-
磁屏蔽在磁场敏感的装置如原子钟、原子干涉仪等精密设备中发挥重要的作用, 在变化外磁场下的某个磁屏蔽内部剩余磁场, 可以通过Jiles-Atherton磁滞模型和磁屏蔽系数计算得出, 根据计算结果可以进行主动补偿来抵消内部磁场的改变. 然而实际应用中磁滞模型中五个与磁屏蔽相关的参数以及磁场衰减的两个参数的准确值的获得是比较困难的, 通常根据实测磁滞回线人工匹配调节参数会花费大量时间且很难确保最终参数是全局最优值. 基于人工神经网络的机器学习方法已经成为一种对复杂模型进行参数优化的有效手段, 得益于现代计算机强大的运算能力, 该过程通常远远快于人工参数调节, 并有更大概率找到全局最优值, 获得优于手工调节的参数值. 本文利用人工神经网络在线机器学习的方法, 对磁滞模型的五个参数与磁屏蔽的另外两个屏蔽相关参数进行优化测定, 并对模拟卫星磁场环境下磁屏蔽内剩余磁场进行预测. 通过实际测量屏蔽筒内剩余磁场与预测值比对, 发现通过机器学习方法得到的磁屏蔽特性参数优于手动找到的参数, 且所用时间大大缩短. 该结果不仅有助于更好地进行磁场补偿, 用于冷原子系统参数优化调整, 更重要的是验证了神经网络在多参数物理系统中的应用, 可以使其他多参数共同作用的物理实验进行最优参数的快速确定.Magnetic shielding plays an important role in magnetically susceptible devices such as cold atom clocks, atomic interferometers and other precision equipment. The residual magnetic field in a magnetic shield under a varying external magnetic field can be calculated by the Jiles-Atherton (J-A) hysteresis model and magnetic shielding coefficient. According to the calculation results, the variation of internal magnetic field can be compensated for the active compensation coils. However, it is difficult to practically obtain the exact values of the five magnetic-shielding-related parameters in the J-A hysteresis model and the other two magnetic-field-attenuation-related parameters. It usually takes a lot of time to match the parameters manually according to the measured hysteresis loop and it is difficult to ensure that the final parameters are the global optimal values. The machine learning method based on artificial neural network has been used as an efficient method to optimize the parameters of complex systems. Owing to the powerful computing capability of modern computers, using the artificial neural network to optimize parameters is usually much faster than manual optimization method, and has a greater probability of finding the global optimal parameters. In this paper, the five J-A parameters and the other two parameters relating to magnetic field attenuation are optimized by the method of online learning based on artificial neural network, and the residual magnetic field in the magnetic shield is predicted under the simulated satellite magnetic field environment. By comparing the measured residual magnetic field with the predicted value, it is found that the machine learning method can optimize the magnetic shielding characteristic parameters more quickly and accurately than the manual optimization method. This result can not only help us to compensate for the magnetic field better and optimize the parameters of our cold atom system, but also validate the application of neural network in a multi-parameter physical system. This proves that the in-depth learning neural network can be conveniently applied to other physical experiments with multi-parameter interaction, and can quickly determine the optimal parameters needed in the experiment. This application is especially effective for remote experiments with slow response to parameter adjustment, such as scientific experiments carried out on satellites or deep space.
[1] [2] [3] [4] [5] [6] [7] [8] [9] [10] [11] [12] [13] [14] [15] [16] [17] [18] [19] [20] [21] [22] [23] [24] [25] [26] [27] [28] [29] [30] [31] [32] [33] [34] [35] [36] -
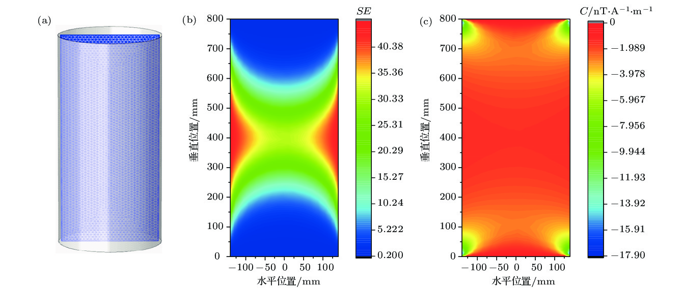
参数名称 手动参数 自动参数 Ms 540000 540074 a 19555 19817 k 8.0 9.50 α 0 0 c 0.2 0.58 SE 31 36.37 C –1.8 –2.37 -
[1] [2] [3] [4] [5] [6] [7] [8] [9] [10] [11] [12] [13] [14] [15] [16] [17] [18] [19] [20] [21] [22] [23] [24] [25] [26] [27] [28] [29] [30] [31] [32] [33] [34] [35] [36]
计量
- 文章访问数:9750
- PDF下载量:125
- 被引次数:0












下载:






