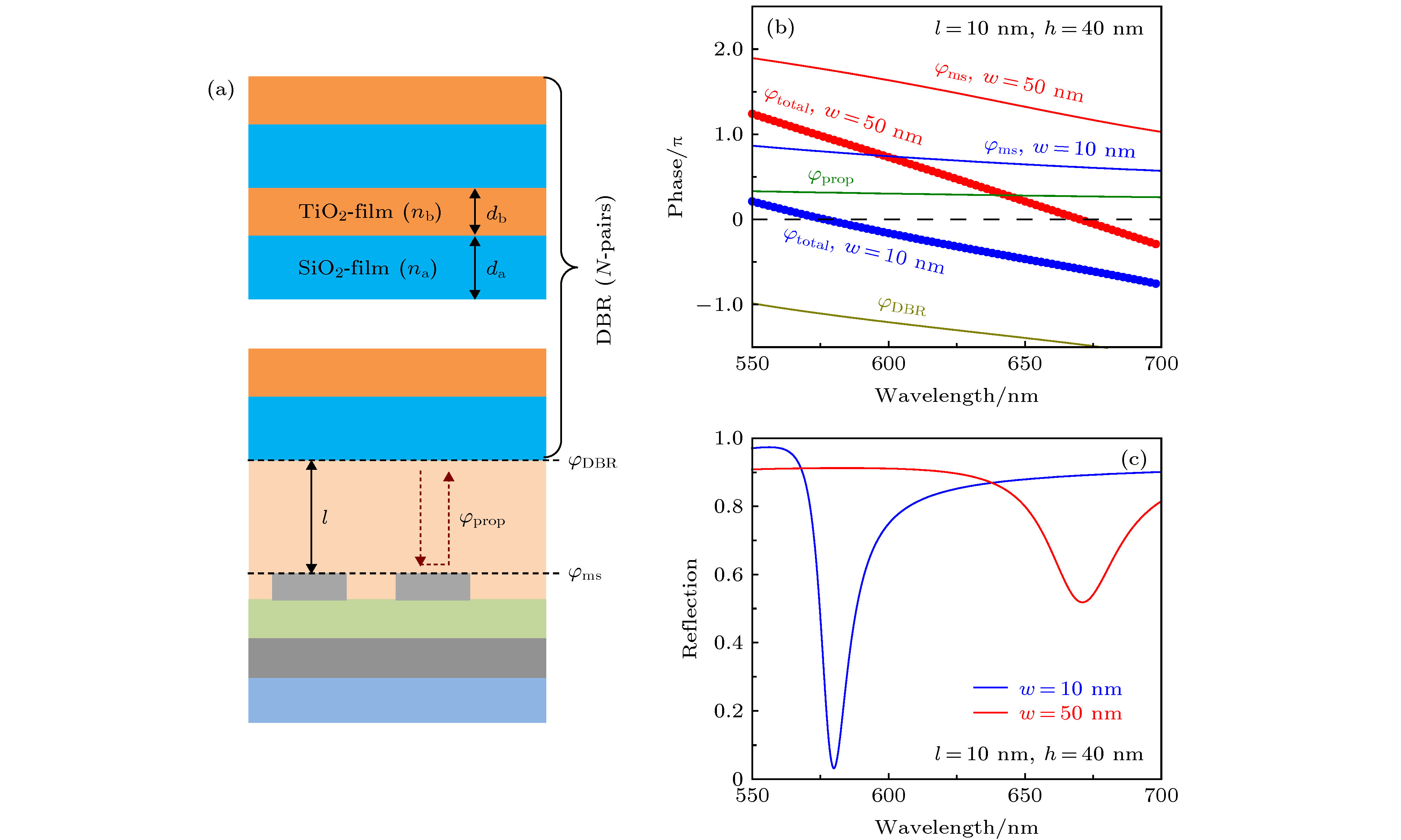
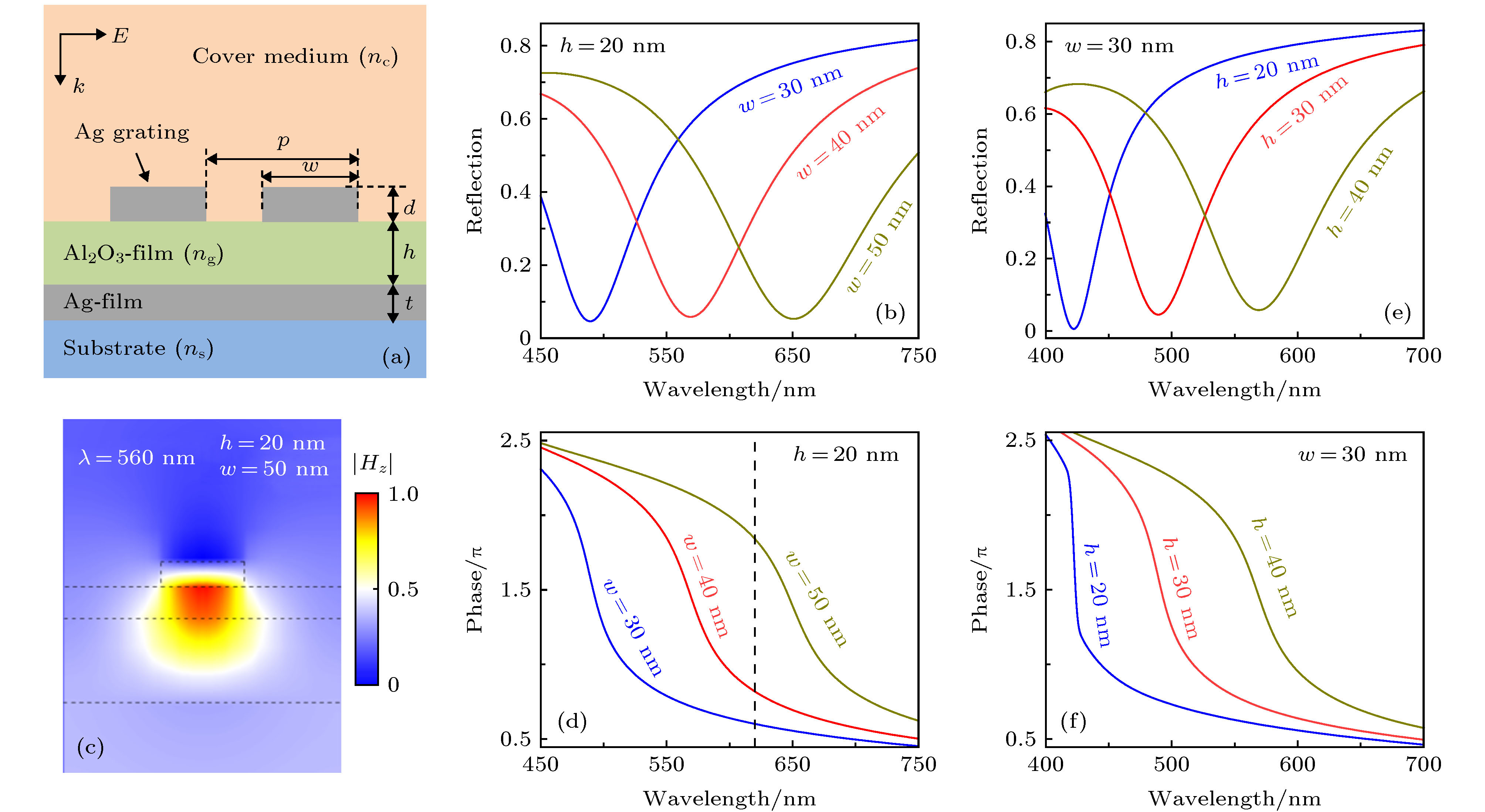
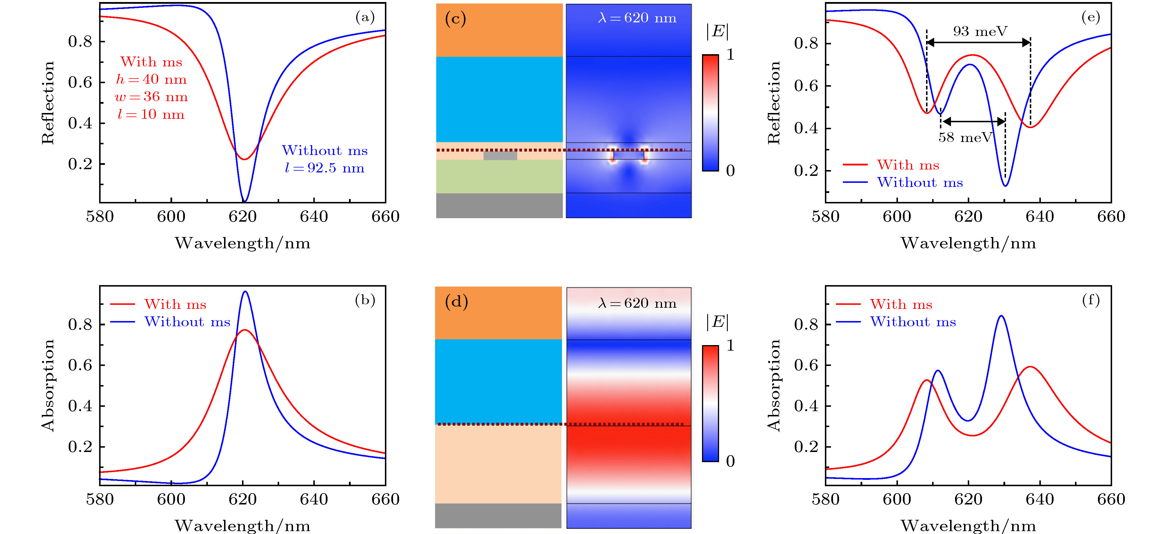
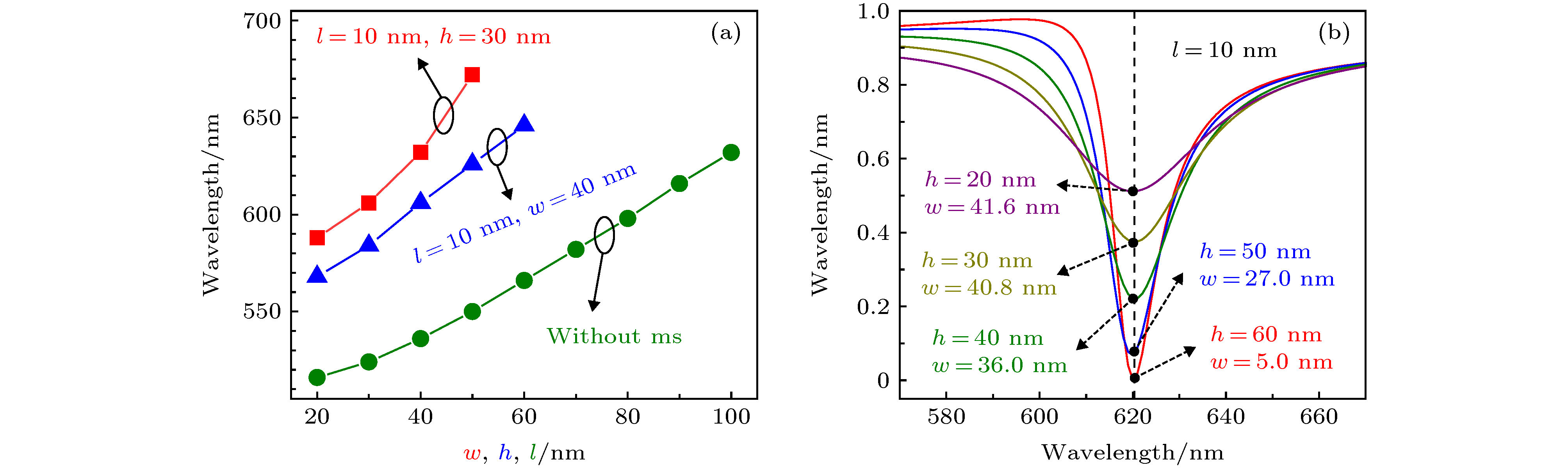
| [1] |
夏兆生, 刘宇行, 包正, 王丽华, 吴博, 王刚, 王辉, 任信钢, 黄志祥.基于准连续域束缚态的强圆二色性超表面. 必威体育下载 , 2024, 73(17): 178102.doi:10.7498/aps.73.20240834 |
| [2] |
赵世杭, 张元, 吕思远, 程少博, 郑长林, 王鹿霞.电子能量损失谱探测银纳米棒与介质层强耦合的数值模拟. 必威体育下载 , 2022, 71(14): 147302.doi:10.7498/aps.71.20220194 |
| [3] |
闫晓宏, 牛亦杰, 徐红星, 魏红.单个等离激元纳米颗粒和纳米间隙结构与量子发光体的强耦合. 必威体育下载 , 2022, 71(6): 067301.doi:10.7498/aps.71.20211900 |
| [4] |
龙洁, 李九生.相变材料与超表面复合结构太赫兹移相器. 必威体育下载 , 2021, 70(7): 074201.doi:10.7498/aps.70.20201495 |
| [5] |
张萌徕, 覃赵福, 陈卓.基于开口环阵列结构的表面晶格共振产生及二次谐波增强. 必威体育下载 , 2021, 70(5): 054206.doi:10.7498/aps.70.20201424 |
| [6] |
郭绮琪, 陈溢杭.基于介电常数近零模式与间隙表面等离激元强耦合的增强非线性光学效应. 必威体育下载 , 2021, 70(18): 187303.doi:10.7498/aps.70.20210290 |
| [7] |
谢智强, 贺炎亮, 王佩佩, 苏明样, 陈学钰, 杨博, 刘俊敏, 周新星, 李瑛, 陈书青, 范滇元.基于Pancharatnam-Berry相位超表面的二维光学边缘检测. 必威体育下载 , 2020, 69(1): 014101.doi:10.7498/aps.69.20191181 |
| [8] |
严巍, 王纪永, 曲俞睿, 李强, 仇旻.基于相变材料超表面的光学调控. 必威体育下载 , 2020, 69(15): 154202.doi:10.7498/aps.69.20200453 |
| [9] |
褚培新, 张玉斌, 陈俊学.开口狭缝调制的耦合微腔中表面等离激元诱导透明特性. 必威体育下载 , 2020, 69(13): 134205.doi:10.7498/aps.69.20200369 |
