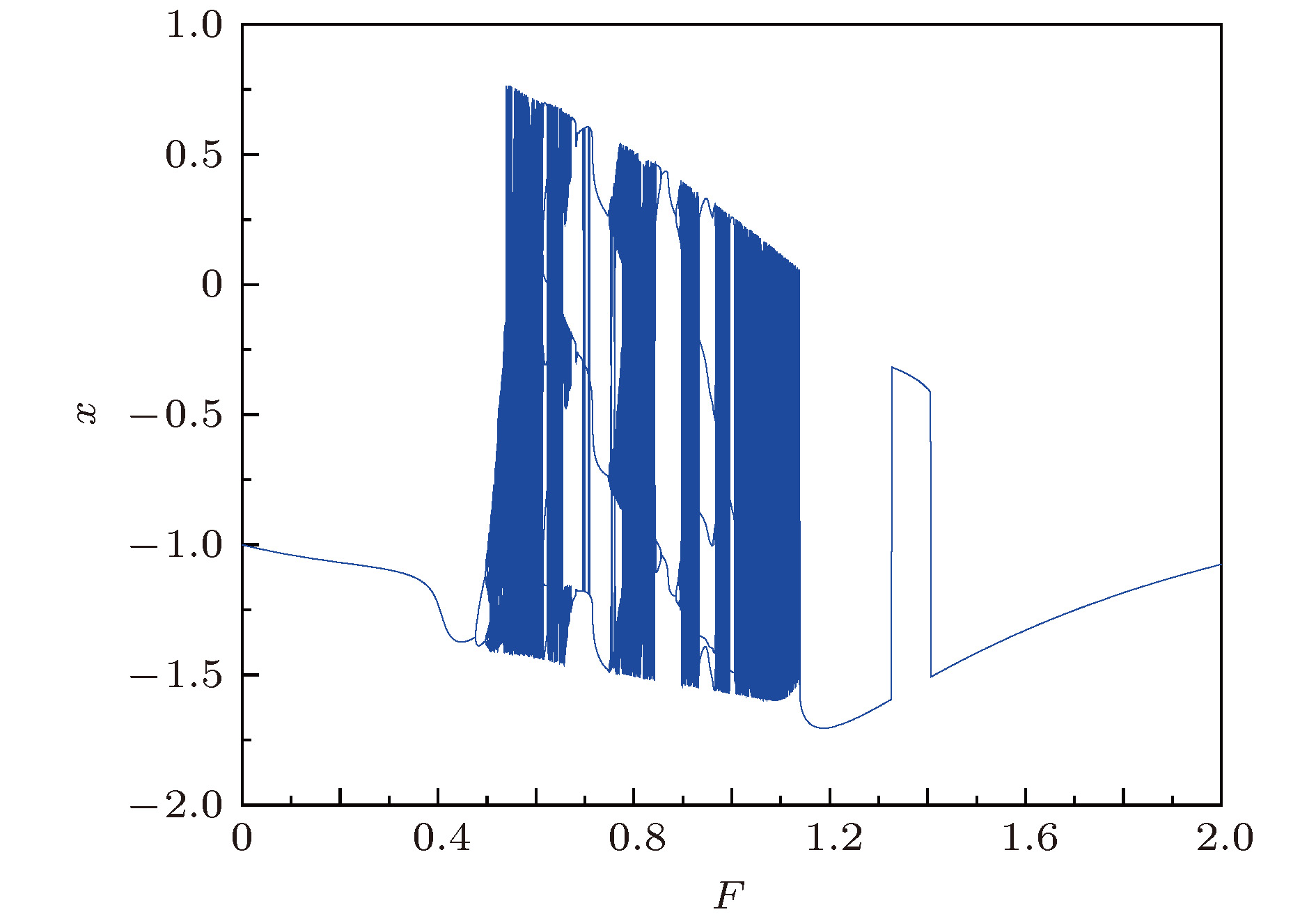
参数 取值区间 默认值 F [0, 2] 0.2 $\omega $/${\rm rad}\cdot {{\rm s}^{-1}} $ [1 × 105, 5 × 107] 5 × 106 k [10–1, 103] 10 $\xi$ [10–2, 102] 0.7 计算步长/ns [20, 1] 1 脉冲类型 波形时域特征 Duffing振子参数 方波 上升时间0.1 ms $\omega = 50$ rad/s 半高宽1 s 计算步长0.1 ms 双指数脉冲 上升时间3 ${\text{μs}}$ $\omega = 5 \times {10^5}$ rad/s 半高宽25 ${\text{μs}}$ 计算步长10 ns 高斯导数脉冲 上升时间1.5 ${\text{μs}}$ $\omega = 4 \times {10^6}$ rad/s 峰峰宽1.45 ${\text{μs}}$ 计算步长1 ns 脉冲类型 输入信噪比/dB –20 –19 –18 –17 –16 –15 –14 –13 –12 –11 –10 方波 检测概率/% 14.0 21.5 41.5 60.5 78.0 91.5 99.0 100 100 100 100 波形相似度r 0.88 0.90 0.92 0.93 0.94 0.95 0.96 0.97 0.97 0.98 0.98 双指数脉冲 检测概率/% 0.5 4.5 5.5 10.0 23.5 51.0 67.5 87.5 95.5 100 100 波形相似度r 0.67 0.71 0.74 0.78 0.81 0.84 0.86 0.88 0.90 0.91 0.92 高斯导数脉冲 检测概率/% 37.5 55.0 73.0 86.5 94.0 99.5 100 100 100 100 100 波形相似度r 0.85 0.87 0.88 0.89 0.90 0.91 0.92 0.92 0.93 0.93 0.93 脉冲类型 输入信噪比/dB –16 –15 –14 –13 –12 –11 –10 方波 真实值 — 0.1125 0.1262 0.1416 0.1589 0.1783 0.2000 估计值 — 0.1114 0.1304 0.1375 0.1641 0.1761 0.1943 误差/% — –0.98 3.34 –2.90 3.29 –1.24 –2.85 MSE/10–4 — 1.26 1.43 0.75 2.04 1.23 2.49 双指数脉冲 真实值 — — — — 0.1589 0.1783 0.2000 估计值 — — — — 0.1586 0.1773 0.2032 误差/% — — — — –0.16 –0.55 1.62 MSE/10–4 — — — — 2.79 6.43 5.03 高斯导数脉冲 真实值 0.1002 0.1125 0.1262 0.1416 0.1589 0.1783 0.2000 估计值 0.1039 0.1180 0.1297 0.1423 0.1595 0.1807 0.1960 误差/% 3.74 4.93 2.78 0.52 0.41 1.35 –2.02 MSE/10–4 0.29 0.89 0.79 1.60 0.82 1.46 0.71 脉冲类型 输入信噪比/dB –16 –15 –14 –13 –12 –11 –10 方波 真实值/s — 1.0000 1.0000 1.0000 1.0000 1.0000 1.0000 估计值/s — 1.0011 0.9988 0.9941 0.9984 0.9972 0.9986 误差/% — 0.11 –0.12 –0.59 –0.16 –0.28 –0.14 MSE/10–4 — 1.40 1.11 0.57 0.13 0.56 0.45 双指数脉冲 真实值/${\text{μ}}{\rm s}$ — — — — 25 25 25 估计值/${\text{μ}}{\rm s}$ — — — — 25.22 24.79 24.68 误差/% — — — — 0.89 –0.84 –1.27 MSE — — — — 15.8 3.8 7.7 高斯导数脉冲 真实值/${\text{μ}}{\rm s}$ 1.45 1.45 1.45 1.45 1.45 1.45 1.45 估计值/${\text{μ}}{\rm s}$ 1.38 1.52 1.52 1.47 1.48 1.52 1.46 误差/% –5.02 4.99 4.61 1.43 2.37 4.49 0.34 MSE 0.011 0.023 0.017 0.032 0.024 0.003 0.012 -
[1] [2] [3] [4] [5] [6] [7] [8] [9] [10] [11] [12] [13] [14] [15] [16] [17] [18] [19] [20] [21] [22] [23] [24] [25] [26] [27] [28]
计量
- 文章访问数:9220
- PDF下载量:130
- 被引次数:0












下载:









