Magnetometry has already been widely used in mineral exploration, medical exploration and precision measurement physics. One is trying to improve the sensitivity of the magnetometer. One of the most widely used magnetometers is based on the Bell-Bloom structure, which can be realized by modulating the pump light. The sensitivity of the Bell-Bloom magnetometer is determined by the magnetic resonance linewidth (MRL) and the signal-to-noise under the condition of magnetic resonance (SNR). Both are affected by the pump intensity and the relaxation rate of the atoms. In order to achieve a higher sensitivity, how these factors affect the magnetic field measurement should be analyzed. In this paper, the influence of the pump light on the sensitivity of the linearly polarized Bell-Bloom magnetometer is investigated based on the Bloch equation with amplitude modulated pump beam and the rate equations with spin relaxation. The rate equations are obtained from the Liouville equation, and the theoretical analysis is based on the cesium. The pump beam is linearly polarized and is resonant to D
1transition of cesium. Both the direct pump (pump frequency is resonant to
${6^2}{{\rm{S}}_{1/2}}\;F = 4$
−
${6^2}{{\rm{P}}_{1/2}}\;F' = 3$
transition) and the indirect pump (pump frequency is resonant to
${6^2}{{\rm{S}}_{1/2}}\;F = 3 $
−
${6^2}{{\rm{P}}_{1/2}}\;F' = 4$
transition) are analyzed. The experiment is performed based on a 20-mm cube cesium vapour cell with 20-Torr helium as buffer gas. The linearly polarized probe beam is tuned to resonance to cesium D
2transition
${6^2}{{\rm{S}}_{1/2}}\;F = 4$
−
$ {6^2}{{\rm{P}}_{3/2}}\;F' = 5$
, and the intensity of the probe is 0.2 W/m
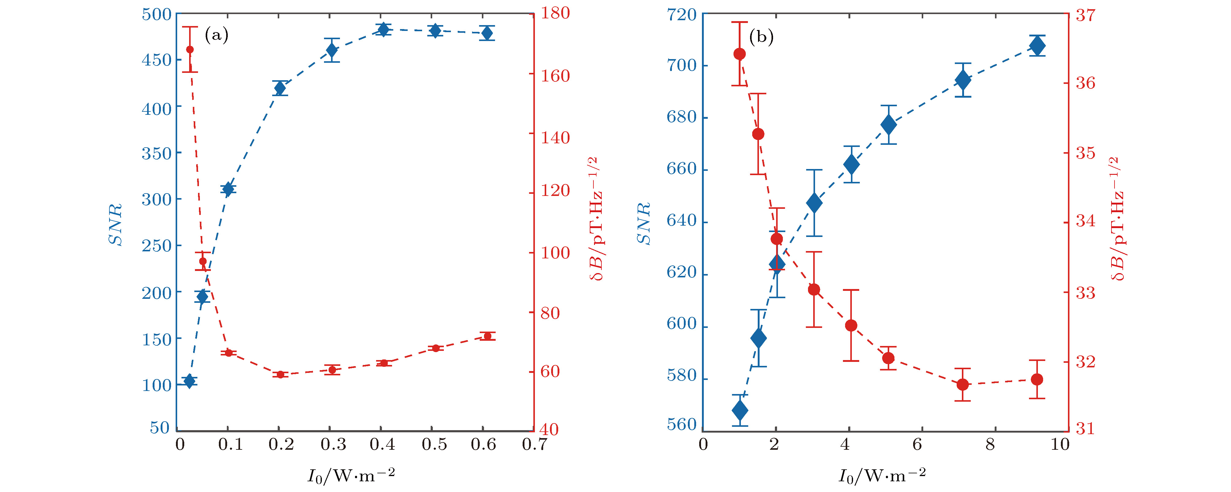
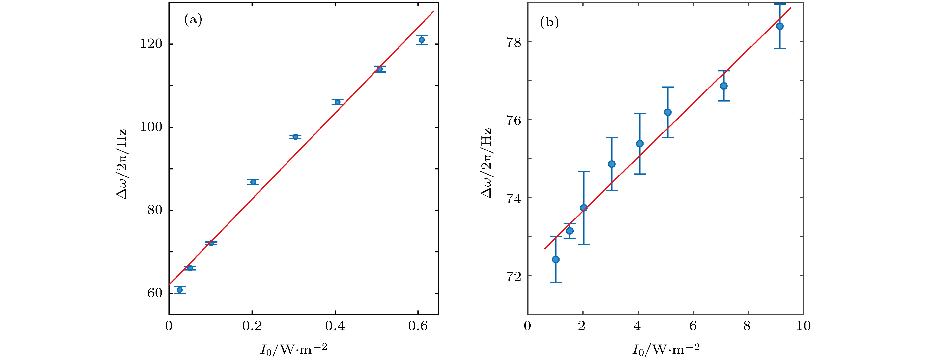
2. The spectra of magnetic resonance are measured by using the lock-in detection with a scanning of the modulation frequency. Then the sensitivity can be obtained by measuring MRL and SNR. The experimental results show that the sensitivity and the pump intensity are related nonlinearly, which is coincident with theoretical result. Higher sensitivity can be obtained under the condition of indirect pump. In addition, the effect of atomic spin relaxation on sensitivity is also analyzed with the indirect pump beam. This work clarifies the dynamics of the Bell-Bloom magnetometer to some extent. The highest sensitivity obtained is
$31.7\;{\rm{pT}}/\sqrt {{\rm{Hz}}} $
in our experiment, which can be optimized by using other kinds of vapour cells and different measuring methods.