-
为提高多松弛(MRT)格子Boltzmann模型的计算效率, 运用反演法提出了一个求解三维不可压缩流的12速MRT格子Boltzmann模型(iD3Q12 MRT模型). 这个模型比通常使用的D3Q13 MRT模型具有更高的计算效率. 在数值模拟部分我们把iD3Q12 MRT模型与可压缩性较小的一个13速多松弛模型(He-Luo D3Q13 MRT模型)在精确性和稳定性方面作比较. 通过模拟不同的流动, 包括压力驱动的稳态泊肃叶流、周期变化的压力驱动的非稳态脉动流、顶盖驱动的方腔流, 可以发现iD3Q12 MRT模型模拟以上三种流动时得到的数值解与解析解或与已有的结果符合很好, 这说明我们提出的iD3Q12 MRT模型是准确的. 在模拟稳态的泊肃叶流时, 两个模型计算的速度场的全局相对误差完全相同, 且两个模型都具有二阶的空间精度. 在模拟非稳态脉动流时, 大多情况下是12速模型的计算误差更小, 但在脉动流的最大压降增大时, iD3Q12 MRT模型先发散, 这说明He-Luo D3Q13 MRT模型具有更好的稳定性. 在模拟不同雷诺数下的顶盖驱动的方腔流时, He-Luo D3Q13 MRT模型也比iD3Q12 MRT模型更稳定.
-
关键词:
- 三维12速/
- 多松弛/
- 格子Boltzmann方法/
- 不可压缩流
In order to improve the computational efficiency of multiple-relaxation-time lattice Boltzmann model (MRT), a 12-velocity multiple-relaxation-time lattice Boltzmann model (iD3Q12 MRT model) for three-dimensional incompressible flows is proposed in this work by using an inversion method. This model has higher computational efficiency than the commonly used D3Q13 MRT model in principle. In numerical simulations, the accuracy and stability of iD3Q12 MRT model are validated by simulating different flows, including steady Poiseuille flow driven by pressure, unsteady pulsatile flow driven by periodic pressure and lid-driven cavity flow. We also compare the iD3Q12 MRT model with the 13-velocity multiple-relaxation-time lattice Boltzmann model(He-Luo D3Q13 MRT model). For the Poiseuille flow and pulsatile flow, the numerical solutions of the iD3Q12 MRT model agree well with the analytical solutions. In terms of accuracy, the iD3Q12 MRT model and He-Luo D3Q13 MRT model are used to simulate Poiseuille flow with different parameters. The global relative errors of the two models are identical. Similarly, we also simulate the pulsatile flow to calculate the global relative errors of flow fields at different times and different lattice spacing. It is found that the global relative errors of the iD3Q12 MRT model are smaller than those of the He-Luo D3Q13 MRT model, and both models have the second-order spatial accuracy. Furthermore, we also simulate the pulsatile flow by changing the lattice spacing or relaxation time when the maximal pressure drop of the channel is increased, and it is found that the global relative errors calculated by the iD3Q12 MRT model are smaller than those by the He-Luo D3Q13 MRT model in most cases, but the iD3Q12 MRT model diverges when the maximal pressure drop of the channel is large. This indicates that the iD3Q12 MRT model is more accurate than the He-Luo D3Q13 MRT model in simulating unsteady pulsatile flow, but less stable. For the lid-driven cavity flow, the results show that the numerical results of the iD3Q12 MRT model agree well with those given by Ku et al [Ku H C, Hirsh R S, Taylor T D 1987 J. Comput. Phys. 70439]. In terms of stability, the iD3Q12 MRT model is quantitatively less stable than He-Luo D3Q13 MRT model. -