| [10] |
吴立祥, 李鑫, 杨元杰.基于双层阿基米德螺线的表面等离激元涡旋产生方法. 必威体育下载 , 2019, 68(23): 234201.doi:10.7498/aps.68.20190747 |
| [11] |
虞华康, 刘伯东, 吴婉玲, 李志远.表面等离激元增强的光和物质相互作用. 必威体育下载 , 2019, 68(14): 149101.doi:10.7498/aps.68.20190337 |
| [12] |
张宝宝, 张成云, 张正龙, 郑海荣.表面等离激元调控化学反应. 必威体育下载 , 2019, 68(14): 147102.doi:10.7498/aps.68.20190345 |
| [13] |
李盼.表面等离激元纳米聚焦研究进展. 必威体育下载 , 2019, 68(14): 146201.doi:10.7498/aps.68.20190564 |
| [14] |
张文君, 高龙, 魏红, 徐红星.表面等离激元传播的调制. 必威体育下载 , 2019, 68(14): 147302.doi:10.7498/aps.68.20190802 |
| [15] |
谌璐, 陈跃刚.金属-光折变材料复合全息结构对表面等离激元的波前调控. 必威体育下载 , 2019, 68(6): 067101.doi:10.7498/aps.68.20181664 |
| [16] |
王文慧, 张孬.银纳米线表面等离激元波导的能量损耗. 必威体育下载 , 2018, 67(24): 247302.doi:10.7498/aps.67.20182085 |
| [17] |
王栋, 许军, 陈溢杭.介电常数近零模式与表面等离激元模式耦合实现宽带光吸收. 必威体育下载 , 2018, 67(20): 207301.doi:10.7498/aps.67.20181106 |
| [18] |
邓红梅, 黄磊, 李静, 陆叶, 李传起.基于石墨烯加载的不对称纳米天线对的表面等离激元单向耦合器. 必威体育下载 , 2017, 66(14): 145201.doi:10.7498/aps.66.145201 |
| [19] |
邱天硕, 王甲富, 李勇峰, 王军, 闫明宝, 屈绍波.基于超表面的无磁性材料环行器. 必威体育下载 , 2016, 65(17): 174101.doi:10.7498/aps.65.174101 |
| [20] |
赵泽宇, 刘晋侨, 李爱武, 徐颖.金纳米柱阵列表面等离子体激元与J-聚集分子强耦合作用. 必威体育下载 , 2016, 65(23): 231101.doi:10.7498/aps.65.231101 |