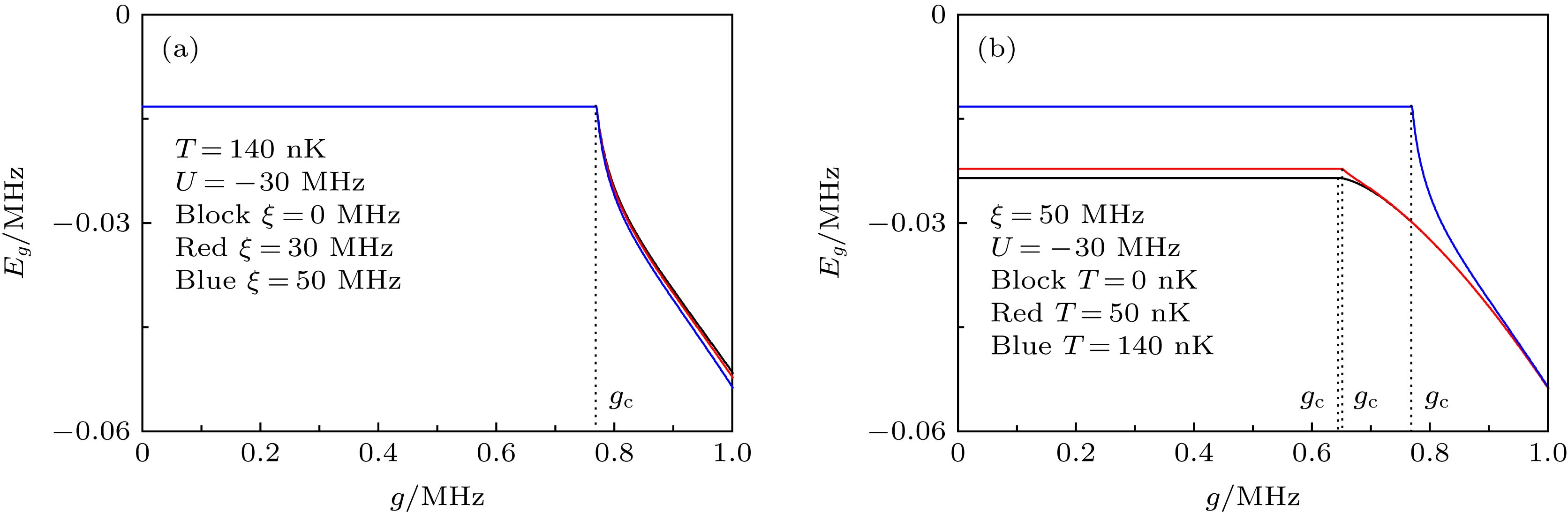
Optomechanical cavity is a powerful connection between a nanomechanical oscillator and a quantized electromagnetic field. In this system, a novel photon-phonon nonlinear interaction arising from the nanomechanical oscillation is produced through the radiation pressure. Now this nonlinear photon-phonon interaction has become an important resource for implementing high-precision measurements and processing quantum information. Motivated by T. Esslinger group’s experiment, it is very meaningful to explore the exotic quantum phenomena when a ultra-cold BEC is trapped in an optomechanical cavity. In this paper, we mainly investigate phase transition and the finite-temperature thermodynamic properties of a Bose-Einstein condensate in an optomechanical cavity. It’s worth mentioning that at zero temperature many different mean-field approximate methods have been used to analyze the ground state properties of a Bose-Einstein condensate in an optomechanical cavity. Two common methods are Holstein-Primakoff transformation and spin coherent state variation. In this paper, an interesting imaginary-time path integral approach has been introduced to study finite temperature thermodynamic properties and phase transition of a Bose-Einstein condensate in an optomechanical cavity. First, we obtained system's partition function by taking imaginary-time path integration. Meanwhile, an effective action has been obtained by means of this method, which is the basic of the variation to get the numerical solution of photon number and the expression of the atomic number. At zero temperature, these results are consistent with what we have obtained by Holstein-Primakoff transformation or spin coherent state variational method. By adjusting the atom-field coupling strength and other parameters the second-order phase transition from the normal phase to the superradiant phase has been revealed. Meanwhile, a new unstable superradiant state was also found. And we found that in addition to the normal phase and superradiation phase, there exists an un-solution region of the mean photon number. Meanwhile, we find that the nonlinear photon-phonon interaction does not affect the normal phase. However, in the superradiant phase, the nonlinear photon-phonon interaction can enhance the macroscopic collective excitations. At the same time, the thermodynamic properties of the system are also discussed. According to the obtained distribution function, we can derive the analytical expression of the average energy and the free energy. Furthermore, the expression of entropy at finite temperature can also be obtained. we find the nonlinear photon-phonon interaction does not affect the average energy in the normal phase, but the average energy in the superradiant phase can deeply deviate in the large nonlinear photon-phonon interaction. It’s worth mentioning that the mean photon number and average energy in the finite-temperature tend to be consistent with the case in absolute zero temperature in the strong coupling region, while the entropy in the superradiant phase is rapidly reduced to zero as the atom-field coupling strength increases. In other words, strongly coupled collective excited states are highly ordered and are not affected by thermal fluctuations in the temperature range we are considering. The thermodynamic properties, such as the entropy and corresponding specific heat, characterize the Dicke phase transition.