-
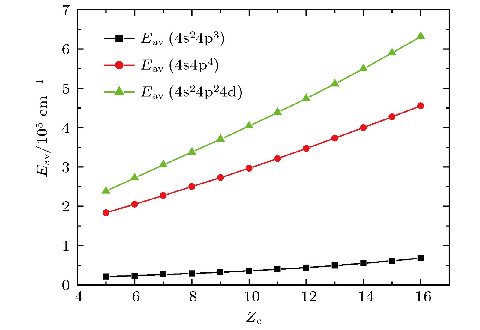
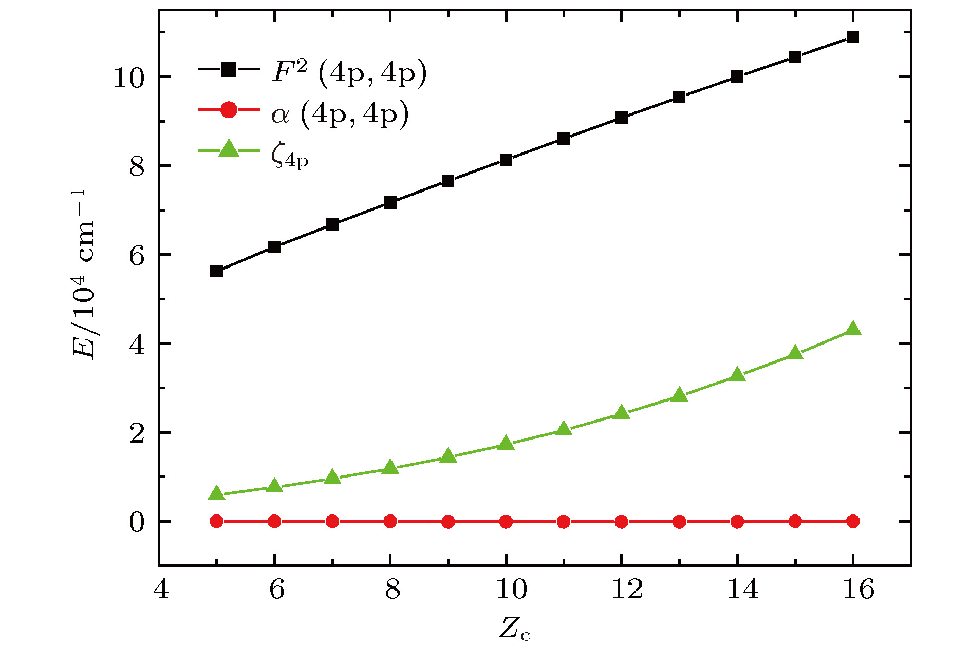
用HFR (Hartree-Fock with relativistic corrections)方法对Rb V—Cd XVI离子4s 24p 3和4s4p 4组态能级结构做了全面系统的理论计算研究. 通过分析能级结构参数的HFR理论计算值与基于实验能级拟合得到的计算值之比值随着原子序数 Z c变化的规律, 运用广义拟合外推方法预言了这些离子能级结构参数. 由此进一步计算了Rh XIII, Pd XIV, Ag XV和Cd XVI离子4s 24p 3( 4S 3/2, 2P 1/2, 3/2, 2D 3/2, 5/2)和4s4p 4( 4P 1/2, 3/2, 5/2, 2P 1/2, 3/2, 2D 3/2, 5/2, 2S 1/2)组态能级以及电偶极跃迁波长与振子强度. 研究表明, 对于4s 24p 3组态, 单组态近似可以得到较满意的结果; 而对于4s4p 4组态, 只有在考虑了4s 24p 24d的组态相互作用效应时, 计算结果的准确性才能明显得到提高. 同时, 本文还运用全相对论grasp2K-DEV程序包计算了Rh XIII—Cd XVI离子组态能级. 对于Rh XIII离子4s 24p 3( 2P 1/2), Pd XIV离子4s 24p 3( 4S 3/2, 2P 1/2, 3/2, 2D 3/2, 5/2)和4s4p 4( 2P 1/2, 3/2, 2D 3/2, 5/2, 2S 1/2), 能级均无实验值; 对于Ag XV和Cd XVI离子, 截至目前还没实验能级数据, 没有实验能级值的所有数据均仅来自本文的计算数值. 本文计算结果与已有实验值吻合得很好.
-
关键词:
- Rh XIII—Cd XVI离子/
- 能级/
- 跃迁波长/
- 振子强度
Ions from Rh XIII to Cd XVI belong to the arsenic isoelectronic sequence ions. Their ground configuration is 4s 24p 3, and the lower excited configurations are 4s4p 4, 4s 24p 24d and 4s 24p 25s etc. The present study aims to predict the energy levels and transition data unknown in experiment for configurations 4s 24p 3and 4s4p 4from Rh XIII to Cd XVI ions, by analyzing the trend of the variation of Slater-Condon parameters along the As-like sequence based on the experimental energy levels available in the literature. So, the theoretical analyses of fine-structure energy levels of these configurations are conducted for the sequence ions from Rb V to Cd XVI by Hartree-Fock with Relativistic correction (HFR) method in Cowan’ code. The Slater-Condon parameter values of energy levels are obtained by least-square-fit (LSF) technique for ions mentioned above with the available experimental data. For the unknown parameters, the generalized-least-square-fit (GLSF) technique is used together with the extra (or inter)-polation method. With these new parameter values, the energy levels of 4s 24p 3and 4s4p 4, the wavelengths and oscillator strengths of the transition array 4s 24p 3−4s4p 4are computed. This research shows that for 4s 24p 3, the single-configuration approximation of HFR calculation can present the satisfactory results, however, for 4s4p 4, the reasonable good results can be achieved only by multi-configuration(4s4p 4+ 4s 24p 24d) approximation, which can be verified by the obtained data. Comparing the absolute differences between observed and present LSF calculated levels’ values (including multi-configuration interaction) for the 4s4p 4configuration in ions from Rb V to Mo X with the results computed in a similar Hartree-Fock single-configuration approximate method by Person and Pettersson (Person W, Pettersson S G 1984 Phys. Scr. 29308), we can see that the present LSF energy levels are improved substantially. For example, the LSF minimum and maximum absolute deviation value at present are 1 cm –1and 140 cm –1, respectively, much more accurate than the results presented by Person et al., which are 45 cm –1and 382 cm –1. The predicted data are in good agreement with the experimental results. For obtaining more information, the energy levels of 4s 24p 3and 4s4p 4configurations are computed by grasp2K-DEV package in valence-valence correlation scheme, which is based on the fully relativistic multi-configuration Dirac-Hartree-Fock (MCDHF) theory. The overall MCDHF energy levels are generally in accordance with the experimental results. The data obtained in this research are expected to be used in the future relevant theoretical and experimental investigations.-
Keywords:
- ions Rh XIII−Cd XVI/
- energy levels/
- wavelengths/
- oscillator strengths
[1] [2] [3] [4] [5] [6] [7] [8] [9] [10] [11] [12] [13] [14] [15] [16] [17] [18] [19] [20] [21] [22] -
离子能级 Rb V Sr VI Y VII Zr VIII Nb IX Mo X ${\varDelta _{\rm{s}}}$ ${\varDelta _{\rm{m}}}$ ${\varDelta _{\rm{s}}}$ ${\varDelta _{\rm{m}}}$ ${\varDelta _{\rm{s}}}$ ${\varDelta _{\rm{m}}}$ ${\varDelta _{\rm{s}}}$ ${\varDelta _{\rm{m}}}$ ${\varDelta _{\rm{s}}}$ ${\varDelta _{\rm{m}}}$ ${\varDelta _{\rm{s}}}$ ${\varDelta _{\rm{m}}}$ 2D5/2 218 7 260 –14 293 3 332 –5 373 –15 435 –29 4P5/2 –327 –8 –359 –50 –329 –33 –316 –7 –320 18 –334 36 2P3/2 –214 4 –25 –15 60 –7 100 –2 126 –1 151 –8 2D3/2 –212 12 –258 –71 –294 –47 –336 5 –382 66 –452 122 4P3/2 121 4 150 36 163 39 183 43 215 53 259 64 2S1/2 –259 8 –275 –25 –265 69 –271 1 –289 –75 –319 –140 2P1/2 468 17 300 102 210 –12 181 1 180 17 196 32 4P1/2 45 9 206 –4 162 –21 127 –36 97 –50 66 –59 离子 能级 Eexp/cm–1 ELSF/cm–1 EGLSF/cm–1 EMCDHF/cm–1 本征矢纯度 Rh XIII 4s24p3 4S3/2 0 0 0 0 71% + 21%2P3/2+ 9%2D3/2 2D3/2 35762 35820(58) 35863(101) 35992(230) 66% + 22%4S3/2+ 12%2P3/2 2D5/2 49151 49072(–79) 49110(–41) 49284(133) 100% 2P1/2 72267p 72237(–30)p 72279(12)p 72915(648) 100% 2P3/2 100673 100642(–31) 100722(49) 100668(–5) 68% + 25%2D3/2+ 7%4S3/2 4s4p4 4P5/2 284236 284230(–6) 284111(–125) 283365(–871) 87% + 6%2D5/2+ 5%4s24p24d4P5/2 4P3/2 308739 308504(–235) 308770(31) 307548(–1191) 86% + 6%4s24p24d4P3/2+ 5%2D3/2 4P1/2 313989 314205(36) 314507(518) 313218(–771) 82% + 11%2S1/2+ 6%4s24p24d4P1/2 2D3/2 349977 350012(35) 349934(–43) 352413(2436) 69% + 14%4s24p24d2D3/2+ 7%4P3/2 2D5/2 359733 359722(–11) 359614(–119) 361457(1724) 76% + 15%4s24p24d2D5/2+ 7%4P5/2 2S1/2 395765 395592(–173) 395707(–58) 399771(4006) 47% + 26%2P1/2+ 9%4s24p24d2S1/2 2P3/2 401975 401960(–15) 401883(–92) 408136(6161) 55% + 28%4s24p24d2P3/2+ 8%2D3/2 2P1/2 439005 439001(–4) 439405(400) 444364(5359) 33% + 25%2S1/2+ 23%4s24p24d2P1/2 Pd XIV 4s24p3 4S3/2 0 0 0 0 66% + 23%2P3/2+ 10%2D3/2 2D3/2 40021p 40092(71)p 40175(154)p 40147(126) 64% + 26%4S3/2+ 11%2P3/2 2D5/2 54958p 54852(–106)p 54935(–23)p 54996(38) 100% 2P1/2 79147p 79112(–35)p 79189(42)p 79766(619) 100% 2P3/2 113280p 113224(–56)p 113295(15)p 113113(–167) 66% + 26%2D3/2+ 8%4S3/2 4s4p4 4P5/2 305545 305506(–39) 305289(–256) 304542(–1003) 87% + 7%2D5/2+ 5%4s24p24d4P5/2 4P3/2 333774 333809(35) 333389(–385) 332461(–1313) 86% + 6%2D3/2+ 6%4s24p24d4P3/2 4P1/2 339032 339356(324) 339321(289) 338267(–765) 80% + 13%2S1/2+ 6%4s24p24d4P1/2 2D3/2 376537p 377555(1019)p 376256(–281)p 378921(2384) 67% + 13%4s24p24d2D3/2+ 9%4P3/2 2D5/2 388385p 387860(–525)p 387887(–498)p 389905(1520) 76% + 14%4s24p24d2D5/2+ 8%4P5/2 2S1/2 425277p 424079(–1189)p 424752(–525)p 429012(3735) 45% + 28%2P1/2+ 9%4P1/2 2P3/2 432003p 431953(–50)p 431264(–739)p 438183(6180) 53% + 27%4s24p24d2P3/2+ 10%2D3/2 2P1/2 468322p 468558(236)p 474603(6281)p 480060(11738) 30% + 25%2S1/2+ 21%4p24d2P1/2 Ag XV 4s24p3 4S3/2 0 0 62% + 26%2P3/2+ 12%2D3/2 2D3/2 45260 45098 62% + 29%4S3/2+ 9%2P3/2 2D5/2 61485 61457 100% 2P1/2 86808 87360 100% 2P3/2 127267 127015 65% + 26%2D3/2+ 9%4S3/2 4s4p4 4P5/2 327358 326566 86% + 8%2D5/2+ 5%4s24p24d4P5/2 4P3/2 358887 358483 81% + 8%4s24p24d4P3/2+ 6%2D3/2 4P1/2 364986 364313 78% + 15%2S1/2+ 6%4s24p24d4P1/2 2D3/2 403533 406661 64% + 12%4p24d2D3/2+ 12%4P3/2 2D5/2 417320 419813 76% + 14%4s24p24d2D5/2+ 9%4P5/2 2S1/2 454883 459653 43% + 29%2P1/2+ 10%4s24p24d2S1/2 2P3/2 461039 469489 47% + 26%4s24p24d2P3/2+ 12%2D3/2 2P1/2 510793 517520 26% + 24%2S1/2+ 20%4s24p24d2P1/2 Cd XVI 4s24p3 4S3/2 0 0 58% + 28%2P3/2+ 14%2D3/2 2D3/2 51168 50914 59% + 33%4S3/2+ 8%2P3/2 2D5/2 68806 68729 100% 2P1/2 95174 95759 100% 2P3/2 142703 142486 64% + 27%2D3/2+ 9%4S3/2 4s4p4 4P5/2 350419 349499 85% + 7%2D5/2+ 5%4s24p24d4P5/2 4P3/2 385245 385637 78% + 9%4s24p24d4P3/2+ 5%2D3/2 4P1/2 391550 391382 76% + 17%2S1/2+ 5%4s24p24d4P1/2 2D3/2 431691 435771 60% + 15%4s24p24d2D3/2+ 10%4P3/2 2D5/2 447887 451301 76% + 13%4s24p24d2D5/2+ 9%4P5/2 2S1/2 486090 491836 41% + 30%2P1/2+ 12%4s24p24d2S1/2 2P3/2 489808 502144 33% + 23%4s24p24d2P3/2+ 15%2D3/2 2P1/2 547585 556756 21% + 29%2S1/2+ 23%4s24p24d2P1/2 离子参数 Rh XIII Pd XIV Ag XV Cd XVI HFR LSF GLSF HFR LSF GLSF HFR GLSF HFR GLSF Eav(4s24p3) 84293 49254 49278 93187 55055 54835 103082 61632 114034 67464 F2(4p, 4p) 135018 95436 95372 139395 99964 100188 143769 104494 148147 109733 $\alpha $(4p, 4p) 50 –65 –70 50 –67 –90 50 –61 50 –127 ${\zeta _{4{\rm{p}}}}$ 52094 28120 28143 58686 32620 32403 65899 37541 73770 42137 Eav(4s4p4) 465733 373048 373412 494416 399046 401829 524621 428489 556932 460700 F2(4p, 4p) 134929 108077 108197 139305 112434 113134 143679 117141 148056 122299 $\alpha $(4p, 4p) 50 25 27 50 68 28 50 34 50 32 ${\zeta _{4{\rm{p}}}}$ 52046 28688 28919 58636 43974 34588 65846 37300 73714 47415 G1(4s, 4p) 157248 125955 126094 162275 130973 131787 167303 136397 172339 142349 Eav(4s24p44d) 607730 512551 511233 639800 1064552 547714 673345 589678 708331 624580 F2(4p, 4p) 134980 113841 113545 139352 231866 119342 143723 125896 148098 130840 $\alpha $(4p, 4p) 50 –8170 –8516 50 –31872 –12109 50 –9682 50 –19122 ${\zeta _{4{\rm{p}}}}$ 52183 26219 28282 58781 37685 32566 66000 44423 73875 44653 ${\zeta _{4{\rm{d}}}}$ 6735 7573 6146 7648 361714 9397 8649 7711 9744 17964 F2(4p, 4d) 118694 100105 99845 122677 204120 105062 126654 110945 130628 115408 G1(4p, 4d) 146907 123899 123578 151575 252202 129812 156229 136856 160878 142141 G3(4p, 4d) 94580 79768 79561 97657 162489 83636 100724 88236 103787 91702 R(4p4p, 4s4d) 151283 121177 121309 156089 125980 126756 160886 131151 165684 136827 离子跃迁 $\lambda $/nm ${\lambda _{\exp }}$/nm ${\Delta _\lambda }$/nm gf× 10 Rh XIII 2P3/2—2D3/2 40.126 40.079b –0.047 0.01 4S3/2—4P5/2 35.197 35.186 –0.011 2.58 —4P3/2 32.386 32.394 0.008 2.42 2D5/2—2D5/2 32.205 32.197 –0.008 3.77 4S3/2—4P1/2 31.795 31.852 0.057 1.17 2D3/2—2D3/2 31.839 31.829 –0.01 3.74 2P1/2—2S1/2 30.918 1.87 2P3/2—2P1/2 29.526 29.56 0.034 3 4S3/2—2D3/2 28.576 0.27 2D5/2—2P3/2 28.346 28.345 –0.001 6.79 2D3/2—2S1/2 27.789 27.781 –0.008 2.08 —2P3/2 27.32 27.31 –0.01 0.59 —2P1/2 24.78 24.802 0.022 0.37 4S3/2—2P3/2 24.882 24.88 –0.002 0.34 —2P1/2 22.758 0.01 Pd XIV 2P3/2—2D3/2 38.008 0.01 4S3/2—4P5/2 32.749 32.732 –0.017 2.55 —4P3/2 29.92 29.964 0.044 2.59 2D5/2—2D5/2 29.993 29.974 –0.019 3.48 4S3/2—4P1/2 29.411 29.499b 0.088 1.2 2D3/2—2D3/2 29.766 3.6 2P1/2—2S1/2 28.908 1.84 2P3/2—2P1/2 27.534 2.54 4S3/2—2D3/2 26.603 0.23 2D5/2—2P3/2 26.499 26.525 0.026 6.36 2D3/2—2S1/2 25.973 2.02 —2P3/2 25.507 25.513 0.006 0.62 —2P1/2 17.106 0.82 4S3/2—2P3/2 23.148 0.37 —2P1/2 21.009 0.01 Ag XV 2P3/2—2D3/2 36.196 0.01 4S3/2—4P5/2 30.547 2.38 —4P3/2 27.863 2.73 2D5/2—2D5/2 28.102 3.96 4S3/2—4P1/2 27.398 1.27 2D3/2—2D3/2 27.911 3.94 2P1/2—2S1/2 27.168 1.94 2P3/2—2P1/2 26.739 0.01 4S3/2—2D3/2 24.781 0.36 2D5/2—2P3/2 25.027 6.14 2D3/2—2S1/2 24.412 2.27 —2P3/2 24.051 0.21 —2P1/2 21.93 0.07 4S3/2—2P3/2 21.69 0.19 —2P1/2 19.95 0.77 Cd XVI 2P3/2—2D3/2 34.603 0.01 4S3/2—4P5/2 28.537 2.26 —4P3/2 25.957 2.87 2D5/2—2D5/2 26.379 4.05 4S3/2—4P1/2 25.539 1.32 2D3/2—2D3/2 26.279 3.97 2P1/2—2S1/2 25.58 1.96 2P3/2—2P1/2 26.066 0.01 4S3/2—2D3/2 23.164 0.35 2D5/2—2P3/2 23.752 4.35 2D3/2—2S1/2 22.992 2.37 —2P3/2 22.797 0.01 —2P1/2 21.045 0.03 4S3/2—2P3/2 20.416 0.01 —2P1/2 18.999 1.54 注: ${\lambda _{\exp }}$表示实验值取自文献[8], b表示该谱线为混合谱线 -
[1] [2] [3] [4] [5] [6] [7] [8] [9] [10] [11] [12] [13] [14] [15] [16] [17] [18] [19] [20] [21] [22]
计量
- 文章访问数:7978
- PDF下载量:41
- 被引次数:0












下载:

