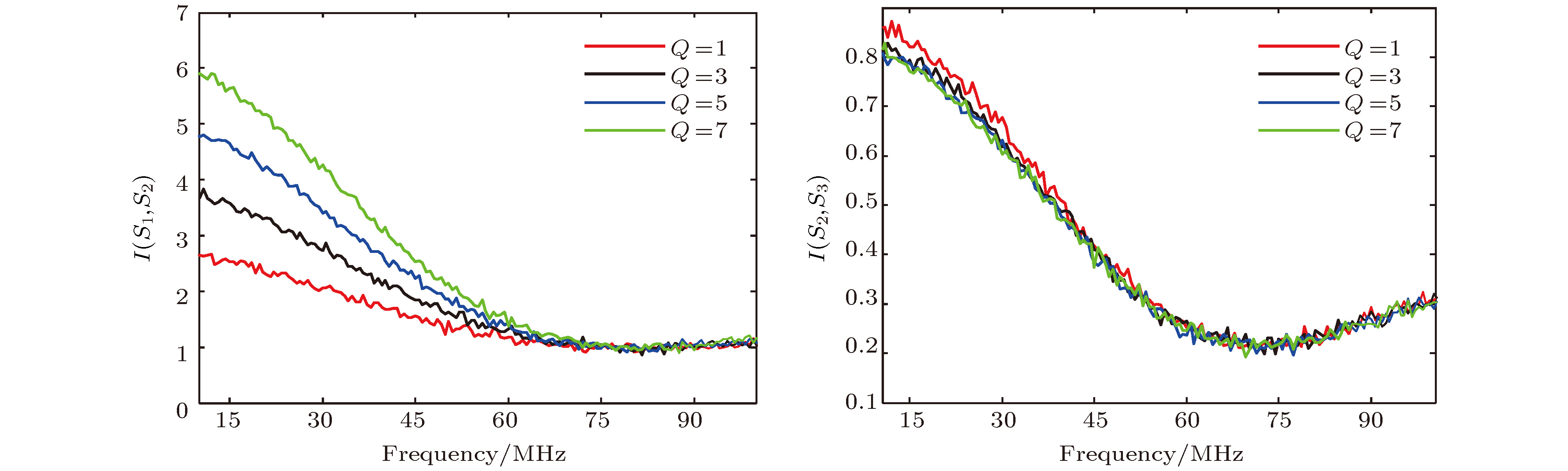
\begin{document}$I({\hat S_1},{\hat S_2})$\end{document}, \begin{document}$I({\hat S_2},{\hat S_3})$\end{document}, 并进一步分析了I分别与压缩度r、振幅比值Q的关系, 发现\begin{document}$I({\hat S_1},{\hat S_2})$\end{document}, \begin{document}$I({\hat S_2},{\hat S_3})$\end{document}分别对振幅比值Q、压缩度r的变化敏感, 且在本文研究的条件下\begin{document}$I({\hat S_1},{\hat S_2})$\end{document}始终大于1, \begin{document}$I({\hat S_2},{\hat S_3})$\end{document}始终小于1, 斯托克斯参量\begin{document}${\hat S_2}$\end{document}, \begin{document}${\hat S_3}$\end{document}构成不可分态, 方案产生的两个微波信号\begin{document}${\hat E_a}$\end{document}\begin{document}${\hat E_b}$\end{document}存在二组分极化纠缠, 最佳纠缠出现在70 MHz附近, 此时\begin{document}$I({\hat S_2},{\hat S_3})$\end{document}取得最小值0.25."> - 必威体育下载

搜索

x

留言板

姓名
邮箱
手机号码
标题
留言内容
验证码

downloadPDF
引用本文:
Citation:

    罗均文, 吴德伟, 李响, 朱浩男, 魏天丽

    Continuous variable polarization entanglement in microwave domain

    Luo Jun-Wen, Wu De-Wei, Li Xiang, Zhu Hao-Nan, Wei Tian-Li
    PDF
    HTML
    导出引用
    计量
    • 文章访问数:6143
    • PDF下载量:53
    • 被引次数:0
    出版历程
    • 收稿日期:2018-10-26
    • 修回日期:2018-12-04
    • 上网日期:2019-03-01
    • 刊出日期:2019-03-20

      返回文章
      返回