The ability to undercool and solidification mechanism of liquid quinary Ni
40Zr
28.5Ti
16.5Al
10Cu
5alloy are investigated by electromagnetic levitation (EML) and drop tube (DT) technique. Under the EML condition, the maximum undercooling of levitated alloy can reach up to 290 K (0.21
T
L). Under the DT condition, the alloy achieves higher undercooling than EML, and solidifies finally into metallic glass. At lower undercooling, the solidification structure of the alloy is composed of primary Ni
3Ti phase, secondary Ni
10Zr
7phase and eutectic (Ni
10Zr
7+Ni
21Zr
8) phase. With the rise of undercooling, the solidification structure displays the following evolution events: phase morphology refinement, primary phase inhibition, phase number reduction, and amorphous phase formation.
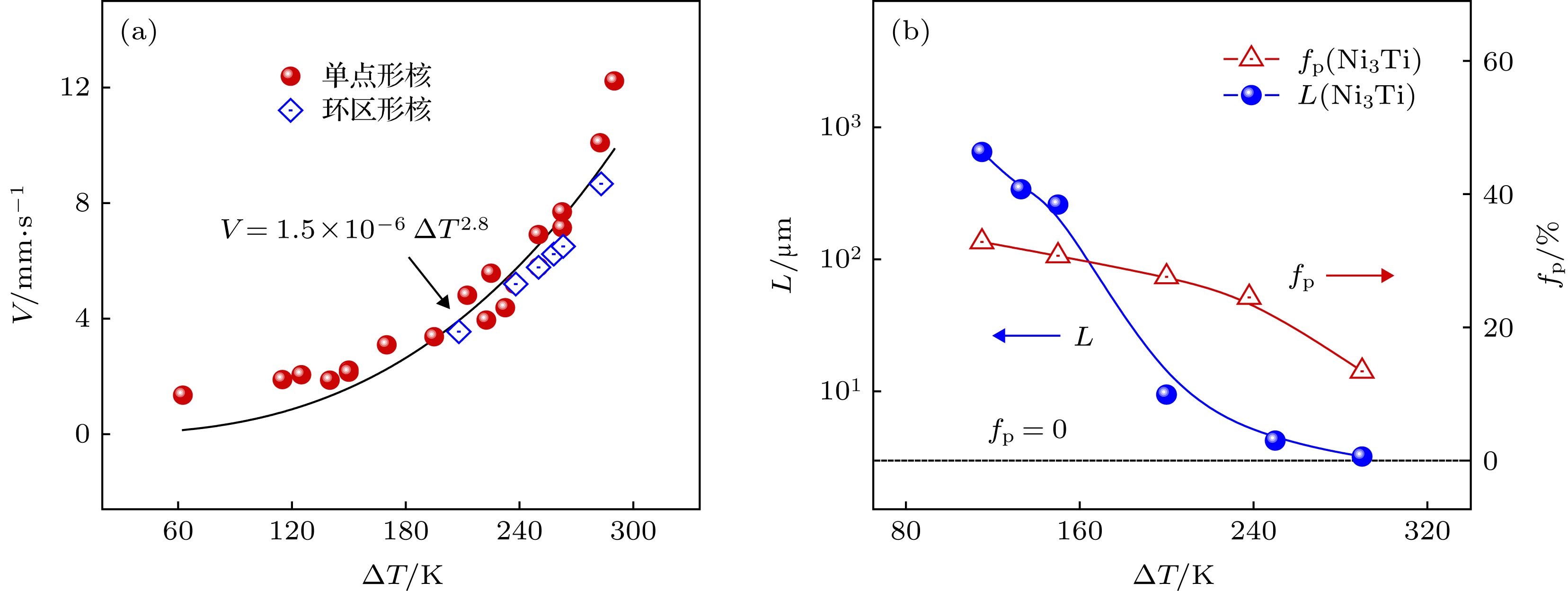
By using the high-speed cinematography technique, three nucleation modes are distinctly observed on the levitated alloy melt surface at the beginning of solidification, that is, single-point nucleation, multi-point nucleation and annular nucleation. The levitation state corresponding to single-point mode nucleation is relatively stable, and the alloy undercooling is also relatively low. The annular nucleation only occursin the case with high rotation speed, and the undercooling is greater than 208 K. The discrepancy between nucleation modes is due to the He gas flow for forced cooling.
The theoretical calculations indicate that the alloy droplets achieve high undercoolingand large cooling rate under the DT condition. The experimental results show that when the droplet diameter decreases to 498 μm, the amorphous phase begins to appear in the alloy particles. It is noteworthy that the amorphous phase is preferentially formed inside the droplet, but not on the outer surface. The morphology of solidification structure reveals that different regions of the droplet have various local undercoolings, which result in the distribution characteristics of amorphous phase. The volume fraction of amorphous phase increases linearly with the decrease of particle diameter. When the droplet diameter decreases to 275 μm, the alloy droplets are completely frozen into glassy particles.
The average eutecticspacing values are also measured at different alloy undercoolings. Compared with the classical binary eutectic growth model, the experimental eutectic growth law exhibits a large deviation in index. This indicates that the eutectic growth in multicomponent alloys displays more complex kinetic characteristics.