Ce is a rare earth element in the periodic table. In the range of low temperature and low pressure, there are two face-centered-cubic (FCC) phases (
α-Ce and
γ-Ce) and a double-hexagonal-close-packed phase (
β-Ce) for metallic Ce. At ambient temperature and about 0.7 GPa pressure, Ce undergoes
γ→
αphase transition with a volume shrink of 14%–17% discontinuously. In this paper, an embedded-atom method (EAM) potential compatible for
α-Ce and
γ-Ce was developed. This EAM potential has been employed to study several basic properties of cerium in these two FCC phases, such as equilibrium lattice constants, cohesive energies, and elastic constants. These results showed good accordance with experiments and first principle calculations. The lattice defects have been studied with the formation energy calculations of vacancies, interstitials, surfaces, stacking faults, and twinning defects in
α-Ce and
γ-Ce lattice. The lattice dynamics of
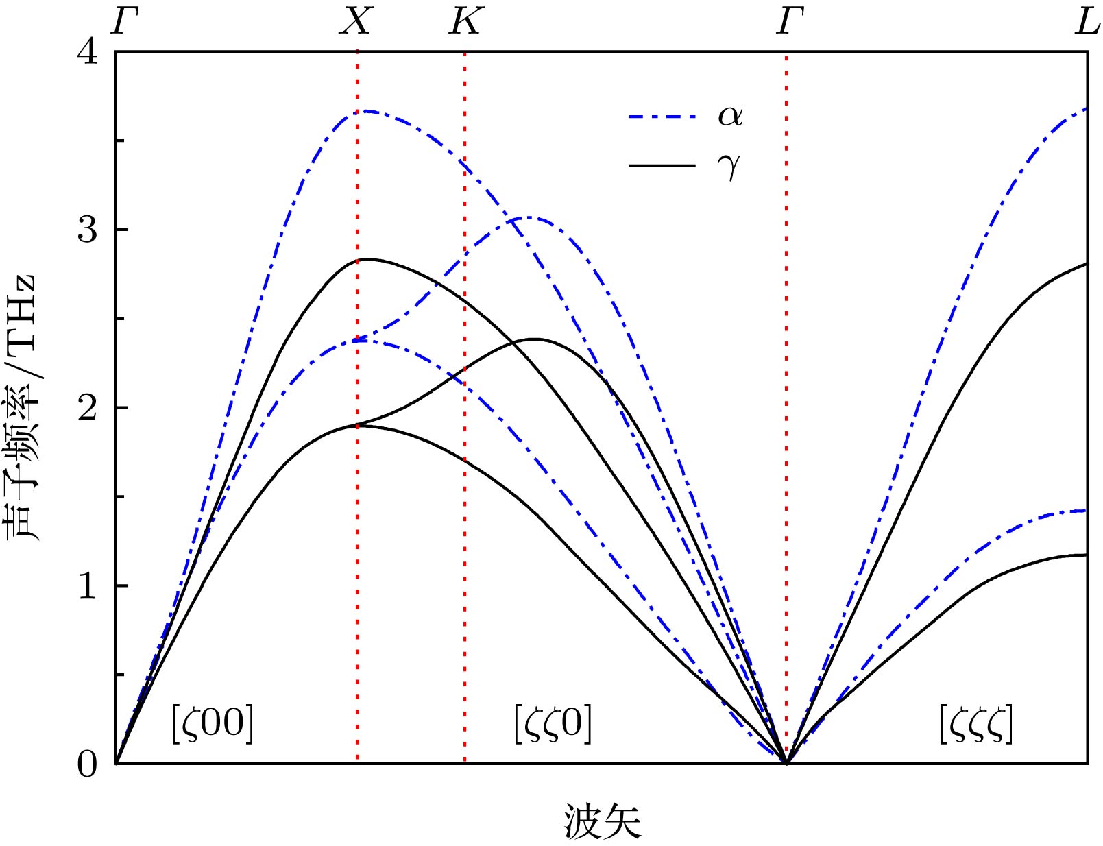
α-Ce and
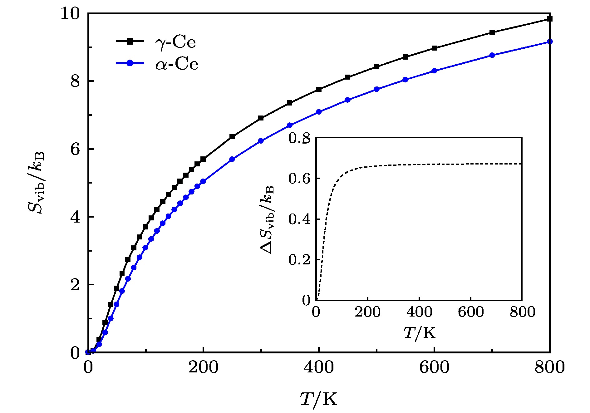
γ-Ce have been analyzed using our EAM potential. The lattice vibrational entropy was calculated and plotted as functions of temperature for each phases. The vibrational entropy change across the
α-
γphase transition showed to be ~0.67
k
Bper atom at ambient temperature. Using molecular dynamics simulation with our EAM potential, several isotherms and radial distribution functions were calculated. These isotherms and radial distribution functions demonstrate a first order phase transition between two FCC structures, corresponding to
α-Ce and
γ-Ce, with a critical point sets at
T
c≈550 K and
P
c≈1.21 GPa. Thus the newly developed EAM potential could provide a reasonable description of FCC Ce and its
α-
γphase transition within the scale of classical molecular dynamics simulation.