The robustness of complex networks plays an important role in human society. By further observing the networks on our planet, researchers find that many real systems are interdependent. For example, power networks rely on the Internet to transfer operation information, predators have to hunt for herbivores to refuel themselves, etc. Previous theoretical studies indicate that removing a small fraction of nodes in interdependent networks leads to a thorough disruption of the interdependent networks. However, due to the heterogeneous weak inter-layer links, interdependent networks in real world are not so fragile as the theoretical predictions. For example, an electronic components factory needs raw materials which are produced by a chemical factory. When the chemical factory collapses, the electronic components factory will suffer substantial drop in the production, however, it can still survive because it can produce some other raw materials by itself to sustain its production of some products. What is more, because of the heterogeneity on real industry chains, different electronic components factories produce different kinds of products, which still guarantees the diversity of electronic goods on the whole. In this paper, we develop a framework to help understand the robustness of interdependent networks with heterogeneous weak inter-layer links. More specifically, in the beginning, a fraction of 1–
pnodes are removed from network
Aand their dependency nodes in network
Bare removed simultaneously, then the percolation process begins. Each connectivity link of a node with weak inter-layer dependency is removed with a probability
γafter the failure of its counterpart node. The
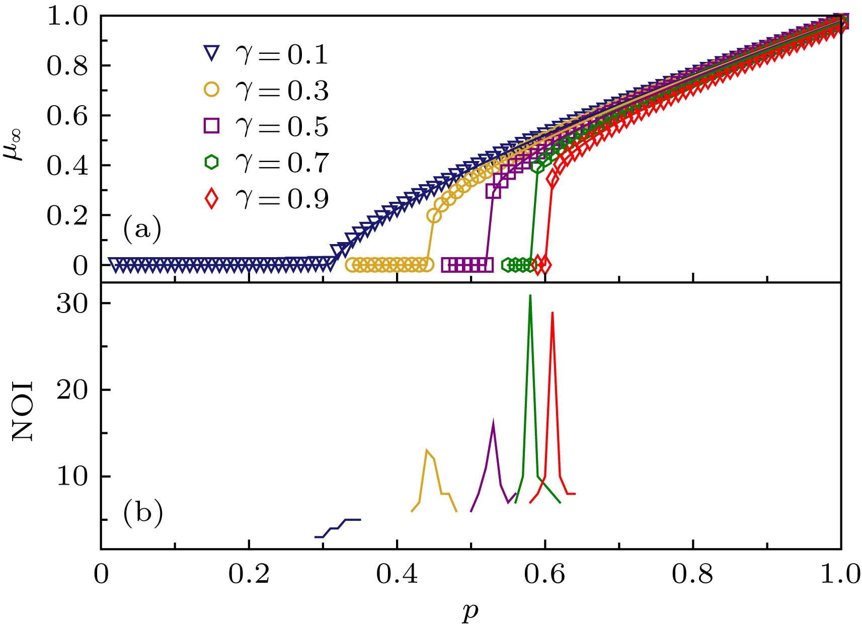
γvalues for different nodes are various because of heterogeneity. At the end, the nodes can survive as long as one of the remaining connectivity links reaches the giant component. We present an analytical solution for solving the giant component size and analyzing the crossing point of the phase transition of arbitrary interdependent random networks. For homogeneous symmetric Erdös-Rényi networks, we solve the continuous transition point and the critical point of
γ. The simulation results are in good agreement with our exact solutions. Furthermore, we introduce two kinds of
γdistributions to analyze the influence of heterogeneous weak inter-layer links on the robustness of interdependent networks. The results of both distributions show that with the increase of heterogeneity, the transition point
p
cdecreases and the networks become more robust. For the first simple
γdistribution, we also find the percolation transition changes from discontinuous one to continuous one by improving the heterogeneity. For the second Gaussian
γdistribution, a higher variance makes the interdependent networks more difficult to collapse. Our work explains the robustness of real world interdependent networks from a new perspective, and offers a useful strategy to enhance the robustness by increasing the heterogeneity of weak inter-layer links of interdependent networks.