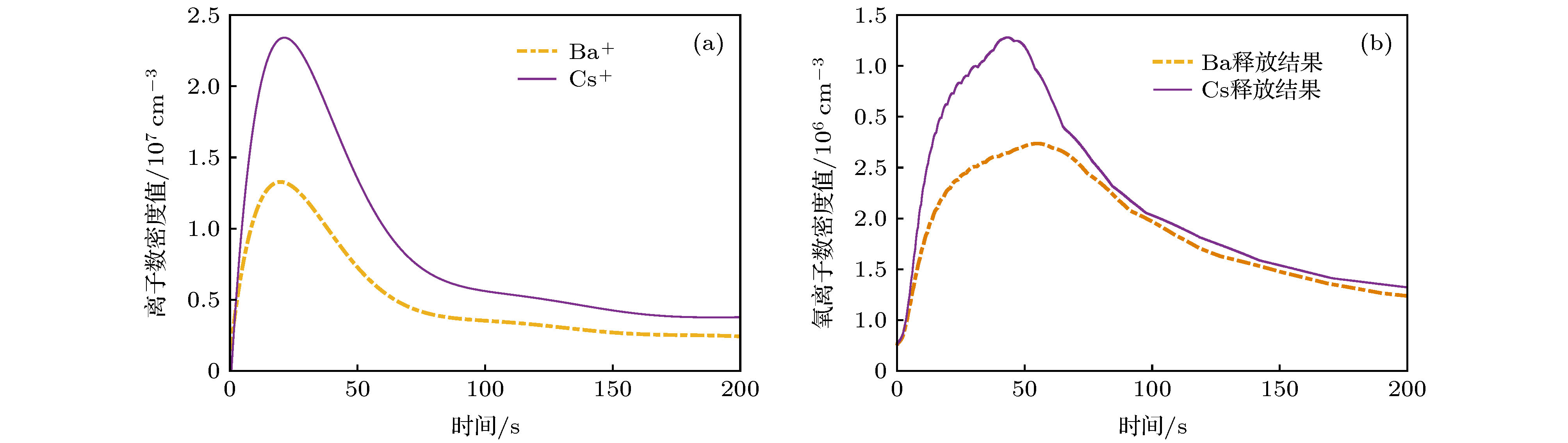
After being released in the ionosphere, alkali-metal atoms will be rapidly photoionized by solar UV, producing positive ions and electrons, and forming artificial plasma cloud. Based on a three-dimensional two-species fluid model, considering both the loss of barium atoms due to photoionization and oxidation and the influence of horizontal wind field in the release region, the spatial-temporal evolution of the artificial plasma cloud is discussed. By taking into account the electromagnetic field force, pressure gradient, particle collisions and ion inertia, the ionospheric disturbance effects caused by barium and cesium are compared with each other. The simulation results show that the alkali metal rapidly expands after being released in the ionosphere, and the generated plasma cloud gradually forms an ellipsoidal structure from the inside to the outside under the constraint of magnetic field with considering no wind. Meanwhile, the expanded plasma cloud pushes away the background oxygen ions, forming an oxygen ion density hole in the release center and two symmetrical density bumps on both sides. In the absence of neutral wind, the plasma cloud is dominated by the movement along magnetic field, while considering the background neutral wind, the plasma cloud and background disturbance area will move along the direction of wind, so that the density gradient of plasma cloud becomes steepening on the upwind side. Although the movement of ion cloud across the magnetic field is constrained, the neutrals can pass through the magnetic field freely, so the ion cloud and neutral cloud will separate from each other slowly. Also, the presence of horizontal wind field will make a greater disturbance to the background oxygen ion. By comparing the simulation results of barium and cesium we can see that, qualitatively, the expansion characteristics of Cs
+and Ba
+as well as their effects on the background O
+are similar. Due to the small diffusion coefficient of cesium, the barium cloud expands more rapidly and the coverage area of Ba
+cloud is wider. Because of the large photoionization rate of cesium, the ionization yield of cesium is higher than that of barium when the same mass is released. In addition, the snowplow effect of Cs
+is stronger than that of Ba
+, and the oxygen ion density holes and bumps caused by Cs
+are also larger.