Keywords:
- 12-velocity in three dimensions/
- multiple-relaxation-time/
- lattice Boltzmann model/
- incompressible flows
[1] [2] [3] [4] [5] [6] [7] [8] [9] [10] [11] [12] [13] [14] [15] [16] [17] [18] [19] [20] [21] [22] [23] [24] [25] [26] [27] [28] [29] [30] [31] [32] [33] [34] [35] [36] [37] [38] [39] [40] [41] -
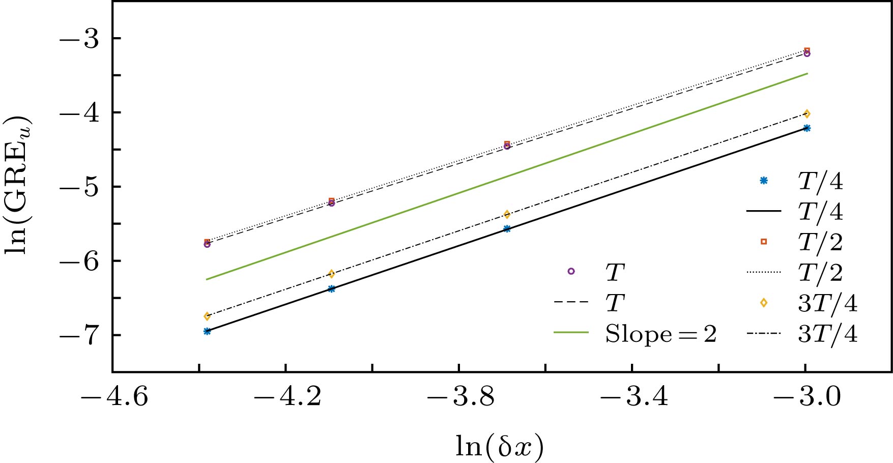
${\rm GRE}_u$ Lattice spacing $\text{δ} x$ Model 1/8 1/16 1/32 1/64 ${\lambda}_{\nu}=0.8,$ ${\lambda}'_{\nu}=1.143$ $3.090\times10^{-2}$ $7.700\times10^{-3}$ $1.900\times10^{-3}$ $4.623\times10^{-4}$ iD3Q12 MRT $3.090\times10^{-2}$ $7.700\times10^{-3}$ $1.900\times10^{-3}$ $4.623\times10^{-4}$ D3Q13 MRT ${\lambda}_{\nu}=1.0,$ ${\lambda}'_{\nu}=1.333$ $5.990\times10^{-2}$ $1.660\times10^{-2}$ $4.400\times10^{-3}$ $1.100\times10^{-3}$ iD3Q12 MRT $5.990\times10^{-2}$ $1.660\times10^{-2}$ $4.400\times10^{-3}$ $1.100\times10^{-3}$ D3Q13 MRT ${\lambda}_{\nu}=1.3,$ ${\lambda}'_{\nu}=1.576$ $8.720\times10^{-2}$ $2.500\times10^{-2}$ $6.700\times10^{-3}$ $1.700\times10^{-3}$ iD3Q12 MRT $8.720\times10^{-2}$ $2.500\times10^{-2}$ $6.700\times10^{-3}$ $1.700\times10^{-3}$ D3Q13 MRT Lattice spacing ${\rm GRE}_u$ Model $T/4$ $T/2$ $3 T/4$ T ${\rm{\text{δ}} } x= {1}/{20}$ $1.483\times10^{-2}$ $4.214\times10^{-2}$ $1.805\times10^{-2}$ $4.028\times10^{-2}$ iD3Q12 MRT $1.662\times10^{-2}$ $4.733\times10^{-2}$ $2.118\times10^{-2}$ $4.299\times10^{-2}$ D3Q13 MRT ${\rm{\text{δ}} } x= {1}/{40}$ $3.803\times10^{-3}$ $1.199\times10^{-2}$ $4.651\times10^{-3}$ $1.153\times10^{-2}$ iD3Q12 MRT $4.172\times10^{-3}$ $1.324\times10^{-2}$ $5.398\times10^{-3}$ $1.217\times10^{-2}$ D3Q13 MRT ${\rm{\text{δ}} } x= {1}/{60}$ $1.702\times10^{-3}$ $5.569\times10^{-3}$ $2.085\times10^{-3}$ $5.369\times10^{-3}$ iD3Q12 MRT $1.855\times10^{-3}$ $6.116\times10^{-3}$ $2.412\times10^{-3}$ $5.648\times10^{-3}$ D3Q13 MRT ${\rm{\text{δ}} } x= {1}/{80}$ $9.605\times10^{-4}$ $3.204\times10^{-3}$ $1.177\times10^{-3}$ $3.092\times10^{-3}$ iD3Q12 MRT $1.043\times10^{-3}$ $3.509\times10^{-3}$ $1.360\times10^{-3}$ $3.247\times10^{-3}$ D3Q13 MRT Adjacent spacing Order Model $T/4$ $T/2$ $3 T/4$ T Average 1.978 1.875 1.974 1.869 iD3Q12 MRT 1.998 1.891 1.984 1.879 D3Q13 MRT ${1}/{20} \to {1}/{40}$ 1.963 1.813 1.956 1.805 iD3Q12 MRT 1.994 1.838 1.972 1.821 D3Q13 MRT ${1}/{40}\to {1}/{60}$ 1.983 1.891 1.979 1.885 iD3Q12 MRT 1.999 1.905 1.987 1.893 D3Q13 MRT ${1}/{60} \to {1}/{80}$ 1.989 1.922 1.988 1.918 iD3Q12 MRT 2.001 1.931 1.992 1.924 D3Q13 MRT $ \Delta p $ Lattice spacing ${\rm{\text{δ}} } x$ Model 1/20 1/40 1/60 1/80 $0.005 $ $9.919\times10^{-2}$ $3.030\times10^{-2}$ $1.442\times10^{-2}$ $8.402\times10^{-3}$ iD3Q12 MRT $1.121\times10^{-1}$ $3.326\times10^{-2}$ $1.568\times10^{-2}$ $9.084\times10^{-3}$ D3Q13 MRT $0.010$ $1.172\times10^{-1}$ $3.445\times10^{-2}$ $1.618\times10^{-2}$ $9.362\times10^{-3}$ iD3Q12 MRT $1.679\times10^{-1}$ $4.763\times10^{-2}$ $2.199\times10^{-2}$ $1.260\times10^{-2}$ D3Q13 MRT $0.020$ $1.777\times10^{-1}$ $5.110\times10^{-2}$ $2.365\times10^{-2}$ $1.355\times10^{-2}$ iD3Q12 MRT $2.940\times10^{-1}$ $8.630\times10^{-2}$ $3.987\times10^{-2}$ $2.279\times10^{-2}$ D3Q13 MRT $0.050$ $1.243\times10^{-1}$ $5.848\times10^{-2}$ $3.386\times10^{-2}$ iD3Q12 MRT $2.025\times10^{-1}$ $9.868\times10^{-2}$ $5.757\times10^{-2}$ D3Q13 MRT $0.080$ $6.073\times10^{-2}$ iD3Q12 MRT $1.575\times10^{-2}$ $9.405\times10^{-2}$ D3Q13 MRT $0.100$ iD3Q12 MRT $1.192\times10^{-1}$ D3Q13 MRT $0.120$ iD3Q12 MRT $1.454\times10^{-1}$ D3Q13 MRT $\Delta p$ τ Model 0.55 0.60 0.70 0.90 $0.005 $ $1.302\times10^{-1}$ $6.311\times10^{-2}$ $2.955\times10^{-2}$ $1.744\times10^{-2}$ iD3Q12 MRT $1.556\times10^{-1}$ $6.560\times10^{-3}$ $3.023\times10^{-2}$ $1.993\times10^{-2}$ D3Q13 MRT $0.010$ $1.612\times10^{-1}$ $6.830\times10^{-2}$ $2.711\times10^{-2}$ $1.736\times10^{-2}$ iD3Q12 MRT $2.435\times10^{-1}$ $8.735\times10^{-2}$ $2.661\times10^{-2}$ $2.058\times10^{-2}$ D3Q13 MRT $0.020$ $2.475\times10^{-1}$ $9.926\times10^{-2}$ $2.624\times10^{-2}$ $1.656\times10^{-2}$ iD3Q12 MRT $4.182\times10^{-1}$ $1.542\times10^{-1}$ $2.757\times10^{-2}$ $2.195\times10^{-2}$ D3Q13 MRT $0.030$ $1.430\times10^{-1}$ $3.421\times10^{-2}$ $1.509\times10^{-2}$ iD3Q12 MRT $5.482\times10^{-1}$ $2.193\times10^{-1}$ $3.616\times10^{-2}$ $2.343\times10^{-2}$ D3Q13 MRT $0.040$ $5.001\times10^{-2}$ $1.349\times10^{-2}$ iD3Q12 MRT $4.693\times10^{-2}$ $2.502\times10^{-2}$ D3Q13 MRT $0.050$ $1.291\times10^{-2}$ iD3Q12 MRT $2.674\times10^{-2}$ D3Q13 MRT Re Model iD3Q12 MRT He-Luo D3Q13 MRT 100 $\checkmark$ $\checkmark$ 400 $\checkmark$ $\checkmark$ 1000 $\checkmark$ $\checkmark$ 1500 $\checkmark$ $\checkmark$ 1600 $\checkmark$ $\checkmark$ 1700 divergent $\checkmark$ 1800 divergent divergent -
[1] [2] [3] [4] [5] [6] [7] [8] [9] [10] [11] [12] [13] [14] [15] [16] [17] [18] [19] [20] [21] [22] [23] [24] [25] [26] [27] [28] [29] [30] [31] [32] [33] [34] [35] [36] [37] [38] [39] [40] [41]
计量
- 文章访问数:8632
- PDF下载量:86
- 被引次数:0












下载:





