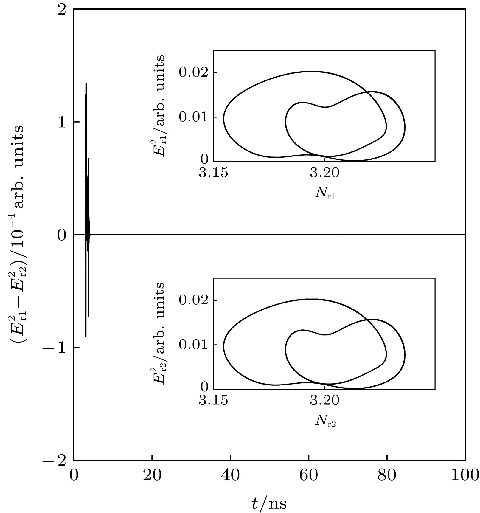
In this paper, chaotic parallel synchronization and quasi-periodic parallel synchronization between two mutually coupled different semiconductor lasers and other lasers are studied, and the regeneration of chaotic laser and key technology of repeater are discussed. The complex dynamic system and network of laser parallel series are presented in mathematics and in physics, and the network topology diagram and optics path are specified. A mathematical-physical model is given to study how to obtain parallel synchronization via the coupled driving nonlinear equations. The operating principle of the repeater is put forward for chaotic secure communication, and the channel equation of repeater is established because the laser chaotic behavior is extremely sensitive to external influences and system parameter changes. The laser’s chaotically regenerating and transmitting is successfully realized via two sets of repeaters. The chaotic encoding communication with repeaters is successfully completed while the encoding information signal is accurately extracted from the chaotic carrier by a filter and calculating the synchronous difference. We adopt three sets of lasers as a research case to simulate and verify the theory of laser parallel series network we put forward to fit perfectly the obtained numerical results. We study the parameter mismatch problem of the system, where the synchronous difference is numerically calculated by varying some parameters of the lasers. In the case of smaller parameter mismatch, the system has a highly synchronous capability to a certain degree. This is a novel laser chaotic encoding network in chaotic secure communication and characterizes the core technical elements of the repeater. The laser transmitter has four nonlinear interaction variables, where the nonlinear interaction between the amplitude and phase of the two optical fields results in highly nonlinear dynamics. The system has the characteristics of high nonlinearity, multi-variable, high-dimension, and multi-key. So it is highly secure and not easy to crack. The results have an important reference value for the chaos applications in remote secure communication, optical network and laser technology.